ĐỀ KIỂM TRA GIỮA KÌ SỐ 3
I. Phần trắc nghiệm. (3 điểm)
Khoanh tròn vào chữ cái đặt trước câu trả lời đúng:
Câu 1. Số liền sau của 87 là: (0,5 điểm) A. 88 B. 86 C. 89 D. 85
Câu 2. Trong phép tính: 46 + 13 = 59, 46 + 13 được gọi là: (0,5 điểm) A. Số hạng B. Hiệu C. Số bị trừ D. Tổng
Câu 3. Số bị trừ hơn số trừ 10 đơn vị. Vậy hiệu bằng: (0,5 điểm) A. 11 B. 20 C. 10 D. 1
Câu 4. Tổng hoặc hiệu nhỏ nhất là: (0,5 điểm) A. 12 + 74 B. 99 – 23 C. 53 + 16 D. 88 – 11
Câu 5. Phép tính thích hợp là: (0,5 điểm) ? ? ? = 5 + 9 – 7 A. 12 – 6 B. 11 – 4 C. 15 – 9 D. 5 + 6
Câu 6. Tổng của hai số bằng 9. Nếu giữ nguyên số hạng thứ nhất và số hạng thứ
hai tăng thêm 7 đơn vị thì tổng mới bằng: (0,5 điểm) A. 2 B. 10 C. 12 D. 16
II. Phần tự luận. (7 điểm)
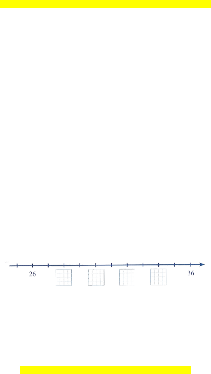
Bài 1. Số? (1 điểm)
Bài 2. Số? (1 điểm) 7 + 9 = ….. 5 + ….. = 13 16 – 8 = ….. 11 – ….. = 6
Bài 3. Tính: (1 điểm) 8 + 7 – 9 = ….. 11 – 2 + 6 = …..
Bài 4. >; <; =? (1 điểm) 8 + 9 ….. 79 – 64
13 dm – 4 dm ….. 54 cm + 40 cm
Bài 5. An và Hoa cùng nhau nhặt vỏ chai nhựa trên bãi biển. An nhặt được 40 vỏ
chai. An nhặt được nhiều hơn Hoa 10 vỏ chai.
a. Hỏi Hoa nhặt được bao nhiêu vỏ chai nhựa? (2 điểm) Bài giải
……………………………………………………………………………………… ….
……………………………………………………………………………………… ….
……………………………………………………………………………………… ….
b. An và Hoa muốn mang tất cả số vỏ chai nhựa nhặt được đổi lấy cây hoa. Cứ 50
vỏ chai sẽ đổi được 1 cây hoa. Hỏi An và Hoa nhặt thêm bao nhiêu vỏ chai nữa để
có thể đổi được 2 cây hoa? (1 điểm)
Trả lời: An và Hoa cần nhặt thêm …. vỏ chai nữa để có thể đổi được 2 cây hoa.
ĐÁP ÁN VÀ HƯỚNG DẪN GIẢI
I. Phần trắc nghiệm. (3 điểm) Câu 1 Câu 2 Câu 3 Câu 4 Câu 5 Câu 6 A D C C B D Câu 1. Đáp án đúng là: A
Muốn tìm số liền sau của một số, ta lấy số đó cộng thêm 1 đơn vị.
Vậy số liền sau của 87 là: 87 + 1 = 88. Câu 2. Đáp án đúng là: D Phép tính: 46 + 13 = 59 có: 46: số hạng 13: số hạng 46 + 13: tổng Câu 3. Đáp án đúng là: C
Số bị trừ hơn số trừ 10 đơn vị. Vậy hiệu bằng: 10 Câu 4. Đáp án đúng là: C Ta có: 12 + 74 = 95 99 – 23 = 76 53 + 16 = 69 88 – 11 = 77
So sánh các kết quả: 69 < 76 < 77 < 95.
Vậy tổng hoặc hiệu nhỏ nhất là: 53 + 16.
Câu 5. Đáp án đúng là: B ? ? ? = 5 + 9 – 7
Ta có: 5 + 9 – 7 = 14 – 7 = 7 Vậy: ? ? ? = 7. Ta có: 12 – 6 = 6 11 – 4 = 7 15 – 9 = 6 5 + 6 = 11
Vậy phép tính thích hợp là: 11 – 4. Câu 6. Đáp án đúng là: D Tổng mới bằng: 9 + 7 = 16
II. Phần tự luận. (7 điểm) Bài 1. Bài 2. 7 + 9 = 16 5 + 8 = 13 16 – 8 = 8 11 – 5 = 6 Bài 3. 8 + 7 – 9 = 6 11 – 2 + 6 = 15 Giải thích: 8 + 7 – 9 = …..
Đề thi giữa kì 1 Toán lớp 2 Cánh diều - Đề 3
370
185 lượt tải
MUA NGAY ĐỂ XEM TOÀN BỘ TÀI LIỆU
CÁCH MUA:
- B1: Gửi phí vào TK:
1133836868- CT TNHH DAU TU VA DV GD VIETJACK - Ngân hàng MB (QR) - B2: Nhắn tin tới Zalo VietJack Official ( nhấn vào đây ) để xác nhận thanh toán và tải tài liệu - giáo án
Liên hệ ngay Hotline hỗ trợ: 084 283 45 85
Chúng tôi đảm bảo đủ số lượng đề đã cam kết hoặc có thể nhiều hơn, tất cả có BẢN WORD, LỜI GIẢI CHI TIẾT và tải về dễ dàng.
Để tải tài liệu gốc về máy bạn click vào nút Tải Xuống ở trên!
Thuộc bộ (mua theo bộ để tiết kiệm hơn):
- Tailieugiaovien.com.vn giới thiệu bộ đề thi giữa kì 1 Toán 2 Cánh diều mới nhất nhằm giúp Giáo viên có thêm tài liệu tham khảo ra đề thi Toán lớp 2.
Số đề hiện tại: 10 đề
- File word có lời giải chi tiết 100%.
- Mua trọn bộ sẽ tiết kiệm hơn tải lẻ 50%.
Đánh giá
4.6 / 5(370 )5
4
3
2
1
Trọng Bình
Tài liệu hay
Giúp ích cho tôi rất nhiều
Duy Trần
Tài liệu chuẩn
Rất thích tài liệu bên VJ soạn (bám sát chương trình dạy)
TÀI LIỆU BỘ BÁN CHẠY MÔN Toán Học
Xem thêmTÀI LIỆU BỘ BÁN CHẠY Lớp 2
Xem thêmTài liệu bộ mới nhất

