ĐỀ CƯƠNG ÔN TẬP CUÔI HỌC KÌ II
BỘ SÁCH: CHÂN TRƠI SÁNG TAO MÔN TOÁN – LỚP 9
PHẦN I. TÓM TẮT NỘI DUNG KIẾN THỨC A. Đai sô Chương 6. Ham sô 2
y = ax a 0 va phương trình bậc hai môt ẩn
– Ham sô va đô thi cua ham sô 2
y ax a 0
– Phương trình bậc hai môt ẩn – Đinh li Viete B. Thông kê va xac suât
Chương 7. Môt sô yêu tô thông kê
– Bang tân sô va biêu đô tân sô
– Bang tân sô tương đôi va biêu đô tân sô tương đôi
– Biêu diên sô liêu ghep nhom
Chương 8. Môt sô yêu tô xac suât
– Không gian mâu va biên cô – Xac suât cua biên cô. C. Hình học
Chương 9. Tư giac nôi tiêp. Đa giac đêu
– Đương tron ngoai tiêp tam giac. Đương tron nôi tiêp tam giac – Tư giac nôi tiêp
– Đa giac đêu va phep quay
Chương 10. Cac hình khôi trong thưc tiên – Hình tru – Hình non – Hình câu
PHẦN II. MỘT SÔ CÂU HỎI, BÀI TẬP THAM KHẢO A. Bai tập trắc nghiệm
1. Câu trắc nghiệm nhiêu phương an lưa chọn
Khoanh tròn chữ cái đứng trước câu trả lời đúng duy nhất
Câu 1. Đô thi cua ham sô 2
y ax a 0 la môt đương cong nằm phia trên truc hoanh nêu A. a 2 . B. a 0 . C. a 1. D. a 0 .
Câu 2. Biêt đô thi ham sô 2
y ax a 0 đi qua điêm M 2; 2 . Gia tri cua hê sô a la A. 1. B. 1 . C. 1 . D. 2 . 2 2
Câu 3. Trong mặt phẳng tọa đô Oxy, biêt điêm co hoanh đô bằng 1 la môt điêm chung cua parabol 2
y 2x va đương thẳng y m
1 x 2, với m la tham sô. Khi đo gia tri cua m la A. m 1. B. m 5. C. m 2. D. m 3.
Câu 4. Cho hai phương trình sau đây: 2
x x 2 6
8 0 1 ; x 2x 3 0 2. Khẳng đinh nao sau đây đúng? A. Phương trình
1 co nghiêm kep, phương trình 2 vô nghiêm. B. Phương trình
1 vô nghiêm, phương trình 2 co nghiêm kep.
C. Ca hai phương trình
1 , 2 đêu co nghiêm bằng 0.
D. Ca hai phương trình
1 , 2 đêu co hai nghiêm phân biêt.
Câu 5. Đê phương trình 2
x 2x m 0 co hai nghiêm x ; x thỏa mãn 3x 2x 1 thì gia tri m 1 2 1 2 la bao nhiêu? A. m 35. B. m 35. C. 3 m . D. 3 m . 5 5
Câu 6. Môt phong họp co 360 ghê ngôi được xêp thanh từng dãy va sô ghê cua từng dãy đêu như
nhau. Nêu tăng sô dãy thêm 1 va sô ghê cua mỗi dãy tăng thêm 1 thì trong phong co 400 ghê. Nêu
gọi sô dãy ghê la x (dãy) với *
x . Biêt sô dãy ghê it hơn, lập phương trình cua bai toan la A. x 360 1 1 400 . B. x 360 1 1 400 . x x C. x 360 1 1 400 . D. x 360 1 1 400 . x x
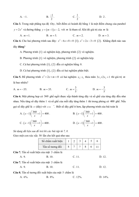
Sử dụng dữ liệu sau để trả lời các bài tập từ 7, 8.
Gieo môt con xúc xắc 50 lân cho kêt qua như sau: Sô châm xuât hiên 1 2 3 4 5 6 Tân sô tương đôi 8 7 ? 8 6 11
Câu 7. Tân sô xuât hiên cua mặt 3 châm la A. 9. B. 10. C. 11. D. 12.
Câu 7. Tân sô xuât hiên cua mặt 3 châm la A. 9. B. 10. C. 11. D. 12.
Câu 8. Tân sô tương đôi xuât hiên cua mặt 5 châm la A. 6%. B. 8%. C. 12%. D. 14%.
Câu 9. Biêu đô đoan thẳng dưới đây biêu diên sô lượng ve ban được với cac mưc gia khac nhau cua môt buổi hoa nhac:
Cac ve ban được cua buổi hoa nhac nhận cac mưc gia 150 nghìn, 200 nghìn, 500 nghìn, 1 triêu thì
tân sô tương ưng cua cac mưc gia đo la A. 550; 450; 200; 100. B. 550; 450; 100; 200. C. 100; 200; 450; 550. D. 200; 100; 450; 550.
