ĐỀ SỐ 1
Phần thi thứ nhất: Toán học và Xử lí số liệu từ câu hỏi số 1 đến 50
Câu 1. Số giờ có ánh sáng của một thành phố X ở vĩ độ 40 Bắc trong ngày thứ t của một năm
không nhuận được cho bởi hàm số: dt 3sin t 80 12 , t và 0 t 365 . Vào 182
ngày thứ bao nhiêu trong năm thì thành phố X có nhiều giờ ánh sáng nhất (nhập đáp án vào ô trống)? mmx 1 2
Câu 2. Hệ bất phương trình có nghiệm khi và chỉ khi m mx 2 2m 1 A. 1 m . B. 1 0 m . C. m 0. D. m 0. 3 3
Câu 3. Cho tập hợp A 1;2;3; ;
99 . Tìm số cách chọn ba số khác nhau từ tập hợp A để ba
số đó lập thành cấp số cộng (nhập đáp án vào ô trống).
Câu 4. Một quả bóng được thả thẳng đứng từ độ cao 10 m rơi xuống đất và nảy lên. Giả sử sau
mỗi một lần rơi xuống, nó nảy lên được một độ cao bằng 75% độ cao vừa rơi xuống. Tính tổng
quãng đường quả bóng di chuyển được kể từ lúc thả xuống đến khi quả bóng chạm đất lần thứ
10 (làm tròn kết quả đến hàng phần mười của mét). A. 65,5 m . B. 65,4m . C. 65,49 m . D. 55,5 m .
Câu 5. Biết rằng khi nung nóng một vật với nhiệt độ tăng từ 20 C , mỗi phút tăng 4 C trong 70
phút, sau đó giảm mỗi phút 2 C
trong 50 phút. Hàm số biểu thị nhiệt độ ( C ) trong tủ theo thời
gian t (phút) có dạng: 20 4t khi 0 t 70 T t
( a là hằng số). Biết rằng, T t là a 2t khi 70 t 120
hàm liên tục trên tập xác định. Tìm giá trị của a . A. a 440 C . B. a 70 C . C. a 300 C . D. a 240 C .
Câu 6. Biết rằng sin x cos x
a sin x bcos x với a,b là các hằng số thực. Giá trị của a 2b bằng bao nhiêu? A. 3 . B. 3. C. 1 . D. 1.
Câu 7. Số nghiệm nguyên của bất phương trình log 1 2x 1 log x 1 là: 5 5 A. 1. B. 2. C. 3. D. 4.
Câu 8. Cho hàm số y f x có đạo hàm fx 2 x 1, x
. Mệnh đề nào dưới đây đúng?
A. Hàm số nghịch biến trên khoảng ;
0. B. Hàm số nghịch biến trên khoảng 1; 1 .
C. Hàm số nghịch biến trên khoảng 1;. D. Hàm số đồng biến trên khoảng ; . Câu 9. Cho hàm số x 4 y
. Điểm Mx ; y (với y 0 ) thuộc đồ thị hàm số x 4 y 0 0 x 3 0 x 3
sao cho tiếp tuyến tại M cắt các trục Ox,Oy lần lượt tại A và B thỏa mãn AB 5OA 2 .
Tính giá trị của biểu thức T 2x y (nhập đáp án vào ô trống). 0 0
Câu 10. Cho hàm số f x , bảng xét dấu của fx như sau:
Hàm số y f 5 2x đồng biến trên khoảng nào dưới đây? A. 3;4 . B. 1;3 . C. ; 3 . D. 4;5 .
Câu 11. Cho hàm số y f x có đạo hàm 2 f x
x 1x 4 với mọi x . Hàm số
gxf 3 x có số điểm cực đại là bao nhiêu (nhập đáp án vào ô trống)?
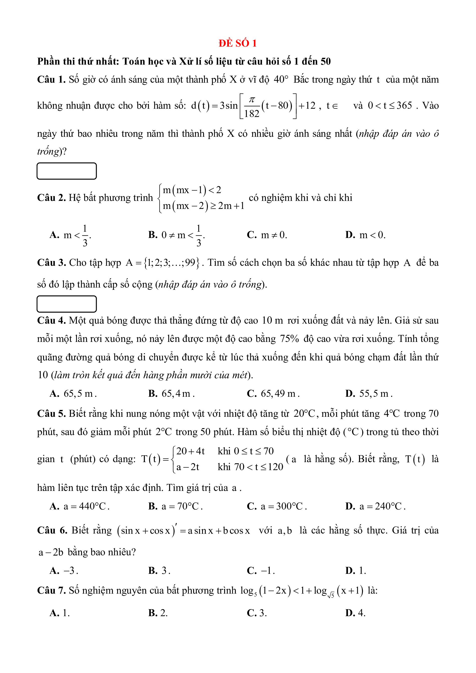
Câu 12. Cho hàm số y f x có đạo hàm trên . Đồ
thị của hàm số y f x được cho trong hình vẽ dưới
đây. Giá trị nhỏ nhất của hàm số gx f sin x trên đoạn 0; là: A. f 0 . B. f 1 . C. 3 f . D. 1 f . 2 2 2 Câu 13. Cho hàm số 1 3 m 3 2 y x x 3 m m 2 2
x m có điểm cực tiểu, điểm cực đại 3 2
lần lượt là x , x . Số giá trị nguyên trong đoạn 9;9 của m thỏa mãn 2 x x là: CT CÐ CT CÐ A. 8 . B. 9. C. 6 . D. 11. 2 Câu 14. x x sin cos dx bằng: 2 2 2 A. x cos x C . B. x x cos sin C . 2 2 3 C. 1 x x sin cos C . D. x cos x C . 3 2 2 2
Câu 15. Đồ thị hàm số x 2x 2 y
có tiệm cận xiên là đường thẳng: x 1 A. y x . B. y x 1. C. y 2x 1 D. y x 1.
