SỞ GIÁO DỤC VÀ ĐÀO TẠO
KỲ THI TUYỂN SINH LỚP 10 HÀ NỘI
THEO CHƯƠNG TRÌNH GDPT 2018 ĐỀ THAM KHẢO MÔN: TOÁN 9
Thời gian: 120 phút, không kể thời gian giao đề. ĐỀ BÀI
Câu I: (1,5 điểm) Một cửa hàng tạp hóa thống kê số tiền lãi (đơn vị: nghìn đồng) trong 60 ngày. Số liệu
được ghi lại trong biểu đồ tần số ghép nhóm sau: Tần số (𝑛) 25 20 20 15 15 12 10 8 5 5 0 Số tiền (nghìn đồng)
1) Tính tần số tương đối của mỗi nhóm?
2) Lập bảng tần số tương đối ghép nhóm cho bảng thống kê trên.
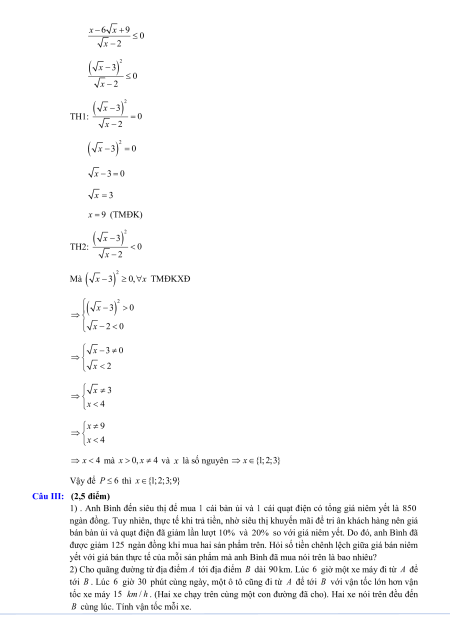
Câu II: (1,5 điểm) Cho hai biểu thức: − 3 x 4 x = x A và B = −
với x 0, x 4 x x + 2 4 − x
1) Tính giá trị của biểu thức A biết x = 16 .
2) Rút gọn biểu thức B . 3) Cho P = .
A B . Tìm các giá trị nguyên của x để P 6 .
Câu III: (2,5 điểm)
1) . Anh Bình đến siêu thị để mua 1 cái bàn ủi và 1 cái quạt điện có tổng giá niêm yết là 850
ngàn đồng. Tuy nhiên, thực tế khi trả tiền, nhờ siêu thị khuyến mãi để tri ân khách hàng nên giá
bán bàn ủi và quạt điện đã giảm lần lượt 10% và 20% so với giá niêm yết. Do đó, anh Bình đã
được giảm 125 ngàn đồng khi mua hai sản phẩm trên. Hỏi số tiền chênh lệch giữa giá bán niêm
yết với giá bán thực tế của mỗi sản phẩm mà anh Bình đã mua nói trên là bao nhiêu?
2) Cho quãng đường từ địa điểm A tới địa điểm B dài 90 km. Lúc 6 giờ một xe máy đi từ A
để tới B . Lúc 6 giờ 30 phút cùng ngày, một ô tô cũng đi từ A để tới B với vận tốc lớn hơn
vận tốc xe máy 15 km / h . (Hai xe chạy trên cùng một con đường đã cho). Hai xe nói trên đều
đến B cùng lúc. Tính vận tốc mỗi xe. 2 + 10
3) Biết rằng phương trình bậc hai 2
2x − 4x + m = 0 có một nghiệm x = . Tính tổng nghịch 2
đảo hai nghiệm của phương trình trên.
Câu IV: (4,0 điểm)
1) Một ống đồng hình trụ có chiều cao gấp 5 lần bán kính. Biết thể tích ống đồng bằng 3 40 cm . Tính
chiều cao của ống đồng đó.
