ĐỀ KIỂM TRA GIỮA KÌ SỐ 10
I. Phần trắc nghiệm. (3 điểm)
Khoanh tròn vào chữ cái đặt trước câu trả lời đúng:
Câu 1. Số? (0,5 điểm) A. 73 B. 78 C. 76 D. 75
Câu 2. 89 có số liền sau là: (0,5 điểm) A. 88 B. 90 C. 87 D. 91
Câu 3. Hiệu của 63 và 32 là số liền trước của: (0,5 điểm) A. 94 B. 31 C. 32 D. 96
Câu 4. Tổng của hai số bằng 9. Nếu mỗi số hạng tăng thêm 3 đơn vị thì tổng mới bằng: (0,5 điểm) A. 12 B. 15 C. 3 D. 6
Câu 5. Phép tính thích hợp là: (0,5 điểm)
17 – 8 < ? ? ? < 6 + 7 A. 5 + 6 B. 8 + 5 C. 12 – 3 D. 7 + 7
Câu 6. Năm nay, anh An 12 tuổi và Bình 7 tuổi. Khi mẹ sinh ra Bình thì anh An mấy tuổi? (0,5 điểm) A. 8 tuổi B. 6 tuổi C. 7 tuổi D. 5 tuổi
II. Phần tự luận. (7 điểm)
Bài 1. Số? (1 điểm)
Bài 2. Tính: (1 điểm)
9 + 6 = ….. 8 + 4 = ….. 11 – 9 = ….. 11 – 7 = ….
Bài 3. Số? (1 điểm) 16 – 8 = 17 – …... 13 = ….. – 7 + 8
Bài 4. >; <; =? (1 điểm)
15 dm – 7 dm ….. 96 cm – 16 cm 9 + 9 ….. 69 – 41
Bài 5. Mai có trồng một cái cây. Lúc mới trồng, cây chỉ cao 75 cm, thấp hơn Mai 12 cm.
a. Hỏi lúc trồng cây, Mai cao bao nhiêu xăng-ti-mét? (2 điểm) Bài giải
………………………………………………………………………………………….
………………………………………………………………………………………….
………………………………………………………………………………………….
b. Hiện tại, cây đã cao thêm 1 dm. Mai cũng cao hơn so với trước 12 cm. Hỏi hiện tại,
