ĐỀ CƯƠNG ÔN TẬP CUỐI HK1 - VẬT LÍ 10
A. KIẾN THỨC CẦN ÔN TẬP TRONG CÁC BÀI HỌC
Bài mở dầu. GIỚI THIỆU MỤC ĐÍCH HỌC TẬP MÔN VẬT LÍ
CHỦ ĐỀ 1. MÔ TẢ CHUYỂN ĐỘNG
1. Tốc độ, độ dịch chuyển và vận tốc
2. Đồ thị độ dịch chuyển theo thời gian. Độ dịch chuyển
tổng hợp và vận tốc tổng hợp
3. Gia tốc và đồ thị vận tốc - thời gian
4. Chuyển động biến đổi
CHỦ ĐỀ 2. LỰC VÀ CHUYỂN ĐỘNG 1. Lực và gia tốc
2. Một số lực thường gặp
3. Ba định luật Newton về chuyển động
4. Khối lượng riêng. Áp suất chất lỏng.
B. CÂU HỎI TỰ LUYỆN
PHẦN I. Câu trắc nhiệm nhiều phương án lựa chọn (4,5 điểm). Thí sinh trả lời từ câu 1 đến câu 18.
Mỗi câu hỏi thí sinh chỉ chọn một phương án.
Câu 1. Đối tượng nào sau đây thuộc đối tượng nghiên cứu của Vật lí?
A. Chuyển động của các vật thể
B. Điều kiện sinh sống và phát triển của động vật.
C. Hiện tượng quang hợp của cây xanh.
D. Lịch sử phát triển nhân loại. Hướng dẫn giải
Đối tượng nghiên cứu của Vật lí là các dạng vận động của vật chất và năng lượng.
Câu 2. Đây là hình ảnh hai nhân viên bắt đầu ngày làm việc tại lò phản ứng hạt nhân Đà Lạt. Khi làm
việc với phóng xạ thì áo hai nhân viên mặc thuộc quy tắc an toàn là
A. đảm bảo che chắn các cơ quan trọng yếu của cơ thể
B. tăng khoảng cách từ người đến nguồn phóng xạ
C. giảm thời gian tiếp xúc với nguồn phóng xạ
D. tăng thời gian tiếp xúc với nguồn phóng xạ
Câu 3: Trong các phát biểu dưới đây, phát biểu nào đúng? Chuyển động cơ là
A. sự thay đổi hướng của vật này so với vật khác theo thời gian.
B. sự thay đổi chiều của vật này so với vật khác theo thời gian.
C. sự thay đổi vị trí của vật này so với vật khác theo thời gian.
D. sự thay đổi phương của vật này so với vật khác theo thời gian. Hướng dẫn giải
Chuyển động cơ là sự thay đổi vị trí của vật này so với vật khác theo thời gian
Câu 4. Độ lớn độ dịch chuyển khi người đó đi từ cái cây vào nhà là
A.100 m B. 200 m C. 300 m D. 400 m Hướng dẫn giải
Độ lớn độ dịch chuyển khi người đó đi từ cái cây vào nhà là 400 m.
Câu 5: Một người bơi ngang từ bờ bên này sang bờ bên kia của một dòng sông rộng 50 m có dòng chảy
theo hướng từ Bắc xuống Nam. Do nước sông chảy mạnh nên khi sang đến bờ bên kia thì người đó đã
trôi xuôi theo dòng nước 50 m. Độ dịch chuyển của người đó là
A. 70,7 m theo hướng 45o Đông – Nam
B. 30,23 m theo hướng 300 Đông – Nam
C. 100 m hướng 150 Đông – Tây
D. 150 m hướng 250 Đông – Tây Hướng dẫn giải
Độ dịch chuyển của người đó là: d = OB =√502 + 502 ≈ 70,7m (hướng 45o Đông – Nam).
Câu 6. Một người đi xe máy từ nhà đến nhà sách với quãng đường 3 km mất 15 phút, sau đó đi đến
trường với quãng đường 2 km mất 12 phút. Biết trường nằm giữa nhà và nhà sách và cùng nằm trên một
đường thẳng. Vận tốc trung bình của người đi xe máy là A. 0,62 m/s. B. 0,98 m/s. C. 0,29 km/h. D. 0,38 m/s. Hướng dẫn giải: d 1000 v 0,62 m/s tb t 27 60
Câu 7: Khi độ dốc của đồ thị độ dịch chuyển – thời gian trong chuyển động thẳng đều bằng 0, điều này có nghĩa là gì?
A. Vật đang chuyển động nhanh dần.
B. Vật đang chuyển động chậm dần.
C. Vật đang đứng yên.
D. Vật đang chuyển động ngược chiều dương. Hướng dẫn giải
Khi độ dốc của đồ thị độ dịch chuyển – thời gian bằng 0, điều này có nghĩa là vật đang đứng yên, không
có sự thay đổi độ dịch chuyển theo thời gian.
Câu 8: Một vật chuyển động thẳng đều với vận tốc v = 15 m/s từ điểm có tọa độ d0 = −10 m. Phương
trình chuyển động của vật là gì?
