Đề cương ôn tập cuối học kì II – Bộ sách: Chân trời sáng tạo Môn Toán – Lớp 7
Phần I. Tóm tắt nội dung kiến thức A. Đại số 1. Tỉ lệ thức.
2. Tính chất dãy tỉ số bằng nhau.
3. Đại lượng tỉ lệ thuận, tỉ lệ nghịch.
4. Biểu thức số, biểu thức đại số. 5. Đa thức một biến.
6. Phép cộng và phép trừ đa thức một biến.
7. Phép nhân và phép chia đa thức một biến. B. Xác suất
1. Làm quen với biến cố.
2. Làm quen với xác suất của biến cố. C. Hình học
1. Góc và cạnh của một tam giác. 2. Tam giác bằng nhau. 3. Tam giác cân.
4. Đường vuông góc và đường xiên.
5. Đường trung trực của một đoạn thẳng.
6. Tính chất ba đường trung trực của tam giác.
7. Tính chất ba đường cao của tam giác.
8. Tính chất ba đường phân giác của tam giác.
Phần II. Một số câu hỏi, bài tập tham khảo
A. Bài tập trắc nghiệm:
1. Chọn câu trả lời đúng. Câu 1. Cho biết 3 x
, khi đó x có giá trị là 8 32 A. 12. B. 3 . C. 1 2. D. 3 . 4 4
Câu 2. Cho tỉ lệ thức a c
. Kết luận nào sau đây là sai? (Giả sử các tỉ số đều có b d nghĩa). A. a b . B. a a c . C. a c a c . D. a c . a c . c d b b d b d b d b d . b d
Câu 3. Biết rằng x, y, z tỉ lệ với 1; 2; 3. Khi đó ta có A. x y z . B. x y z .
C. x:y:z 3: 2:1. D. z : y : x 1 : 2:3 . 3 2 1 1 2 3
Câu 4. Cho đại lượng y tỉ lệ thuận với đại lượng x theo hệ số tỉ lệ a. Khi x 0,8 thì
y 2,4 . Khi đó giá trị của a bằng A. 1. B. 1 9,2. C. 3. D. 1 . 3 3
Câu 5. Công thức nào cho ta quan hệ tỉ lệ nghịch giữa x và y ? A. x x y 25 .
B. x y 9. C. 15 .
D. x y 2. y
Câu 6. Biết đại lượng y tỉ lệ nghịch với đại lượng x theo hệ số tỉ lệ a và khi x 6
thì y 5, hệ số a là A. 6 . B. 5 . C. 30. D. 1 . 5 6 30
Câu 7. Cho biết đại lượng x và y tỉ lệ nghịch với nhau khi x 4 thì y 20. Giá trị
của y khi x 8 là A. 40. B. 10. C. 40. D. 10.
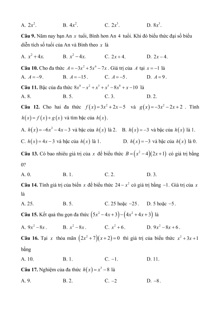
Câu 8. Biểu thức đại số biểu thị thể tích của hình lập phương có độ dài cạnh 2x cm là A. 2 2x . B. 2 4x . C. 3 2x . D. 3 8x .
Câu 9. Năm nay bạn An x tuổi, Bình hơn An 4 tuổi. Khi đó biểu thức đại số biểu
diễn tích số tuổi của An và Bình theo x là A. 2 x 4 .x B. 2 x 4 .x C. 2x 4. D. 2x 4. Câu 10. Cho đa thức 2 6
A 3x 5x 7x . Giá trị của A tại x 1 là A. A 9 . B. A 15. C. A 5 . D. A 9.
Câu 11. Bậc của đa thức 8 2 3 5 8
8x x x x 8x x 10 là A. 8. B. 5. C. 3. D. 2.
Câu 12. Cho hai đa thức f x 2
3x 2x 5 và gx 2 3
x 2x 2 . Tính
hx f x g x và tìm bậc của hx. A. hx 2 6
x 4x 3 và bậc của hx là 2. B. hx 3 và bậc của hx là 1.
C. hx 4x 3 và bậc của hx là 1.
D. hx 3 và bậc của hx là 0.
Câu 13. Có bao nhiêu giá trị của x để biểu thức B 2
x 42x 1 có giá trị bằng 0? A. 0. B. 1. C. 2. D. 3.
Câu 14. Tính giá trị của biến x để biểu thức 2
24 x có giá trị bằng 1. Giá trị của x là A. 25. B. 5. C. 25 hoặc 25. D. 5 hoặc 5.