Mai cao hơn hay thấp hơn cây bao nhiêu xăng-ti-mét? (1 điểm)
Trả lời: Hiện tại, Mai ………………………….cây …… cm.
ĐÁP ÁN VÀ HƯỚNG DẪN GIẢI
I. Phần trắc nghiệm. (3 điểm) Câu 1 Câu 2 Câu 3 Câu 4 Câu 5 Câu 6 C B C B A D Câu 1. Đáp án đúng là: C
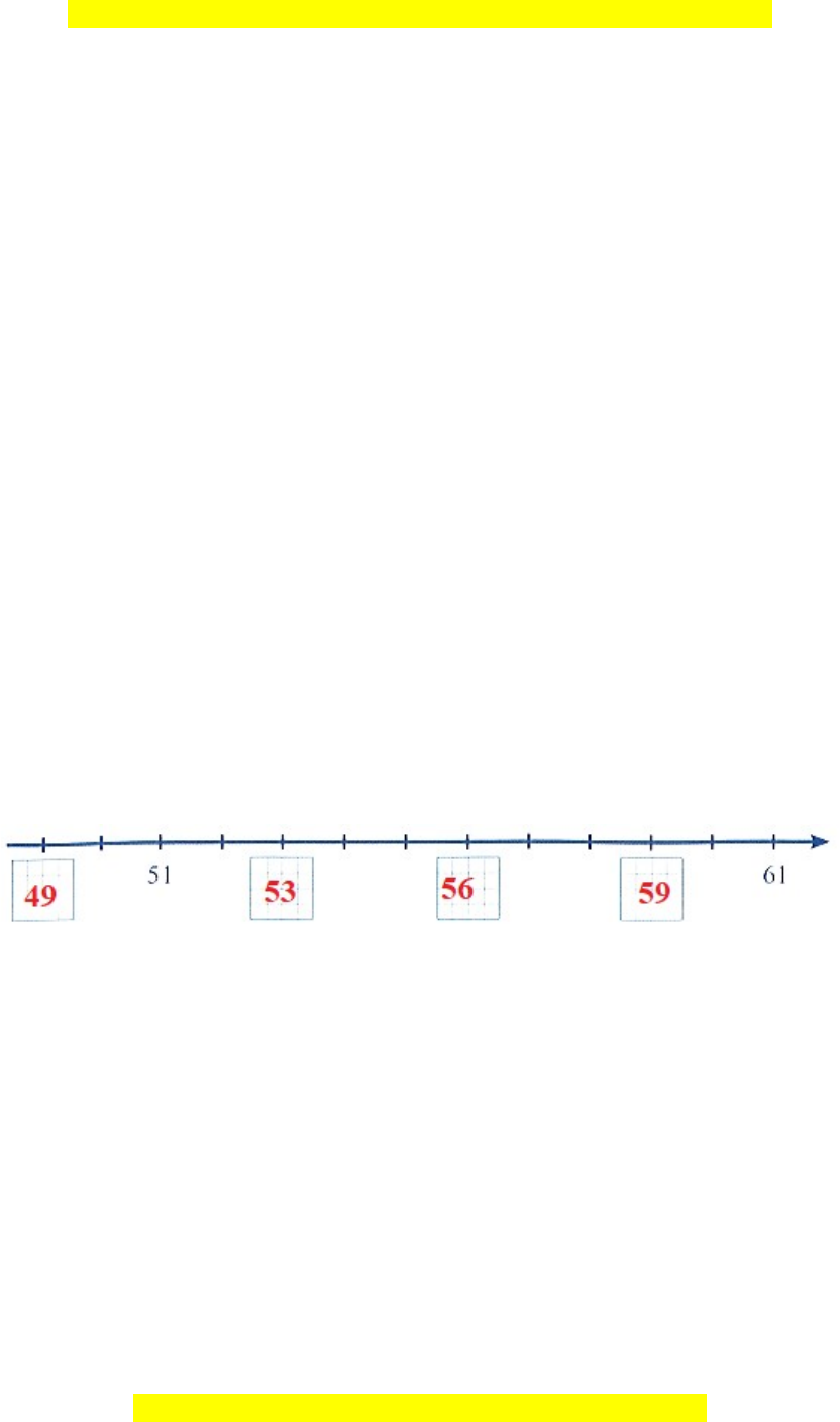
Trên tia số có các vạch số cách nhau 1 đơn vị.
Số cần tìm đứng sau số 72 và cách số 72 4 đơn vị.
Vậy số cần tìm là: 72 + 4 = 76. Câu 2. Đáp án đúng là: B
Muốn tìm số liền sau của một số, ta lấy số đó cộng thêm 1 đơn vị.
Vậy 89 có số liền sau là: 89 + 1 = 90. Câu 3. Đáp án đúng là: C 63 – 32 = 31.
Ta tìm số liền sau của 31.
Muốn tìm số liền sau của một số, ta lấy số đó cộng thêm 1 đơn vị.
Số liền sau của 31 là: 31 + 1 = 32.
Vậy hiệu của 63 và 32 là số liền trước của: 32. Câu 4. Đáp án đúng là: B
Một số hạng tăng 3 đơn vị. Vậy 2 số hạng tăng: 3 × 2 = 6 đơn vị
Vậy tổng mới là: 9 + 6 = 15 Câu 5. Đáp án đúng là: A
17 – 8 < ? ? ? < 6 + 7 17 – 8 = 9 6 + 7 = 13 Vậy: 9 < ? ? ? < 13 5 + 6 = 11 8 + 5 = 13 12 – 3 = 9 7 + 7 = 14
Vậy phép tính thích hợp là: 5 + 6 Câu 6. Đáp án đúng là: D
Khi mẹ sinh ra Bình thì tuổi của anh An là: 12 – 7 = 5 (tuổi)
II. Phần tự luận. (7 điểm) Bài 1. Bài 2. 9 + 6 = 15 8 + 4 = 12 11 – 9 = 2 11 – 7 = 4 Bài 3. 16 – 8 = 17 – 9 13 = 12 – 7 + 8 Bài 4.