Đây là bản xem thử, vui lòng mua tài liệu để xem chi tiết (có lời giải)
ĐỀ KIỂM TRA GIỮA KÌ SỐ 3
I. Phần trắc nghiệm. (3 điểm)
Khoanh tròn vào chữ cái đặt trước câu trả lời đúng:
Câu 1. Số liền sau của 87 là: (0,5 điểm)
A. 88 B. 86 C. 89 D. 85
Câu 2. Trong phép tính: 46 + 13 = 59, 46 + 13 được gọi là: (0,5 điểm)
A. Số hạng B. Hiệu C. Số bị trừ D. Tổng
Câu 3. Số bị trừ hơn số trừ 10 đơn vị. Vậy hiệu bằng: (0,5 điểm)
A. 11 B. 20 C. 10 D. 1
Câu 4. Tổng hoặc hiệu nhỏ nhất là: (0,5 điểm)
A. 12 + 74 B. 99 – 23 C. 53 + 16 D. 88 – 11
Câu 5. Phép tính thích hợp là: (0,5 điểm)
? ? ? = 5 + 9 – 7
A. 12 – 6 B. 11 – 4 C. 15 – 9 D. 5 + 6
Câu 6. Tổng của hai số bằng 9. Nếu giữ nguyên số hạng thứ nhất và số hạng thứ
hai tăng thêm 7 đơn vị thì tổng mới bằng: (0,5 điểm)
A. 2 B. 10 C. 12 D. 16
II. Phần tự luận. (7 điểm)
Bài 1. Số? (1 điểm)
Bài 2. Số? (1 điểm)
7 + 9 = ….. 5 + ….. = 13 16 – 8 = ….. 11 – ….. = 6
Bài 3. Tính: (1 điểm)
8 + 7 – 9 = ….. 11 – 2 + 6 = …..
Mọi thắc mắc vui lòng xin liên hệ hotline: 084 283 45 85