Câu 15. Kết quả thu gọn đa thức 2
x x 2 5 4 3
4x 4x 3 là A. 2 9x 8x . B. 2 x 8x . C. 2 x 6. D. 2
9x 8x 6 .
Câu 16. Tại x thỏa mãn 2
2x 7x 2 0 thì giá trị của biểu thức 2 x 3x 1 bằng A. 10. B. 1. C. 1. D. 11.
Câu 17. Nghiệm của đa thức hx 3 x 8 là A. 9. B. 2. C. 2 D. 8.
Câu 18. Kết quả sắp xếp đa thức 2 3 5
3x x 2x 3x 6 theo lũy thừa giảm của biến là A. 3 2 5
x 3x 2x 3x 6 . B. 5 2 3
2x 3x x 3x 6 . C. 5 3 2
2x 3x x 3x 6 . D. 5 3 2
2x x 3x 3x 6 .
Câu 19. Nếu x a là nghiệm của đa thức f x thì
A. f a 0.
B. f a 0.
C. f a 0.
D. f a 0 .
Câu 20. Chọn ngẫu nhiên một số trong tập hợp M 1;2;3;4;5;6;7; 8 . Biến cố nào
sau đây là biến cố ngẫu nhiên?
A. “Số được chọn là số chẵn”.
B. “Số được chọn là số chia hết cho 10”.
C. “Số được chọn là số có một chữ số”. D. “Số được chọn là số tự nhiên”.
Câu 21. Bạn An lấy ngẫu nhiên một viên bi trong một túi đựng 3 viên bi màu xanh
và 3 viên bi màu đỏ có cùng khối lượng và kích thước. Biến cố nào sau đây là biến cố chắc chắn?
A. “An lấy được viên bi màu đỏ”.
B. “An lấy được viên bi màu trắng”.
C. “An lấy được viên bi màu đen”.
D. “An lấy được viên bi màu xanh hoặc viên bi màu đỏ”.
Câu 22. Một hộp bút màu có các cây bút màu: màu xanh, màu vàng, màu đỏ, màu
đen, màu hồng, màu cam. Hỏi nếu rút bất kỳ một cây bút màu thì có thể xảy ra mấy kết quả? A. 3. B. 4. C. 5. D. 6.
Câu 23. Gieo ngẫu nhiên xúc xắc một lần. Xét biến cố “Mặt xuất hiện có số chấm là
số nguyên tố”. Những kết quả thuận lợi cho biến cố trên là A. 1; 2; 3. B. 2; 3; 5. C. 2; 4; 6 . D. 1; 3; 5 .
Câu 24. Chọn ngẫu nhiên 1 số trong 4 số sau: 7; 8; 26;101. Xác suất của biến cố "số
chọn được là số chia hết cho 5" là A. 0. B. 1. C. 2. D. 4.
Đề cương ôn tập Cuối kì 2 Toán 7 Chân trời sáng tạo Cấu trúc mới
2 K
1 K lượt tải
80.000 ₫
MUA NGAY ĐỂ XEM TOÀN BỘ TÀI LIỆU
CÁCH MUA:
- B1: Gửi phí vào TK:
1053587071
- NGUYEN VAN DOAN - Ngân hàng Vietcombank (QR) - B2: Nhắn tin tới Zalo VietJack Official ( nhấn vào đây ) để xác nhận thanh toán và tải tài liệu - giáo án
Liên hệ ngay Hotline hỗ trợ: 084 283 45 85
Chúng tôi đảm bảo đủ số lượng đề đã cam kết hoặc có thể nhiều hơn, tất cả có BẢN WORD, LỜI GIẢI CHI TIẾT và tải về dễ dàng.
Để tải tài liệu gốc về máy bạn click vào nút Tải Xuống ở trên!
- Tailieugiaovien.com.vn giới thiệu bộ đề cương Cuối kì 2 Cấu trúc mới Toán 7 Chân trời sáng tạo mới nhất nhằm giúp Giáo viên có thêm tài liệu tham khảo ra đề thi Toán 7.
- File word có lời giải chi tiết 100%.
- Mua trọn bộ sẽ tiết kiệm hơn tải lẻ 50%.
Đánh giá
4.6 / 5(2047 )5
4
3
2
1

Trọng Bình
Tài liệu hay
Giúp ích cho tôi rất nhiều

Duy Trần
Tài liệu chuẩn
Rất thích tài liệu bên VJ soạn (bám sát chương trình dạy)