15 dm – 7 dm = 96 cm – 16 cm 9 + 9 < 69 – 41 Giải thích:
15 dm – 7 dm ….. 96 cm – 16 cm
Đề thi giữa kì 1 Toán lớp 2 Cánh diều - Đề 10
759
380 lượt tải
MUA NGAY ĐỂ XEM TOÀN BỘ TÀI LIỆU
CÁCH MUA:
- B1: Gửi phí vào TK:
1133836868- CT TNHH DAU TU VA DV GD VIETJACK - Ngân hàng MB (QR) - B2: Nhắn tin tới Zalo VietJack Official ( nhấn vào đây ) để xác nhận thanh toán và tải tài liệu - giáo án
Liên hệ ngay Hotline hỗ trợ: 084 283 45 85
Chúng tôi đảm bảo đủ số lượng đề đã cam kết hoặc có thể nhiều hơn, tất cả có BẢN WORD, LỜI GIẢI CHI TIẾT và tải về dễ dàng.
Để tải tài liệu gốc về máy bạn click vào nút Tải Xuống ở trên!
Thuộc bộ (mua theo bộ để tiết kiệm hơn):
- Tailieugiaovien.com.vn giới thiệu bộ đề thi giữa kì 1 Toán 2 Cánh diều mới nhất nhằm giúp Giáo viên có thêm tài liệu tham khảo ra đề thi Toán lớp 2.
Số đề hiện tại: 10 đề
- File word có lời giải chi tiết 100%.
- Mua trọn bộ sẽ tiết kiệm hơn tải lẻ 50%.
Đánh giá
4.6 / 5(759 )5
4
3
2
1
Trọng Bình
Tài liệu hay
Giúp ích cho tôi rất nhiều
Duy Trần
Tài liệu chuẩn
Rất thích tài liệu bên VJ soạn (bám sát chương trình dạy)
TÀI LIỆU BỘ BÁN CHẠY MÔN Toán Học
Xem thêmTÀI LIỆU BỘ BÁN CHẠY Lớp 2
Xem thêmTài liệu bộ mới nhất

Đây là bản xem thử, vui lòng mua tài liệu để xem chi tiết (có lời giải)
ĐỀ KIỂM TRA GIỮA KÌ SỐ 10
I. Phần trắc nghiệm. (3 điểm)
Khoanh tròn vào chữ cái đặt trước câu trả lời đúng:
Câu 1. Số? (0,5 điểm)
A. 73 B. 78 C. 76 D. 75
Câu 2. 89 có số liền sau là: (0,5 điểm)
A. 88 B. 90 C. 87 D. 91
Câu 3. Hiệu của 63 và 32 là số liền trước của: (0,5 điểm)
A. 94 B. 31 C. 32 D. 96
Câu 4. Tổng của hai số bằng 9. Nếu mỗi số hạng tăng thêm 3 đơn vị thì tổng mới bằng:
(0,5 điểm)
A. 12 B. 15 C. 3 D. 6
Câu 5. Phép tính thích hợp là: (0,5 điểm)
17 – 8 < ? ? ? < 6 + 7
A. 5 + 6 B. 8 + 5 C. 12 – 3 D. 7 + 7
Câu 6. Năm nay, anh An 12 tuổi và Bình 7 tuổi. Khi mẹ sinh ra Bình thì anh An mấy
tuổi? (0,5 điểm)
A. 8 tuổi B. 6 tuổi C. 7 tuổi D. 5 tuổi
II. Phần tự luận. (7 điểm)
Bài 1. Số? (1 điểm)
Bài 2. Tính: (1 điểm)
Mọi thắc mắc vui lòng xin liên hệ hotline: 084 283 45 85

Đây là bản xem thử, vui lòng mua tài liệu để xem chi tiết (có lời giải)
9 + 6 = ….. 8 + 4 = ….. 11 – 9 = ….. 11 – 7 = ….
Bài 3. Số? (1 điểm)
16 – 8 = 17 – …... 13 = ….. – 7 + 8
Bài 4. >; <; =? (1 điểm)
15 dm – 7 dm ….. 96 cm – 16 cm 9 + 9 ….. 69 – 41
Bài 5. Mai có trồng một cái cây. Lúc mới trồng, cây chỉ cao 75 cm, thấp hơn Mai 12 cm.
a. Hỏi lúc trồng cây, Mai cao bao nhiêu xăng-ti-mét? (2 điểm)
Bài giải
………………………………………………………………………………………….