Đây là bản xem thử, vui lòng mua tài liệu để xem chi tiết (có lời giải)
Bài 4. >; <; =? (1 điểm)
8 + 9 ….. 79 – 64 13 dm – 4 dm ….. 54 cm + 40 cm
Bài 5. An và Hoa cùng nhau nhặt vỏ chai nhựa trên bãi biển. An nhặt được 40 vỏ
chai. An nhặt được nhiều hơn Hoa 10 vỏ chai.
a. Hỏi Hoa nhặt được bao nhiêu vỏ chai nhựa? (2 điểm)
Bài giải
………………………………………………………………………………………
….
………………………………………………………………………………………
….
………………………………………………………………………………………
….
b. An và Hoa muốn mang tất cả số vỏ chai nhựa nhặt được đổi lấy cây hoa. Cứ 50
vỏ chai sẽ đổi được 1 cây hoa. Hỏi An và Hoa nhặt thêm bao nhiêu vỏ chai nữa để
có thể đổi được 2 cây hoa? (1 điểm)
Trả lời: An và Hoa cần nhặt thêm …. vỏ chai nữa để có thể đổi được 2 cây hoa.
Mọi thắc mắc vui lòng xin liên hệ hotline: 084 283 45 85

Đây là bản xem thử, vui lòng mua tài liệu để xem chi tiết (có lời giải)
ĐÁP ÁN VÀ HƯỚNG DẪN GIẢI
I. Phần trắc nghiệm. (3 điểm)
Câu 1 Câu 2 Câu 3 Câu 4 Câu 5 Câu 6
A D C C B D
Câu 1.
Đáp án đúng là: A
Muốn tìm số liền sau của một số, ta lấy số đó cộng thêm 1 đơn vị.
Vậy số liền sau của 87 là: 87 + 1 = 88.
Câu 2.
Đáp án đúng là: D
Phép tính: 46 + 13 = 59 có:
46: số hạng
13: số hạng
46 + 13: tổng
Câu 3.
Đáp án đúng là: C
Số bị trừ hơn số trừ 10 đơn vị. Vậy hiệu bằng: 10
Câu 4.
Đáp án đúng là: C
Ta có:
12 + 74 = 95
99 – 23 = 76
53 + 16 = 69
88 – 11 = 77
So sánh các kết quả: 69 < 76 < 77 < 95.
Vậy tổng hoặc hiệu nhỏ nhất là: 53 + 16.
Mọi thắc mắc vui lòng xin liên hệ hotline: 084 283 45 85

Đây là bản xem thử, vui lòng mua tài liệu để xem chi tiết (có lời giải)
Câu 5.
Đáp án đúng là: B
? ? ? = 5 + 9 – 7
Ta có: 5 + 9 – 7 = 14 – 7 = 7
Vậy: ? ? ? = 7.
Ta có:
12 – 6 = 6
11 – 4 = 7
15 – 9 = 6
5 + 6 = 11
Vậy phép tính thích hợp là: 11 – 4.
Câu 6.
Đáp án đúng là: D
Tổng mới bằng:
9 + 7 = 16
II. Phần tự luận. (7 điểm)
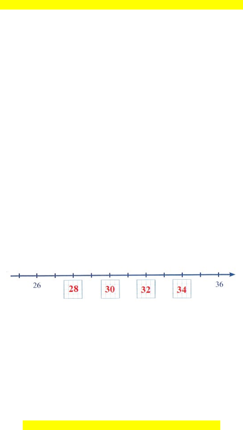
Bài 1.
Bài 2.
7 + 9 = 16 5 + 8 = 13 16 – 8 = 8 11 – 5 = 6
Bài 3.
8 + 7 – 9 = 6 11 – 2 + 6 = 15
Giải thích:
8 + 7 – 9 = …..
Mọi thắc mắc vui lòng xin liên hệ hotline: 084 283 45 85

Đây là bản xem thử, vui lòng mua tài liệu để xem chi tiết (có lời giải)
Ta có: 8 + 7 – 9 = 15 – 9 = 6
11 – 2 + 6 = …..
Ta có: 11 – 2 + 6 = 9 + 6 = 15
Bài 4.
8 + 9 > 79 – 64 13 dm – 4 dm < 54 cm + 40 cm
Giải thích:
8 + 9 ….. 79 – 64
Ta có:
8 + 9 = 17
79 – 64 = 15
So sánh: 17 > 15 nên 8 + 9 > 79 – 64
13 dm – 4 dm ….. 54 cm + 40 cm
Ta có:
13 dm – 4 dm = 9 dm = 90 cm
54 cm + 40 cm = 94 cm
So sánh: 90 cm < 94 cm nên 13 dm – 4 dm < 54 cm + 40 cm.
Bài 5.
a.
Bài giải
Hoa nhặt được số vỏ chai nhựa là:
40 – 10 = 30 (vỏ chai)
Đáp số: 30 (vỏ chai)
b.
Trả lời: An và Hoa cần nhặt thêm 30 vỏ chai nữa để có thể đổi được 2 cây hoa.
Giải thích:
Để đổi được 2 cây hoa cần số vỏ chai là:
Mọi thắc mắc vui lòng xin liên hệ hotline: 084 283 45 85
