ĐỀ CƯƠNG ÔN TẬP CUỐI HỌC KÌ I
BỘ SÁCH: KẾT NỐI TRI THỨC VỚI CUỘC SỐNG MÔN TOÁN – LỚP 9
PHẦN I. TÓM TẮT NỘI DUNG KIẾN THỨC A. Đại số
Chương I. Phương trình và hệ hai phương trình bậc nhất hai ẩn
– Khái niệm phương trình và hệ hai phương trình bậc nhất hai ẩn
– Giải hệ hai phương trình bậc nhất hai ẩn
– Giải bài toán bằng cách lập hệ phương trình
Chương II. Phương trình và bất phương trình bậc nhất một ẩn
– Phương trình quy về phương trình bậc nhất một ẩn
– Bất đẳng thức và tính chất
– Bất phương trình bậc nhất một ẩn
Chương III. Căn bậc hai và căn bậc ba
– Căn bậc hai và căn thức bậc hai
– Khai căn bậc hai với phép nhân và phép chia
– Biến đổi đơn giản và rút gọn biểu thức chứa căn thức bậc hai
– Căn bậc ba và căn thức bậc ba B. Hình học
Chương IV. Hệ thức lượng trong tam giác vuông
– Tỉ số lượng giác của góc nhọn
– Một số hệ thức giữa cạnh, góc trong tam giác vuông và ứng dụng
Chương V. Đường tròn
– Cung và dây của một đường tròn
– Độ dài cung tròn. Diện tích hình quạt tròn và hình vành khuyên
– Vị trí tương đối của đường thẳng và đường tròn
PHẦN II. MỘT SỐ CÂU HỎI, BÀI TẬP THAM KHẢO
A. Bài tập trắc nghiệm
1. Câu trắc nghiệm nhiều phương án lựa chọn
Khoanh tròn chữ cái đứng trước câu trả lời đúng duy nhất
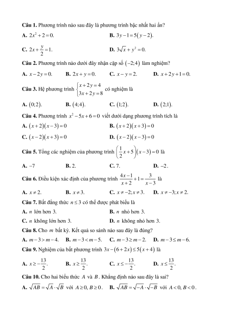
Câu 1. Phương trình nào sau đây là phương trình bậc nhất hai ẩn? A. 2 2x 2 0.
B. 3y 1 5 y 2. y C. 2x 1. D. 2
3 x y 0. 2
Câu 2. Phương trình nào dưới đây nhận cặp số 2 ;4 làm nghiệm?
A. x 2y 0.
B. 2x y 0.
C. x y 2.
D. x 2y 1 0.
x 2y 4
Câu 3. Hệ phương trình có nghiệm là 3
x 2y 8 A. 0;2. B. 4;4. C. 1;2. D. 2; 1 .
Câu 4. Phương trình 2
x 5x 6 0 viết dưới dạng phương trình tích là
A. x 2 x 3 0
B. x 2 x 3 0
C. x 2 x 3 0
D. x 2 x 3 0 1
Câu 5. Tổng các nghiệm của phương trình x 5
x 3 0 là 2 A. 7 B. 2. C. 7. D. 2 . x
Câu 6. Điều kiện xác định của phương trình 4 1 3 1 x 2 x là 3
A. x 2.
B. x 3. C. x 2 ; x 3. D. x 3 ; x 2.
Câu 7. Bất đẳng thức n 3 có thể được phát biểu là
A. n lớn hơn 3.
B. n nhỏ hơn 3.
C. n không lớn hơn 3.
D. n không nhỏ hơn 3.
Câu 8. Cho m bất kỳ. Kết quả so sánh nào sau đây là đúng?
A. m 3 m 4. B. m 3 m 5.
C. m 3 m 2.
D. m 3 m 6.
Câu 9. Nghiệm của bất phương trình 3x 6 2x 5 x 4 là 13 13 13 13 A. x . B. x . C. x . D. x . 2 2 2 2
Câu 10. Cho hai biểu thức A và B . Khẳng định nào sau đây là sai? A. AB
A B với A 0, B 0 .
B. AB A B với A 0, B 0 . A A A A C.
với A 0, B 0 . D.
với A 0, B 0 . B B B B
Câu 11. Điều kiện xác định của 16 x là
A. x 16.
B. x 16.
C. x 16.
D. x 16.
Câu 12. Đẳng thức nào sau đây không đúng?
A. 16 144 16.
B. 0,64. 9 2, 4. 2 2 C. 1 8 . 6 108. D. 2 2 3 . 7 2 1.
Câu 13. Rút gọn biểu thức 9a 16a 64a với a 0 ta có kết quả A. 15 a. B. 15 . a C. 7 a. D. 7 . a
Câu 14. Giá trị của biểu thức C 3 2 2 7 2 10 là A. 1 5. B. 1 5.
C. 2 2 1 5. D. 2 2 1 5.
Câu 15. Kết quả của phép tính 27a : 6a 2 18a với a 0 là A. 12 a. B. 18 a.