Câu 10. Đo đô dai (đơn vi: cm) cua 40 la dương xỉ trưởng thanh ta co bang tân sô ghep nhom như sau: Chiêu cao cm 1 0; 20 20; 30 30; 40 40; 50 Sô la 5 12 13 10
Khi đo, tỉ lê la co chiêu dai từ 20 cm đên dưới 30 cm la A. 42,5% . B. 62,5% . C. 32,5% . D. 30%.
Câu 11. Ban Minh gieo môt con xúc xắc cân đôi va đông chât môt sô lân va ghi lai tân sô, tân sô
tương đôi sô lân xuât hiên cua mỗi mặt trong bang sau: Mặt
1 châm 2 châm 3 châm 4 châm 5 châm 6 châm Tổng Tân sô 6 1 10 12 3 8 n 40 Tân sô tương đôi (%) 15 2,5 25 30 7 20 100
Trong bang sô liêu trên co môt sô liêu không chinh xac. Khẳng đinh nao sau đây la đúng?
A. Gia tri mặt 2 châm sai tân sô tương đôi, sửa lai: 2%.
B. Gia tri mặt 5 châm sai tân sô tương đôi, sửa lai: 7,5%.
C. Gia tri mặt 6 châm sai tân sô tương đôi, sửa lai: 20,5%.
D. Gia tri mặt 4 châm sai tân sô tương đôi, sửa lai: 30,5%.
Câu 12. Thơi gian hoan thanh môt bai kiêm tra trực tuyên cua môt sô học sinh (đơn vi: phút) được
biêu diên ở biêu đô sau:
Đa sô học sinh hoan thanh bai kiêm tra trực tuyên trong khoang thơi gian nao?
A. Từ 10 đên dưới 12 phút.
B. Từ 12 đên dưới 14 phút.
C. Từ 14 đên dưới 16 phút.
D. Từ 16 đên dưới 18 phút.
Câu 13. Sô tiên (đơn vi: triêu đông) chi tiêu cho tiên học phi trong môt thang cua 20 hô gia đình
được thông kê ở biêu đô sau:
Sô tiên chi tiêu cho tiên học phi trong môt thang từ 1 đên dưới 2 triêu đông chiêm bao nhiêu phân trăm? A. 26%. B. 15%. C. 35,7%. D. 23,3%.
Câu 14. Môt hôp chưa 1 qua bong mau đỏ, 1 qua bong mau trắng va 1 qua bong mau xanh. Lây
ngâu nhiên môt qua bong trong hôp, ghi lai mau cua qua bong, sau đo lây tiêp môt qua bong trong
hôp rôi lai ghi lai mau qua bong. Không gian mâu cua phep thử co bao nhiêu phân tử? A. 3 phân tử. B. 6 phân tử. C. 9 phân tử. D. 12 phân tử.
Đề cương ôn tập Cuối kì 2 Toán 9 Chân trời sáng tạo
1.5 K
745 lượt tải
80.000 ₫
MUA NGAY ĐỂ XEM TOÀN BỘ TÀI LIỆU
CÁCH MUA:
- B1: Gửi phí vào TK:
1053587071
- NGUYEN VAN DOAN - Ngân hàng Vietcombank (QR) - B2: Nhắn tin tới Zalo VietJack Official ( nhấn vào đây ) để xác nhận thanh toán và tải tài liệu - giáo án
Liên hệ ngay Hotline hỗ trợ: 084 283 45 85
Chúng tôi đảm bảo đủ số lượng đề đã cam kết hoặc có thể nhiều hơn, tất cả có BẢN WORD, LỜI GIẢI CHI TIẾT và tải về dễ dàng.
Để tải tài liệu gốc về máy bạn click vào nút Tải Xuống ở trên!
- Tailieugiaovien.com.vn giới thiệu bộ Đề cương ôn tập Toán 9 Cuối kì 2 theo cấu trúc trắc nghiệm mới gồm trắc nghiệm 4 lựa chọn, Đúng / Sai và trả lời ngắn Chân trời sáng tạo mới nhất nhằm giúp Giáo viên có thêm tài liệu tham khảo ra đề thi Toán 9.
- File word có lời giải chi tiết 100%.
- Mua trọn bộ sẽ tiết kiệm hơn tải lẻ 50%.
Đánh giá
4.6 / 5(1490 )5
4
3
2
1

Trọng Bình
Tài liệu hay
Giúp ích cho tôi rất nhiều

Duy Trần
Tài liệu chuẩn
Rất thích tài liệu bên VJ soạn (bám sát chương trình dạy)