2) Cho (O; R) đường kính AB . Bán kính CO vuông góc với AB , M là điểm bất kì trên cung
nhỏ AC ( M khác A và C ), MB cắt AC tại H . Gọi K là hình chiếu của H trên AB .
a) Chứng minh bốn điểm C, B, H , K cùng thuộc một đường tròn.
b) Chứng minh CA là phân giác MCK . A . P MB
c) Kẻ Ax là tiếp tuyến của nửa đường tròn tại A . Lấy P Ax sao cho = R . MA
Chứng minh PB đi qua trung điểm của đoạn thẳng HK .
Câu V: (0,5 điểm) Một trang chữ của một tạp chí cần diện tích là 2
384cm . Lề trên, lề dưới là 3cm ; lề
phải, lề trái là 2cm . Hỏi chiều ngang và chiều dọc tối ưu của trang giấy lần lượt là bao nhiêu để
diện tích trang giấy là nhỏ nhất? HẾT HƯỚNG DẪN
LỜI GIẢI CHI TIẾT CHO ĐỀ TRÊN
Câu I: (1,5 điểm) Một cửa hàng tạp hóa thống kê số tiền lãi (đơn vị: nghìn đồng) trong 60 ngày. Số liệu
được ghi lại trong biểu đồ tần số ghép nhóm sau: Tần số (𝑛) 25 20 20 15 15 12 10 8 5 5 0 Số tiền (nghìn đồng)
1) Tính tần số tương đối của mỗi nhóm?
2) Lập bảng tần số tương đối ghép nhóm cho bảng thống kê trên. Lời giải
1) Tần số tương đối của mỗi nhóm là: 5.100 8.100 12.100 20.100 f = % = 8,3% ; f = % = 13, 4% ; f = % = 20% ; f = % = 33,3% ; 1 60 2 60 3 60 4 60 15.100 f = % = 25% 5 60
2) Bảng tần số tương đối ghép nhóm của mẫu số liệu đã cho là: Số tiền
500; 1000) 1000; 1500) 1500 ; 2000) 2000 ; 2500) 2500 ; 3000) (nghìn đồng) Tần số 8,3% 13, 4% 20% 33,3% 25% tương đối
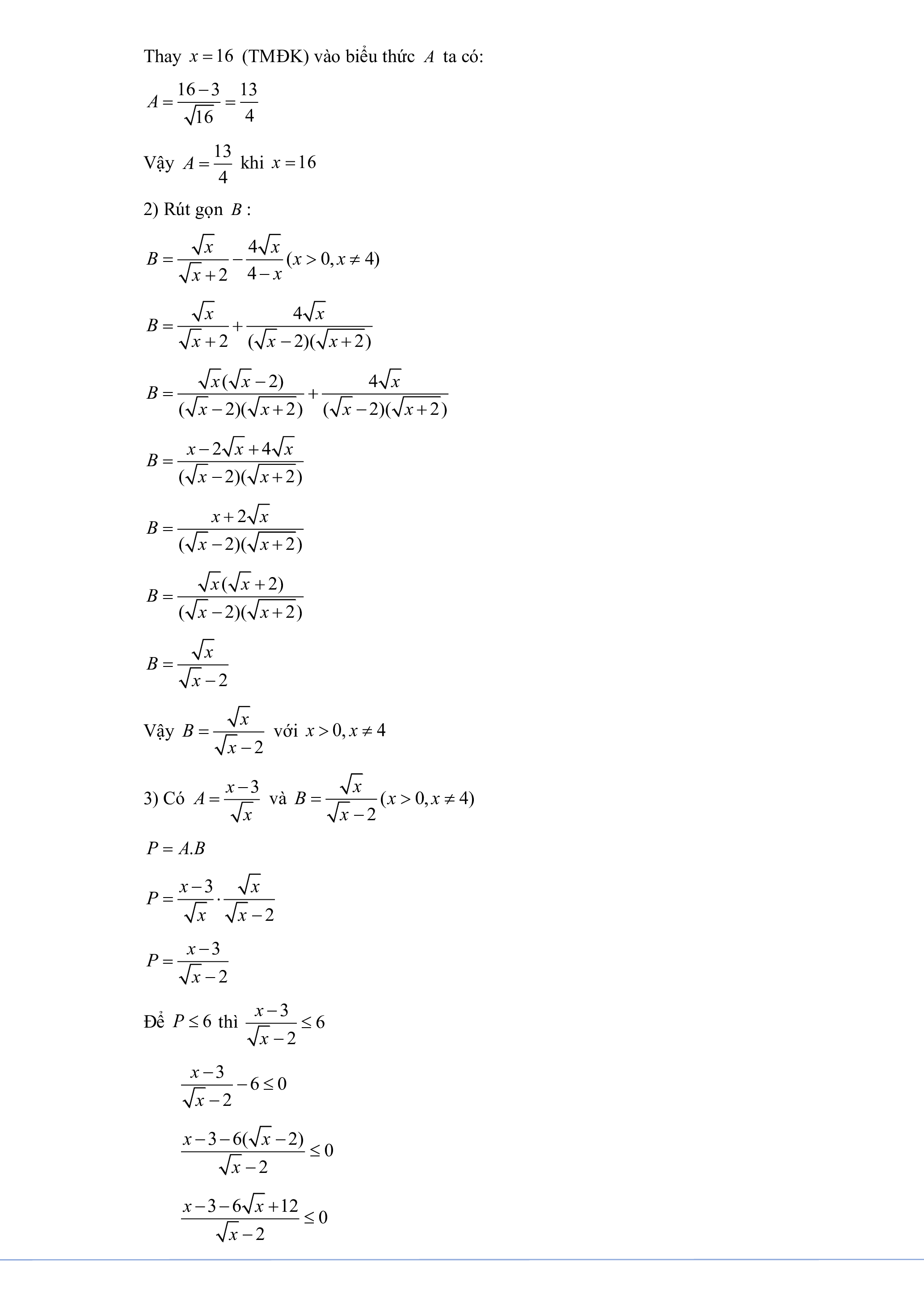
Câu II: (1,5 điểm) Cho hai biểu thức: − 3 x 4 x = x A và B = −
với x 0, x 4 x x + 2 4 − x
1) Tính giá trị của biểu thức A biết x = 16 .
2) Rút gọn biểu thức B . 3) Cho P = .
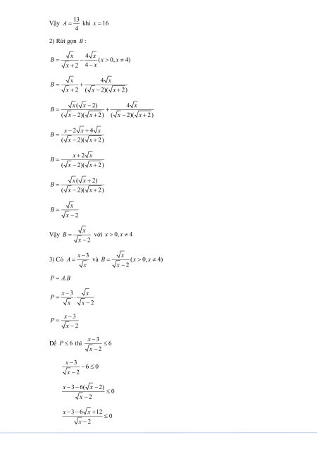
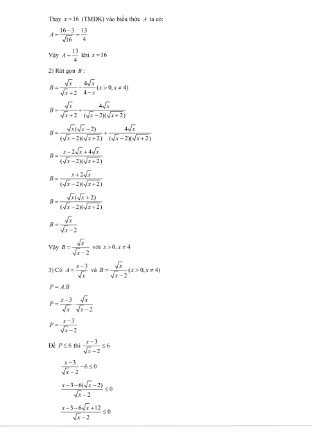
