Đây là bản xem thử, vui lòng mua tài liệu để xem chi tiết (có lời giải)
Bộ sách: Kết nối tri thức với cuộc sống – Toán 7
Đề kiểm tra giữa học kì I năm học 2022 – 2023 ĐỀ SỐ 04
KIỂM TRA GIỮA HỌC KÌ I
NĂM HỌC 2022 – 2023 MÔN: TOÁN – LỚP 7
Thời gian: 90 phút (không kể thời gian giao đề)
I. PHẦN TRẮC NGHIỆM KHÁCH QUAN (3,0 điểm)
Hãy khoanh tròn vào phương án đúng duy nhất trong mỗi câu dưới đây:
Câu 1. Số hữu tỉ là số viết được dưới dạng phân số với A. ; B. ; C. ; D. .
Câu 2. Trong các số sau đây, số nào biểu diễn số hữu tỉ ? A. ; B. ; C. ; D. .
Câu 3. Đối với biểu thức có chứa dấu ngoặc thì thứ tự thực hiện phép tính trên tập số hữu tỉ nào dưới đây là đúng? A. ; B. ; C. ; D. .
Câu 4. Điểm trên trục số biểu diễn số hữu tỉ
Mọi thắc mắc vui lòng xin liên hệ hotline: 084 283 45 85
Đây là bản xem thử, vui lòng mua tài liệu để xem chi tiết (có lời giải) A. ; B. ; C. ; D. .
Câu 5. Số nào sau đây không phải là số vô tỉ? A. ; B. ; C. ; D. .
Câu 6. Căn bậc hai số học của 121 là A. 11; B. 11 hoặc (−11); C. −11; D. 11 và (−11).
Câu 7. Trong các khẳng định sau, khẳng định nào là sai?
A. Giá trị tuyệt đối của một số thực là khoảng cách từ điểm 0 đến điểm trên trục số;
B. Giá trị tuyệt đối của một số thực là khoảng cách từ điểm 0 đến điểm trên trục số;
C. Giá trị tuyệt đối của một số thực là khoảng cách từ điểm
đến điểm trên trục số;
D. Giá trị tuyệt đối của một số thực là khoảng cách từ điểm đến điểm 0 trên trục số.
Câu 8. Sắp xếp các số thực sau theo thứ tự giảm dần? A. ; B. ; C. ; D. . Câu 9. Cho , tia là tia phân giác của . Khi đó, số đo là A. 55°; B. 110°; C. 60°; D. Một giá trị khác.
Câu 10. Hai góc kề bù có tổng số đo bằng bao nhiêu? A. 90°; B. 180°; C. 45°;
D. Không xác định được.
Mọi thắc mắc vui lòng xin liên hệ hotline: 084 283 45 85
Đây là bản xem thử, vui lòng mua tài liệu để xem chi tiết (có lời giải)
Câu 11. Cho hình vẽ biết , khi đó khẳng
định nào sau đây là đúng? A. ; B. ; C. ; D. .
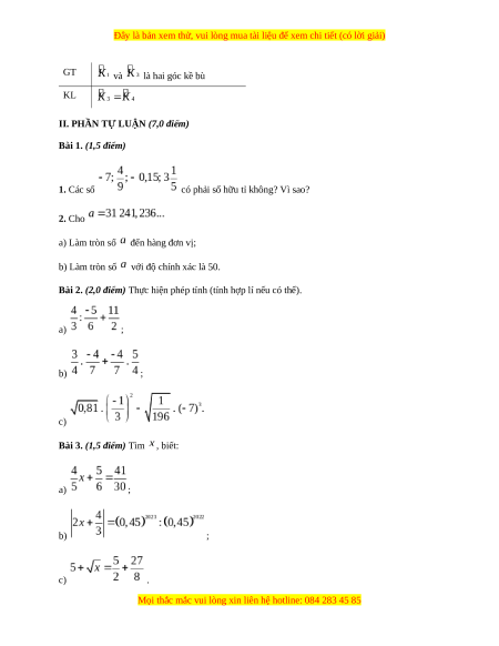
Câu 12. Cho định lí: “Hai góc đối đỉnh thì bằng nhau” và hình vẽ minh hoạ sau:
Viết giả thiết, kết luận cho định lí trên: A. GT và là hai góc đối đỉnh KL B. GT và là hai góc bù nhau KL C. GT và là hai góc đối đỉnh KL D.
Mọi thắc mắc vui lòng xin liên hệ hotline: 084 283 45 85
Đây là bản xem thử, vui lòng mua tài liệu để xem chi tiết (có lời giải) GT và là hai góc kề bù KL
II. PHẦN TỰ LUẬN (7,0 điểm)
Bài 1. (1,5 điểm) 1. Các số
có phải số hữu tỉ không? Vì sao? 2. Cho
a) Làm tròn số đến hàng đơn vị;
b) Làm tròn số với độ chính xác là 50.
Bài 2. (2,0 điểm) Thực hiện phép tính (tính hợp lí nếu có thể). a) ; b) ; c)
Bài 3. (1,5 điểm) Tìm , biết: a) ; b) ; c) .
Mọi thắc mắc vui lòng xin liên hệ hotline: 084 283 45 85
Đề thi giữa kì 1 Toán 7 Kết nối tri thức có đáp án (Đề 4)
0.9 K
473 lượt tải
MUA NGAY ĐỂ XEM TOÀN BỘ TÀI LIỆU
CÁCH MUA:
- B1: Gửi phí vào TK:
1053587071
- NGUYEN VAN DOAN - Ngân hàng Vietcombank (QR) - B2: Nhắn tin tới Zalo VietJack Official ( nhấn vào đây ) để xác nhận thanh toán và tải tài liệu - giáo án
Liên hệ ngay Hotline hỗ trợ: 084 283 45 85
Chúng tôi đảm bảo đủ số lượng đề đã cam kết hoặc có thể nhiều hơn, tất cả có BẢN WORD, LỜI GIẢI CHI TIẾT và tải về dễ dàng.
Để tải tài liệu gốc về máy bạn click vào nút Tải Xuống ở trên!
Thuộc bộ (mua theo bộ để tiết kiệm hơn):
- Tailieugiaovien.com.vn giới thiệu bộ đề giữa học kì 1 môn Toán 7 bộ Kết nối tri thức mới nhất nhằm giúp Giáo viên có thêm tài liệu tham khảo ra đề thi Toán lớp 7.
- File word có lời giải chi tiết 100%.
- Mua trọn bộ sẽ tiết kiệm hơn tải lẻ 50%.
Đánh giá
4.6 / 5(945 )5
4
3
2
1

Trọng Bình
Tài liệu hay
Giúp ích cho tôi rất nhiều

Duy Trần
Tài liệu chuẩn
Rất thích tài liệu bên VJ soạn (bám sát chương trình dạy)