Câu 16. Hàm số y f x có đồ thị như hình vẽ dưới đây.
Số nghiệm của phương trình 2f x 1 0 là bao nhiêu (nhập đáp án vào ô trống)?
Câu 17. Tại một nhà máy, gọi Cx là tổng chi phí (tính theo triệu đồng) để sản xuất x tấn sản
phẩm A trong một tháng. Khi đó, đạo hàm Cx , gọi là chi phí cận biên, cho biết tốc độ gia
tăng tổng chi phí theo lượng gia tăng sản phẩm được sản xuất. Giả sử chi phí cận biên (tính theo
triệu đồng trên tấn) của nhà máy được ước lượng bởi công thức: 2
C x 5 0,06x 0,00072x
với 0 x 150 . Biết rằng C0 30 triệu đồng, gọi là chi phí cố định. Tính tổng chi phí khi
nhà máy sản xuất 100 tấn sản phẩm A trong tháng (nhập đáp án vào ô trống).
Câu 18. Cho hàm số y f x có đạo hàm liên tục trên ,
đồ thị của hàm số y f x là đường cong ở hình bên.
Mệnh đề nào sau đây đúng?
A. Hàm số y f x đạt cực đại tại x 3.
B. Hàm số y f x đạt cực tiểu tại x 3.
C. Hàm số y f x có đúng 2 điểm cực trị.
D. Hàm số y f x có một điểm cực tiểu thuộc khoảng 2;3.
Câu 19. Cho hàm số y f x có đồ thị như hình
bên. Gọi S là tập hợp các giá trị nguyên của tham số
m để phương trình m f f x 2 có 3 nghiệm 2
phân biệt. Số phần tử của tập S là: A. 9. B. 10. C. 32. D. 34 . 3 3 Câu 20. Nếu f xdx 2 thì f x2xdx bằng: 1 1 A. 20 . B. 10. C. 18. D. 12.
Câu 21. Trong không gian Oxyz, cho mặt cầu 2
S : x y 22 z 12 6. Đường kính của mặt cầu S bằng: A. 6. B. 12. C. 2 6. D. 3.
Câu 22. Để đo khoảng cách từ vị trí A đến vị trí B ở hai bên bờ
một cái ao, bạn An đi dọc bờ ao từ vị trí A đến vị trí C và tiến
hành đo các góc BAC,BCA . Biết AC 25 m ; BAC 59,95 ;
BCA 82,15 (hình vẽ bên). Hỏi khoảng cách từ vị trí A đến vị
trí B là bao nhiêu mét (nhập đáp án vào ô trống, làm tròn kết
quả đến hàng đơn vị)?
Câu 23. Diện tích hình phẳng giới hạn bởi đồ thị của hàm số 2
y 4x x , y 2x và hai đường
thẳng x 1, x e bằng: A. 4 . B. 20 . C. 4 . D. 16 . 3 3 3
Câu 24. Cho hình chóp S.ABCD có đáy ABCD là hình thang vuông tại A và B . Biết AD 2a ,
AB BC SA a . Cạnh bên SA vuông góc với mặt đáy, gọi M là trung điểm của AD .
Khoảng cách h từ M đến mặt phẳng SCD là: A. a h . B. a 6 h . C. a 3 h . D. a 6 h . 3 6 6 3
10 Đề thi ĐGNL Bộ Quốc phòng môn Toán học và xử lý số liệu
509
255 lượt tải
300.000 ₫
MUA NGAY ĐỂ XEM TOÀN BỘ TÀI LIỆU
CÁCH MUA:
- B1: Gửi phí vào TK:
1133836868- CT TNHH DAU TU VA DV GD VIETJACK - Ngân hàng MB (QR) - B2: Nhắn tin tới Zalo VietJack Official ( nhấn vào đây ) để xác nhận thanh toán và tải tài liệu - giáo án
Liên hệ ngay Hotline hỗ trợ: 084 283 45 85
Đề thi được cập nhật thêm mới liên tục hàng năm sau mỗi kì thi trên cả nước. Chúng tôi đảm bảo đủ số lượng đề đã cam kết hoặc có thể nhiều hơn, tất cả có BẢN WORD, LỜI GIẢI CHI TIẾT và tải về dễ dàng.
Để tải tài liệu gốc về máy bạn click vào nút Tải Xuống ở trên!
- Tailieugiaovien.com.vn giới thiệu bộ 10 đề thi đánh giá năng lực Bộ Quốc phòng môn Toán học và xử lý số liệu nhằm giúp Giáo viên có thêm tài liệu tham khảo đề thi đánh giá năng lực.
- File word có lời giải chi tiết 100%.
- Mua trọn bộ sẽ tiết kiệm hơn tải lẻ 50%.
Đánh giá
4.6 / 5(509 )5
4
3
2
1
Trọng Bình
Tài liệu hay
Giúp ích cho tôi rất nhiều
Duy Trần
Tài liệu chuẩn
Rất thích tài liệu bên VJ soạn (bám sát chương trình dạy)