C. 72 a.
D. 144 a.
Câu 16. Cho tam giác MNP vuông tại M . Khi đó, cot MNP bằng MP MN MN MP A. . B. . C. . D. . MN MP NP NP
Câu 17. Cho tam giác ABC vuông tại A . Khi đó:
A. AB A . C cos .
B B. AB A . C cos . C
C. AB BC.cos .
B D. AB B . C cos . C
Câu 18. Giá trị cot 35 2
3 (kết quả làm tròn đến chữ số thập phân thứ ba) là A. 1, 408. B. 1, 409. C. 1, 407. D. 1, 440.
Câu 19. Trong hình bên, cos bằng 3 3 A. . B. . 5 4 3 4 C. . D. . 4 5
Câu 20. Cho tam giác ABC vuông tại A có BC 8 cm , AC 6 cm . Tỉ số lượng giác
tan C là bao nhiêu? (kết quả được làm tròn đến hàng phần trăm) A. 0,87. B. 0,86. C. 0,88. D. 0,89.
Câu 21. Cho tam giác ABC vuông tại A , có B 60 và AC 10 . Độ dài cạnh BC là 20 3
A. BC 15 3.
B. BC 10 3.
C. BC 20 3. D. BC . 3
Câu 22. Góc ở tâm là góc
A. có đỉnh nằm trên đường tròn.
B. có đỉnh nằm trên bán kính của đường tròn.
C. có hai cạnh là hai đường kính của đường tròn.
D. có đỉnh trùng với tâm đường tròn.
Câu 23. Điểm M nằm trên đường tròn ; O R nếu A. OM . R B. OM . R C. OM . R D. OM 2 . R
Câu 24. Cho hai đường tròn ;
O 5 cm ; O ;4 cm với OO 9 cm . Kết luận nào sau
đây đúng về vị trí tương đối của hai đường tròn?
A. Hai đường tròn cắt nhau.
B. Hai đường tròn ở ngoài nhau.
C. Hai đường tròn tiếp xúc ngoài.
D. Hai đường tròn tiếp xúc trong.
Câu 25. Cho hai đường tròn ;
O R và O ; R thỏa mãn R R OO R R . Số
điểm chung của hai đường tròn là A. 0. B. 1. C. 2. D. 3.
Câu 26. Cung có số đo 110 của đường tròn bán kính 8 cm dài bao nhiêu? (làm tròn
kết quả đến hàng phần chục) A. 15,3 cm. B. 15, 4 cm. C. 15,5 cm. D. 15 cm.
Câu 27. Cho hai đường tròn ;
O 2 cm và O ;5 cm tiếp xúc ngoài thì độ dài của OO bằng A. 2 cm. B. 7 cm. C. 3 cm. D. 1 cm.
Câu 28. Hình vành khuyên giới hạn bởi hai đường tròn ; O 2 cm và ; O 4 cm có diện tích bằng A. 2 12 cm . B. 2 24 cm . C. 2 4 cm . D. 2 12 cm .
Câu 29. Cho đường tròn ;
O 12 cm , dây AB vuông góc với bán kính OC tại trung
điểm M của OC . Dây AB có độ dài là
Đề cương ôn tập Cuối kì 1 Toán 9 Kết nối tri thức
1.5 K
736 lượt tải
80.000 ₫
MUA NGAY ĐỂ XEM TOÀN BỘ TÀI LIỆU
CÁCH MUA:
- B1: Gửi phí vào TK:
1053587071
- NGUYEN VAN DOAN - Ngân hàng Vietcombank (QR) - B2: Nhắn tin tới Zalo VietJack Official ( nhấn vào đây ) để xác nhận thanh toán và tải tài liệu - giáo án
Liên hệ ngay Hotline hỗ trợ: 084 283 45 85
Chúng tôi đảm bảo đủ số lượng đề đã cam kết hoặc có thể nhiều hơn, tất cả có BẢN WORD, LỜI GIẢI CHI TIẾT và tải về dễ dàng.
Để tải tài liệu gốc về máy bạn click vào nút Tải Xuống ở trên!
- Tailieugiaovien.com.vn giới thiệu bộ Đề cương ôn tập Toán 9 Cuối kì 1 theo cấu trúc trắc nghiệm mới gồm trắc nghiệm 4 lựa chọn, Đúng / Sai và trả lời ngắn Kết nối tri thức mới nhất nhằm giúp Giáo viên có thêm tài liệu tham khảo ra đề thi Toán 9.
- File word có lời giải chi tiết 100%.
- Mua trọn bộ sẽ tiết kiệm hơn tải lẻ 50%.
Đánh giá
4.6 / 5(1472 )5
4
3
2
1

Trọng Bình
Tài liệu hay
Giúp ích cho tôi rất nhiều

Duy Trần
Tài liệu chuẩn
Rất thích tài liệu bên VJ soạn (bám sát chương trình dạy)