ĐỀ KIỂM TRA CUỐI KÌ 1 ỦY BAN NHÂN DÂN QUẬN 1
NĂM HỌC: 2022 – 2023
PHÒNG GIÁO DỤC VÀ ĐÀO TẠO
MÔN: TOÁN – KHỐI 7 ĐỀ CHÍNH THỨC Ngày kiểm tra: 21/12/2022 (gồm 02 trang)
Thời gian: 90 phút (không kể thời gian giao đề)
Câu 1. (1,0 điểm) a) Trong hai số và số nào lớn hơn?
b) Tìm số đối của số thực sau: .
Câu 2. (1,5 điểm) Viết các biểu thức sau dưới dạng lũy thừa của một số hữu tỉ: a) ; b) ; c) .
Câu 3. (2,0 điểm) Thực hiện phép tính (tính hợp lí nếu có thể): a) ; b) ; c) .
Câu 4. (1,0 điểm) Tìm , biết: a) ; b) .
Câu 5. (1,0 điểm) Một hộp phấn không bụi có dạng hình
hộp chữ nhật có chiều cao
và các kích thước mặt
đáy và
. Hỏi 100 viên phấn trong hộp chiếm bao nhiêu phần trăm thể
tích hộp (kết quả làm tròn đến hàng mười)?
Biết thể tích của một viên phấn là .
Câu 6. (0,75 điểm) Nhà trường vận động mỗi bạn tặng một món quà cho các bạn học
sinh vùng lũ lụt. Biểu đồ sau đây biểu diễn tỉ lệ học sinh lớp 7A tặng các món quà khác
nhau. Lớp 7A có 40 học sinh. Tính số học sinh tặng từng loại món quà.
Câu 7. (0,5 điểm) Từ tháng 11 đến cuối năm 2022, trên địa bàn TPHCM diễn ra chuỗi
hoạt động khuyến mãi nối tiếp nhau, tạo ra những “ngày hội mua sắm”. Bác An đã mua
ba món hàng ở một siêu thị nhân dịp khuyến mãi này. Món hàng thứ nhất giá niêm yết
đồng và được giảm giá
; Món hàng thứ hai giá niêm yết đồng và được giảm giá
; Món hàng thứ ba giảm giá
so với giá niêm yết. Tổng số tiền
bác An phải thanh toán là
đồng. Hỏi món hàng thứ ba có giá niêm yết bao nhiêu tiền?
Câu 8. (2,25 điểm) Cho hình vẽ , biết và . a) Giải thích tại sao . b) Tính số đo góc và góc .
c) Vẽ tia phân giác của góc , tia cắt đường thẳng tại . Tính số đo góc . -----HẾT-----
HƯỚNG DẪN GIẢI:
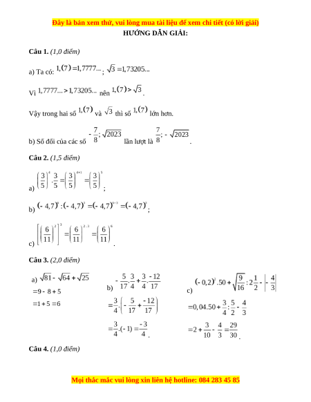
Câu 1. (1,0 điểm) a) Ta có: ; Vì nên . Vậy trong hai số và thì số lớn hơn.
b) Số đối của các số lần lượt là .
Câu 2. (1,5 điểm) a) ; b) ; c) .
Câu 3. (2,0 điểm) a) b) c) . .
Câu 4. (1,0 điểm)
Đề thi cuối kì 1 Toán 7 Chân trời sáng tạo Quận 1 - TPHCM
795
398 lượt tải
MUA NGAY ĐỂ XEM TOÀN BỘ TÀI LIỆU
CÁCH MUA:
- B1: Gửi phí vào TK:
1053587071
- NGUYEN VAN DOAN - Ngân hàng Vietcombank (QR) - B2: Nhắn tin tới Zalo VietJack Official ( nhấn vào đây ) để xác nhận thanh toán và tải tài liệu - giáo án
Liên hệ ngay Hotline hỗ trợ: 084 283 45 85
Đề thi được cập nhật liên tục trong gói này từ nay đến hết tháng 6/2023. Chúng tôi đảm bảo đủ số lượng đề đã cam kết hoặc có thể nhiều hơn, tất cả có BẢN WORD, LỜI GIẢI CHI TIẾT và tải về dễ dàng.
Để tải tài liệu gốc về máy bạn click vào nút Tải Xuống ở trên!
Thuộc bộ (mua theo bộ để tiết kiệm hơn):
- Tailieugiaovien.com.vn giới thiệu bộ đề cuối kì 1 môn Toán 7 bộ Chân trời sáng tạo mới nhất năm 2023 nhằm giúp Giáo viên có thêm tài liệu tham khảo ra đề thi Toán lớp 7.
- File word có lời giải chi tiết 100%.
- Mua trọn bộ sẽ tiết kiệm hơn tải lẻ 50%.
Đánh giá
4.6 / 5(795 )5
4
3
2
1