………………………………………………………………………………………….
………………………………………………………………………………………….
b. Hiện tại, cây đã cao thêm 1 dm. Mai cũng cao hơn so với trước 12 cm. Hỏi hiện tại,
Mai cao hơn hay thấp hơn cây bao nhiêu xăng-ti-mét? (1 điểm)
Trả lời: Hiện tại, Mai ………………………….cây …… cm.
Mọi thắc mắc vui lòng xin liên hệ hotline: 084 283 45 85

Đây là bản xem thử, vui lòng mua tài liệu để xem chi tiết (có lời giải)
ĐÁP ÁN VÀ HƯỚNG DẪN GIẢI
I. Phần trắc nghiệm. (3 điểm)
Câu 1 Câu 2 Câu 3 Câu 4 Câu 5 Câu 6
C B C B A D
Câu 1.
Đáp án đúng là: C
Trên tia số có các vạch số cách nhau 1 đơn vị.
Số cần tìm đứng sau số 72 và cách số 72 4 đơn vị.
Vậy số cần tìm là: 72 + 4 = 76.
Câu 2.
Đáp án đúng là: B
Muốn tìm số liền sau của một số, ta lấy số đó cộng thêm 1 đơn vị.
Vậy 89 có số liền sau là: 89 + 1 = 90.
Câu 3.
Đáp án đúng là: C
63 – 32 = 31.
Ta tìm số liền sau của 31.
Muốn tìm số liền sau của một số, ta lấy số đó cộng thêm 1 đơn vị.
Số liền sau của 31 là: 31 + 1 = 32.
Vậy hiệu của 63 và 32 là số liền trước của: 32.
Câu 4.
Đáp án đúng là: B
Một số hạng tăng 3 đơn vị. Vậy 2 số hạng tăng: 3 × 2 = 6 đơn vị
Vậy tổng mới là: 9 + 6 = 15
Câu 5.
Đáp án đúng là: A
Mọi thắc mắc vui lòng xin liên hệ hotline: 084 283 45 85

Đây là bản xem thử, vui lòng mua tài liệu để xem chi tiết (có lời giải)
17 – 8 < ? ? ? < 6 + 7
17 – 8 = 9
6 + 7 = 13
Vậy: 9 < ? ? ? < 13
5 + 6 = 11
8 + 5 = 13
12 – 3 = 9
7 + 7 = 14
Vậy phép tính thích hợp là: 5 + 6
Câu 6.
Đáp án đúng là: D
Khi mẹ sinh ra Bình thì tuổi của anh An là:
12 – 7 = 5 (tuổi)
II. Phần tự luận. (7 điểm)
Bài 1.
Bài 2.
9 + 6 = 15 8 + 4 = 12 11 – 9 = 2 11 – 7 = 4
Bài 3.
16 – 8 = 17 – 9 13 = 12 – 7 + 8
Bài 4.
15 dm – 7 dm = 96 cm – 16 cm 9 + 9 < 69 – 41
Giải thích:
15 dm – 7 dm ….. 96 cm – 16 cm
Mọi thắc mắc vui lòng xin liên hệ hotline: 084 283 45 85

Đây là bản xem thử, vui lòng mua tài liệu để xem chi tiết (có lời giải)
Ta có:
15 dm – 7 dm = 8 dm
96 cm – 16 cm = 80 cm = 8 dm
So sánh: 8 dm = 8 dm nên 15 dm – 7 dm = 96 cm – 16 cm.
9 + 9 ….. 69 – 41
Ta có:
9 + 9 = 18
69 – 41 = 28
So sánh: 18 < 28 nên 9 + 9 < 69 – 41
Bài 5.
a.
Bài giải
Lúc trồng cây, Mai cao số xăng-ti-mét là:
75 cm + 12 cm = 87 (cm)
Đáp số: 87 (cm)
b.
Trả lời: Hiện tại, Mai cao hơn cây 14 cm.
Đổi: 1 dm = 10 cm
Hiện tại cây cao là:
75 + 10 = 85 (cm)
Hiện tại Mai cao là:
87 + 12 = 99 (cm)
So sánh: 85 < 99.
Vậy Mai cao hơn cây là:
99 – 85 = 14 (cm)
Mọi thắc mắc vui lòng xin liên hệ hotline: 084 283 45 85
