CHỦ ĐỀ 1. TẬP HỢP CÁC SỐ TỰ NHIÊN, SỐ NGUYÊN I. LÝ THUYẾT 1. Tập hợp
Một tập hợp (gọi tắt là tập) bao gồm những đối tượng nhất định, những đối tượng đó được
gọi là những phần tử của tập hợp mà ta nhắc đến. Kí hiệu:
• x A đọc là x thuộc A hoặc x nằm trong A.
• y A đọc là y không thuộc A.
2. Cách viết (mô tả) một tập hợp
Ta thường viết tập hợp theo 2 cách:
Cách 1. Liệt kê các phần tử của tập hợp
• Các phần tử của một tập hợp được viết trong hai dấu ngoặc nhọn { }, ngăn cách nhau bởi dấu “;”.
• Mỗi phần tử được liệt kê một lần, thứ tự liệt kê tùy ý.
Cách 2. Chỉ ra tính chất đặc trưng cho các phần tử của tập hợp đó.
3. Tập hợp số tự nhiên, số nguyên
• Tập hợp không có phần tử nào gọi là tập hợp rỗng. Kí hiệu: .
• Tập hợp các số tự nhiên được kí hiệu là , = 0;1;2;3;... . .
• Tập hợp các số tự nhiên khác 0 được kí hiệu là *, * = 1;2;3;... . .
• Tập hợp các số nguyên được kí hiệu là , = ...; 3 − ; 2 − ; 1 − ;0;1;2;3;.. ..
Số nguyên dương là tập hợp các số nguyên lớn hơn 0;
Số nguyên âm là tập hợp các số nguyên nhỏ hơn 0.
Số 0 không là số nguyên dương, cũng không là số nguyên âm. 4. Tập hợp con
• Nếu mọi phần tử của tập hợp A đều thuộc tập hợp B thì tập hợp A được gọi là tập hợp con của tập hợp .
B Kí hiệu : A . B
• Nếu A B và B A thì hai tập hợp A và B bằng nhau. Kí hiệu A = . B
5. Biểu diễn số nguyên trên trục số
Mỗi số nguyên âm được biểu diễn bởi một điểm ở bên trái điểm 0 (chẳng hạn điểm a ) và
mỗi số tự nhiên (số nguyên dương) được biểu diễn bởi một điểm ở trên phải điểm 0 (chẳng hạn điểm b ).
Khi đó a b. 6. Số đối
Số đối của số nguyên a là số −a .
II. MỘT SỐ DẠNG BÀI TẬP
Dạng 1. Biểu diễn một tập hợp cho trước
Dạng 2. Quan hệ giữa phần tử và tập hợp, giữa tập hợp và tập hợp
Dạng 3. Xác định số phần tử của một tập hợp Dạng 4. Tập hợp con
Dạng 5. Biểu diễn số nguyên trên trục số Dạng 6. Số đối III. BÀI TẬP
Bài 1. Viết tập hợp A và B các chữ cái trong các cụm từ “GIÁO VIÊN”, “HỌC SINH”.
Bài 2. Viết tập hợp sau bằng cách liệt kê các phần tử
a) A = x |10 x 1 6 ;
b) B = x | 2 − x 3 .
Bài 3. Viết tập hợp sau bằng cách chỉ ra tính chất đặc trưng: a) A = 2;4;6;8;1 0 ;
b) B = 0;5;10;15;20;25;3 0 .
Bài 4. Viết tập hợp các số tự nhiên lẻ lớn hơn 7 và nhỏ hơn hoặc bằng 17 bằng hai cách. Bài 5.
a) Cho tập hợp A = 3; 5 − ;
7 . Hãy điền kí hiệu ; ; ; = thích hợp vào ô trống: 5 A; 5 − A ; 3; 7 A ; − 5 A ; 3;−5; 7 A; 7 A; A; 7 A .
b) Điền kí hiệu ( ; ; ; ) vào ô trống: 3 − ; Z;; 4 − ; 5 ; Z ; Z N Z = ; N N . Z 4
Bài 6. Gọi A là tập hợp các số nguyên lẻ có 3 chữ số. Hỏi tập hợp A có bao nhiêu phần
tử? Tính tổng giá trị tất cả các phần tử của tập hợp A.
Bài 7. Cho tập hợp A = ; a ; b ; c d
a) Viết các tập hợp con của A có một phần tử.
b) Viết các tập hợp con của A có hai phần tử.
c) Có bao nhiêu tập hợp con của A có ba phần tử? có bốn phần tử?
d) Tập hợp A có bao nhiêu tập hợp con?