Trọng Bình
Tài liệu hay
Giúp ích cho tôi rất nhiều

Duy Trần
Tài liệu chuẩn
Rất thích tài liệu bên VJ soạn (bám sát chương trình dạy)
TÀI LIỆU BỘ BÁN CHẠY MÔN Toán Học
Xem thêmTÀI LIỆU BỘ BÁN CHẠY Lớp 7
Xem thêmTài liệu bộ mới nhất

Đây là bản xem thử, vui lòng mua tài liệu để xem chi tiết (có lời giải)
ỦY BAN NHÂN DÂN QUẬN 1
PHÒNG GIÁO DỤC VÀ ĐÀO TẠO
ĐỀ CHÍNH THỨC
(gồm 02 trang)
ĐỀ KIỂM TRA CUỐI KÌ 1
NĂM HỌC: 2022 – 2023
MÔN: TOÁN – KHỐI 7
Ngày kiểm tra: 21/12/2022
Thời gian: 90 phút (không kể thời gian giao đề)
Câu 1. (1,0 điểm)
a) Trong hai số và số nào lớn hơn?
b) Tìm số đối của số thực sau: .
Câu 2. (1,5 điểm) Viết các biểu thức sau dưới dạng lũy thừa của một số hữu tỉ:
a) ; b) ; c) .
Câu 3. (2,0 điểm) Thực hiện phép tính (tính hợp lí nếu có thể):
a) ;
b) ;
c) .
Câu 4. (1,0 điểm) Tìm , biết:
a) ; b) .
Câu 5. (1,0 điểm) Một hộp phấn không bụi có dạng hình
hộp chữ nhật có chiều cao và các kích thước mặt
Mọi thắc mắc vui lòng xin liên hệ hotline: 084 283 45 85

Đây là bản xem thử, vui lòng mua tài liệu để xem chi tiết (có lời giải)
đáy và . Hỏi 100 viên phấn trong hộp chiếm bao nhiêu phần trăm thể
tích hộp (kết quả làm tròn đến hàng mười)?
Biết thể tích của một viên phấn là .
Câu 6. (0,75 điểm) Nhà trường vận động mỗi bạn tặng một món quà cho các bạn học
sinh vùng lũ lụt. Biểu đồ sau đây biểu diễn tỉ lệ học sinh lớp 7A tặng các món quà khác
nhau. Lớp 7A có 40 học sinh. Tính số học sinh tặng từng loại món quà.
Câu 7. (0,5 điểm) Từ tháng 11 đến cuối năm 2022, trên địa bàn TPHCM diễn ra chuỗi
hoạt động khuyến mãi nối tiếp nhau, tạo ra những “ngày hội mua sắm”. Bác An đã mua
ba món hàng ở một siêu thị nhân dịp khuyến mãi này. Món hàng thứ nhất giá niêm yết
đồng và được giảm giá ; Món hàng thứ hai giá niêm yết đồng và
được giảm giá ; Món hàng thứ ba giảm giá so với giá niêm yết. Tổng số tiền
bác An phải thanh toán là đồng. Hỏi món hàng thứ ba có giá niêm yết bao
nhiêu tiền?
Câu 8. (2,25 điểm) Cho hình vẽ , biết và .
a) Giải thích tại sao .
b) Tính số đo góc và góc .
Mọi thắc mắc vui lòng xin liên hệ hotline: 084 283 45 85

Đây là bản xem thử, vui lòng mua tài liệu để xem chi tiết (có lời giải)
c) Vẽ tia phân giác của góc , tia cắt đường thẳng tại .
Tính số đo góc .
-----HẾT-----
Mọi thắc mắc vui lòng xin liên hệ hotline: 084 283 45 85

Đây là bản xem thử, vui lòng mua tài liệu để xem chi tiết (có lời giải)
HƯỚNG DẪN GIẢI:
Câu 1. (1,0 điểm)
a) Ta có: ;
Vì nên .
Vậy trong hai số và thì số lớn hơn.
b) Số đối của các số lần lượt là .
Câu 2. (1,5 điểm)
a) ;
b) ;
c) .
Câu 3. (2,0 điểm)
a)
b)
.
c)
.
Câu 4. (1,0 điểm)
Mọi thắc mắc vui lòng xin liên hệ hotline: 084 283 45 85

Đây là bản xem thử, vui lòng mua tài liệu để xem chi tiết (có lời giải)
a)
Vậy .
b)
Vậy .
Câu 5. (1,0 điểm)
Thể tích hộp phấn dạng hình hộp chữ nhật là:
Thể tích 100 viên phấn là:
100 viên phấn trong hộp chiếm số phần trăm thể tích hộp là:
.
Vậy 100 viên phấn trong hộp chiếm thể tích hộp.
Câu 6. (0,75 điểm)
Số học sinh tặng đồ dùng học tập là:
(học sinh)
Mọi thắc mắc vui lòng xin liên hệ hotline: 084 283 45 85