A. d = 15t – 10 (m/s). B. d = -10t + 15(m/s). C. d = 15t + 10 (m/s).
D. d = -15t – 10 (m/s). Hướng dẫn giải
Phương trình chuyển động của vật có dạng d = d0 + v. t. Thay các giá trị vào, ta có d = -10 + 15t
Câu 9. Ta có A cách B 72km. Lúc 7h30 sáng, Xe ô tô một khởi hành từ A chuyển động thẳng đều về B
với tốc độ 36km / h. Nửa giờ sau, xe ô tô hai chuyển động thẳng đều từ B đến A và gặp nhau lúc 8 giờ 30
phút. Tốc độ của xe ô tô thứ hai. A. 70km/h. B. 72 km/h. C. 73km/h. D. 74km/h. Hướng dẫn giải
Chọn mốc tại A, chiều dương từ A đến B
Chọn mốc thời gian t 0h lúc 7 giờ 30 phút 0
Phương trình độ dịch chuyển – thời gian của mỗi xe: d 36t(k )
m ; d 72 v (t 0,5)km 1 2 2
Khi gặp nhau: d d 36t 72 v (t 0,5) 1 2 2
Lúc 8h30 ứng với t=1h, thay vào phương trình trên ta tìm được v 7 2km / h 2
Câu 10. Chuyển động thẳng chậm dần đều có
A. quỹ đạo là đường cong bất kì.
B. độ lớn vectơ gia tốc là một hằng số, ngược chiều với vectơ vận tốc của vật.
C. quãng đường đi được của vật không phụ thuộc vào thời gian.
D. vectơ vận tốc vuông góc với qũy đạo của chuyển động. Hướng dẫn giải:
Chuyển động thẳng chậm dần đều có độ lớn vectơ gia tốc là một hằng số, ngược chiều với vectơ vận tốc của vật.
Câu 11. Xe ô tô đang chuyển động thẳng với vận tốc 20 m/s thì bị hãm phanh chuyển động chậm dần
đều. Quãng đường xe đi được từ lúc hãm phanh đến khi xe dừng hẳn là 100m. Gia tốc của xe là A. 1 m/s2. B. – 1 m/s2. C. – 2 m/s2. D. 5 m/s2. Hướng dẫn giải: 2 2 0 20 2 2 2 v v 2a.S a 2 m / s 0 2.100
Câu 12. Một vật chuyển động thẳng biến đổi đều với phương trình chuyển động là: 2
x 20 4t t (m; s).
Phương trình đường đi và phương trình vận tốc của vật là
A. s = 4t + t2; v = 4 + 2t (m; s; m/s)
B. s = t + t2; v = 4 + 2t (m; s; m/s).
C. s = 1t + t2; v = 3 + 2t (m; s; m/s).
D. s = 4t + t2; v = 2t (m; s; m/s). Hướng dẫn giải:
Từ phương trình chuyển động, ta có: x0=20m; v0=4m/s; a=2m/s2 1 2 2 S v t
at 4t t ; v v at 4 2t 0 0 2
Câu 13. Một đoàn tàu đứng yên khi tăng tốc, chuyển động nhanh dần đều. Trong khoảng thời gian tăng
tốc từ 21,6 km/h đến 36 km/h, tàu đi được 64 m. Gia tốc của tàu và quãng đường tàu đi được kể từ lúc bắt
đầu chuyển động đến khi đạt tốc độ 36 km/h là
A. a = 0,5 m/s2, s = 100 m.
B. a = - 0,5 m/s2, s = 110 m.
C. a = - 0,5 m/s2, s = 100 m.
D. a = - 0,7 m/s2, s = 200 m. Hướng dẫn giải:
v 21, 6km / h 6m / s; v 36km / h 10m / s 01 2 2 2 2 v v 10 6 01 2 a 0,5m / s 2.S 2.64 2 2 2
v v 2a.S' 10 0 2.0, 5.S' S' 100 m 0
Câu 14. Sau khi khởi hành được 2 s trên đường nằm ngang, xe đạt vận tốc 4 m/s. Biết xe chuyển động
nhanh dần đều. Sau 12 m tiếp theo, xe có vận tốc là A. 4 m/s. B. 8 m/s. C. 12 m/s. D. 16 m/s. Hướng dẫn giải: Gia tốc của xe: v 4 2 a 2 m/s t 2
Sau khi chạy tiếp 12 m thì vận tốc của vật là 2 2
v v 2as 4 2 212 8 m/s . 0
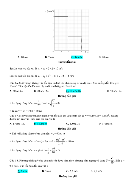
Câu 15. Đồ thị gia tốc – thời gian của một vật chuyển động từ trạng thái nghỉ ở hình bên. Vận tốc của vật sau 4 s là
Đề cương ôn tập Cuối kì 1 Vật lí 10 Cánh diều
295
148 lượt tải
50.000 ₫
MUA NGAY ĐỂ XEM TOÀN BỘ TÀI LIỆU
CÁCH MUA:
- B1: Gửi phí vào TK:
1133836868- CT TNHH DAU TU VA DV GD VIETJACK - Ngân hàng MB (QR) - B2: Nhắn tin tới Zalo VietJack Official ( nhấn vào đây ) để xác nhận thanh toán và tải tài liệu - giáo án
Liên hệ ngay Hotline hỗ trợ: 084 283 45 85
Chúng tôi đảm bảo đủ số lượng đề đã cam kết hoặc có thể nhiều hơn, tất cả có BẢN WORD, LỜI GIẢI CHI TIẾT và tải về dễ dàng.
Để tải tài liệu gốc về máy bạn click vào nút Tải Xuống ở trên!
- Tailieugiaovien.com.vn giới thiệu bộ Đề cương ôn tập Cuối kì 1 Vật lí 10 Cánh diều gồm đề cương và đề thi cuối kì 1 nhằm giúp Giáo viên, học sinh có thêm tài liệu tham khảo môn Vật lí 10.
- File word có lời giải chi tiết 100%.
- Mua trọn bộ sẽ tiết kiệm hơn tải lẻ 50%.
Đánh giá
4.6 / 5(295 )5
4
3
2
1
Trọng Bình
Tài liệu hay
Giúp ích cho tôi rất nhiều
Duy Trần
Tài liệu chuẩn
Rất thích tài liệu bên VJ soạn (bám sát chương trình dạy)