Bài 8. Cho các tập hợp A = 2 − ; 3 − ;5;7;1 1 và B = 1; 3 − ;5;7; 9 − ;1 1
a) Viết tập hợp C các phần tử thuộc A và không thuộc B .
b) Viết tập hợp D các phần tử thuộc B và không thuộc A .
c) Viết tập hợp E các phần tử vừa thuộc A vừa thuộc B .
d) Viết tập hợp F các phần tử hoặc thuộc A hoặc thuộc B .
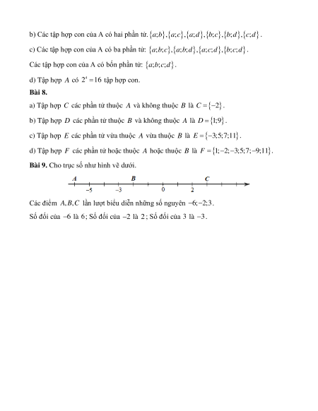
Bài 9. Cho trục số như hình vẽ dưới. Các điểm ,
A B,C biểu diễn những số nguyên nào? Tìm số đối của các số nguyên đó.
IV. ĐÁP ÁN BÀI TẬP Bài 1.
Tập hợp các chữ cái trong cụm từ “GIÁO VIÊN” là: A = {G; I; A; O; V; Ê; N}.
Tập hợp các chữ cái trong cụm từ “HỌC SINH” là: B = H; ;
O C; S; I; N. Bài 2.
a) A = 11;12;13;14;1 5 ; b) B = 2 − ; 1 − ;0;1; 2 . Bài 3.
a) A là tập hợp các số chẵn khác 0 và nhỏ hơn 10 (hoặc A là tập hợp các số chẵn khác 0 và có một chữ số).
c) B là tập hợp các số chia hết cho 5 và không vượt quá 30. Bài 4.
Cách 1: A = 9;11;13;15;1 7 .
Cách 2: A = 7 x 17 | x là số lẻ}. Bài 5. a) 5 A; 5 − A ; 3; 7 A ; − 5 A ; 3;5; 7 = A ; 7 A ; A; 7 A . 3 − b) ; Z;; 4 − ; 5 ; Z ; Z N Z = ; N N . Z 4 Bài 6.
Tập hợp các số nguyên lẻ có 3 chữ số là A = 9 − 99; 9 − 97;...; 1 − 03; 1 − 01;101;103;...;997;99 9 . 999 −101 Tập hợp A có 2. +1 = 900 phần tử. 2
Tổng của tất cả các phần tử là: ( 9 − 99) + ( 9 − 97) +...+ ( 1 − 03) + ( 1 − 0 ) 1 +101+103 + ... + ( 9 − 97) + ( 9 − 99) = 0. Bài 7.
a) Các tập hợp con của A có một phần tử: a , b , c ,d .
Bài tập ôn hè Toán lớp 6 lên lớp 7 có đáp án
865
433 lượt tải
150.000 ₫
MUA NGAY ĐỂ XEM TOÀN BỘ TÀI LIỆU
CÁCH MUA:
- B1: Gửi phí vào TK:
1053587071
- NGUYEN VAN DOAN - Ngân hàng Vietcombank (QR) - B2: Nhắn tin tới Zalo VietJack Official ( nhấn vào đây ) để xác nhận thanh toán và tải tài liệu - giáo án
Liên hệ ngay Hotline hỗ trợ: 084 283 45 85
Chúng tôi đảm bảo đủ số lượng đề đã cam kết hoặc có thể nhiều hơn, tất cả có BẢN WORD, LỜI GIẢI CHI TIẾT và tải về dễ dàng.a
Để tải tài liệu gốc về máy bạn click vào nút Tải Xuống ở trên!
- Tailieugiaovien.com.vn giới thiệu bài tập ôn hè Toán lớp 6 lên lớp 7 có lời giải chi tiết bao gồm: Phần số và Phần hình học trực quan nhằm giúp Giáo viên có thêm tài liệu tham khảo giúp học sinh ôn tập, nắm vững kiến thức môn Toán để chuẩn bị lên lớp 7.
- File word có lời giải chi tiết 100%.
- Mua trọn bộ sẽ tiết kiệm hơn tải lẻ 50%.
Đánh giá
4.6 / 5(865 )5
4
3
2
1

Trọng Bình
Tài liệu hay
Giúp ích cho tôi rất nhiều

Duy Trần
Tài liệu chuẩn
Rất thích tài liệu bên VJ soạn (bám sát chương trình dạy)