A B . Tìm các giá trị nguyên của x để P 6 . Lời giải − 3 1) Có = x A
( x 0, x 4) x
Thay x = 16 (TMĐK) vào biểu thức A ta có: 16 − 3 13 A = = 16 4 13 Vậy A = khi x = 16 4 2) Rút gọn B : x 4 = − x B
(x 0, x 4) x + 2 4 − x x 4 = + x B
x + 2 ( x − 2)( x + 2) x( x − 2) 4 = + x B
( x − 2)( x + 2) ( x − 2)( x + 2) x − 2 x + 4 = x B
( x − 2)( x + 2) x + 2 = x B
( x − 2)( x + 2) x( x + 2) B =
( x − 2)( x + 2) = x B x − 2 x Vậy B =
với x 0, x 4 x − 2 − 3 x 3) Có = x A và B =
(x 0, x 4) x x − 2 P = . A B x − 3 = x P x x − 2 x − 3 P = x − 2 x − 3 Để P 6 thì 6 x − 2 x − 3 − 6 0 x − 2
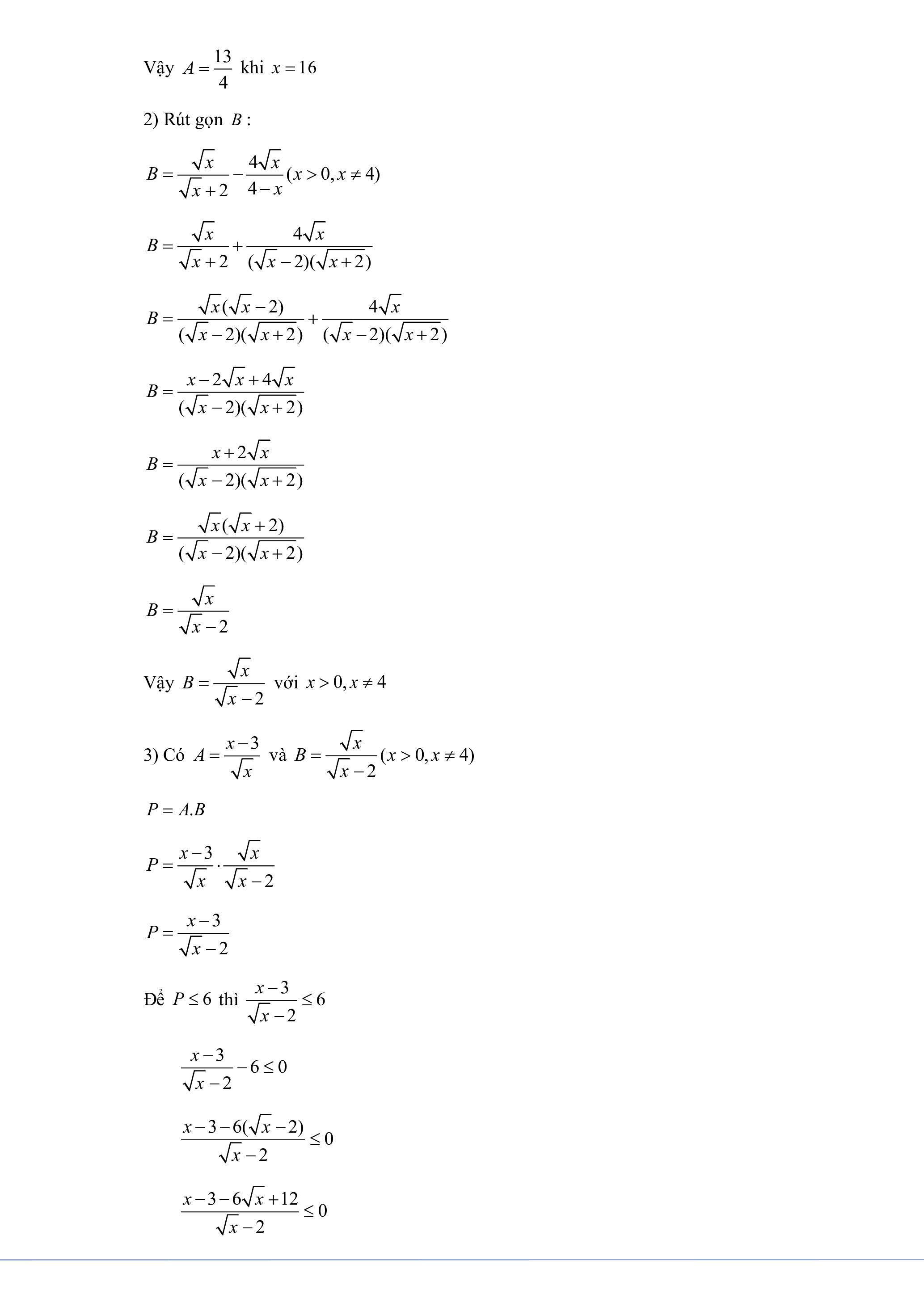
x − 3 − 6( x − 2) 0 x − 2
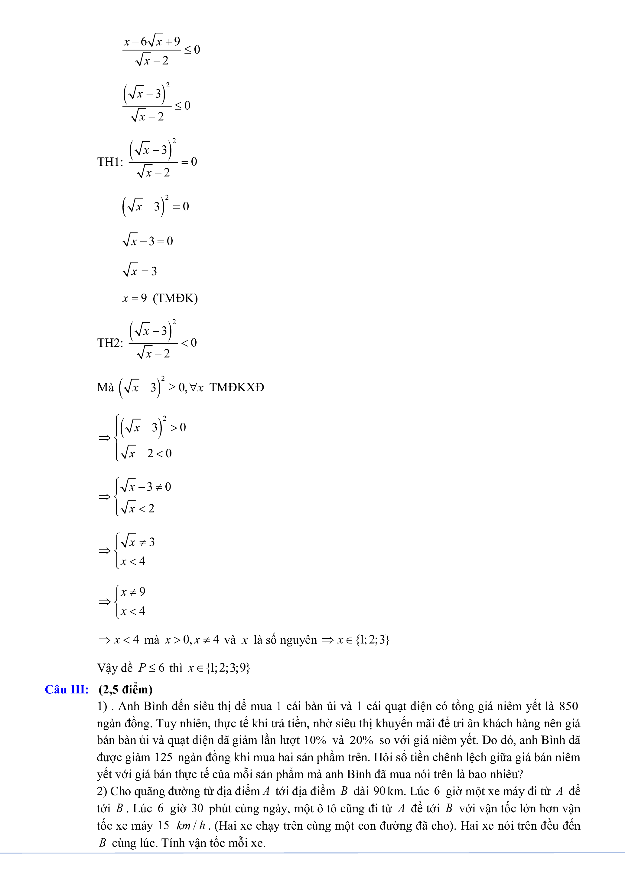
x − 3 − 6 x +12 0 x − 2
Bộ 48 Đề luyện thi Toán vào lớp 10 Hà Nội 2026 (có lời giải)
12
6 lượt tải
150.000 ₫
MUA NGAY ĐỂ XEM TOÀN BỘ TÀI LIỆU
CÁCH MUA:
- B1: Gửi phí vào TK:
1133836868- CT TNHH DAU TU VA DV GD VIETJACK - Ngân hàng MB (QR) - B2: Nhắn tin tới Zalo VietJack Official ( nhấn vào đây ) để xác nhận thanh toán và tải tài liệu - giáo án
Liên hệ ngay Hotline hỗ trợ: 084 283 45 85
Chúng tôi đảm bảo đủ số lượng đề đã cam kết hoặc có thể nhiều hơn, tất cả có BẢN WORD, LỜI GIẢI CHI TIẾT và tải về dễ dàng.
Để tải tài liệu gốc về máy bạn click vào nút Tải Xuống ở trên!
- Tailieugiaovien.com.vn giới thiệu Bộ 48 Đề luyện thi Toán vào lớp 10 theo cấu trúc Hà Nội 2026 có lời giải chi tiết nhằm giúp Giáo viên có thêm tài liệu ôn thi Toán vào 10.
- File word có lời giải chi tiết 100%.
- Mua trọn bộ sẽ tiết kiệm hơn tải lẻ 50%.
Đánh giá
4.6 / 5(12 )5
4
3
2
1
Trọng Bình
Tài liệu hay
Giúp ích cho tôi rất nhiều
Duy Trần
Tài liệu chuẩn
Rất thích tài liệu bên VJ soạn (bám sát chương trình dạy)
