SỞ GIÁO DỤC VÀ ĐÀO TẠO
KỲ THI TUYỂN SINH VÀO LỚP 10 THPT HÀ NỘI
NĂM HỌC: 2023 – 2024 ĐỀ CHÍNH THỨC MÔN: TOÁN Ngày thi: 11/06/2023
Thời gian làm bài: 120 phút x + 2 2 x − 3 3 − x
Câu I (2,0 điểm) Cho hai biểu thức A = và B = +
với x 0, x 1. x x −1 x −1
1) Tính giá trị của biểu thức A khi x = 9 . 2 x 2) Chứng minh B = . x + 1
3) Tìm tất cả giá trị của x để . A B = 4 .
Câu II (2,0 điểm)
1) Giải bài toán sau bằng cách lập phương trình hoặc hệ phương trình:
Theo kế hoạch, một phân xưởng phải làm xong 900 sản phẩm trong một số ngày quy
định. Thực tế, mỗi ngày phân xưởng đã làm được nhiều hơn 15 sản phẩm so với số sản
phẩm phải làm trong một ngày theo kế hoạch. Vì thế 3 ngày trước khi hết thời hạn, phân
xưởng đã làm xong 900 sản phẩm. Hỏi theo kế hoạch, mỗi ngày phân xưởng phải làm bao
nhiêu sản phẩm? (Giả định rằng số sản phẩm mà phân xưởng làm được trong mỗi ngày là bằng nhau.)
2) Một khối gỗ dạng hình trụ có bán kính đáy là 30cm và chiều cao là 120cm . Tính
thể tích của khối gỗ đó (lấy 3,14) .
Câu III (2,5 điểm)
2 −3y =1 x − 3
1) Giải hệ phương trình . 3 + 2y = 8 x − 3
2) Trong mặt phẳng toạ độ Oxy , cho parabol ( P) 2
: y = x và đường thẳng
(d ): y = (m + 2)x − m.
a) Chứng minh (d ) luôn cắt ( P ) tại hai điểm phân biệt.
b) Gọi x và x là hoành độ các giao điểm của (d ) và ( P ) . Tìm tất cả giá trị của 1 2 1 1 1 m để + = . x x x + x − 2 1 2 1 2
Câu IV (3,0 điểm) Cho tam giác ABC có ba góc nhọn ( AB AC) , nội tiếp đường tròn
(O). Tiếp tuyến tại điểm A của đường tròn (O) cắt đường thẳng BC tại điểm S . Gọi I
là chân đường vuông góc kẻ từ điểm O đến đường thẳng BC .
1) Chứng minh tứ giác SAOI là tứ giác nội tiếp.
2) Gọi H và D lần lượt là chân các đường vuông góc kẻ từ điểm A đến các đường
thẳng SO và SC . Chứng minh OAH = IAD .
3) Vẽ đường cao CE của tam giác ABC . Gọi Q là trung điểm của đoạn thẳng BE .
Đường thẳng QD cắt đường thẳng AH tại điểm K . Chứng minh B . Q BA = B . D BI và
đường thẳng CK song song với đường thẳng SO .
Câu V (0,5 điểm) Cho hai số thực dương a và b thỏa mãn a + b 2. Chứng minh 2 2 a b + 1. 2 2 a + b b + a
----------HẾT----------
Cán bộ coi thi không giải thích gì thêm.
SỞ GIÁO DỤC VÀ ĐÀO TẠO
KỲ THI TUYỂN SINH VÀO LỚP 10 THPT HÀ NỘI
NĂM HỌC: 2023 – 2024 HƯỚNG DẪN GIẢI MÔN: TOÁN x + 2 2 x − 3 3 − x
Câu I (2,0 điểm) Cho hai biểu thức A = và B = +
với x 0, x 1. x x −1 x −1
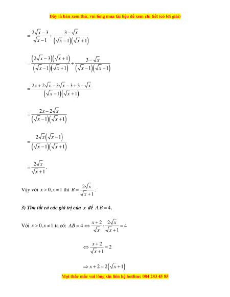
1) Tính giá trị của biểu thức A khi x = 9 . 2 x 2) Chứng minh B = . x + 1
3) Tìm tất cả giá trị của x để . A B = 4 . Lời giải
1) Tính giá trị biểu thức A khi x = 9 . 9 + 2 11
Thay x = 9 (tmđk) vào A ta được A = = . 9 3 11 Vậy A = khi x = 9 . 3 x
2) Chứng minh B = . x + 1
Với x 0, x 1 ta có: 2 x − 3 3 − x B = + x −1 x −1
Đề thi Toán vào 10 Hà Nội năm 2024 (đề chính thức)
109.5 K
54.7 K lượt tải
130.000 ₫
MUA NGAY ĐỂ XEM TOÀN BỘ TÀI LIỆU
CÁCH MUA:
- B1: Gửi phí vào TK:
1053587071
- NGUYEN VAN DOAN - Ngân hàng Vietcombank (QR) - B2: Nhắn tin tới Zalo VietJack Official ( nhấn vào đây ) để xác nhận thanh toán và tải tài liệu - giáo án
Liên hệ ngay Hotline hỗ trợ: 084 283 45 85
Chúng tôi đảm bảo đủ số lượng đề đã cam kết hoặc có thể nhiều hơn, tất cả có BẢN WORD, LỜI GIẢI CHI TIẾT và tải về dễ dàng.
Để tải tài liệu gốc về máy bạn click vào nút Tải Xuống ở trên!
Bộ tài liệu bao gồm: 9 tài liệu lẻ (mua theo bộ tiết kiệm đến 50%)
- Tailieugiaovien.com.vn giới thiệu tuyển tập đề thi môn Toán vào 10 TP Hà Nội từ năm 2015 - 2023 nhằm giúp Giáo viên có thêm tài liệu tham khảo ra đề thi Toán vào 10.
- File word có lời giải chi tiết 100%.
- Mua trọn bộ sẽ tiết kiệm hơn tải lẻ 50%.
Đánh giá
4.6 / 5(109495 )5
4
3
2
1

Trọng Bình
Tài liệu hay
Giúp ích cho tôi rất nhiều

Duy Trần
Tài liệu chuẩn
Rất thích tài liệu bên VJ soạn (bám sát chương trình dạy)