ĐỀ KIỂM TRA GIỮA KÌ SỐ 8
I. Phần trắc nghiệm. (3 điểm)
Khoanh tròn vào chữ cái đặt trước câu trả lời đúng:
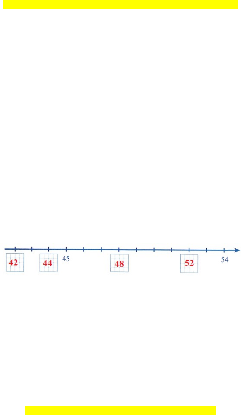
Câu 1. Số? (0,5 điểm) A. 62 B. 65 C. 68 D. 67
Câu 2. 69 là số liền trước của: (0,5 điểm) A. 70 B. 68 C. 71 D. 67
Câu 3. 9 là hiệu của: (0,5 điểm) A. 15 và 8 B. 12 và 7 C. 14 và 8 D. 18 và 9
Câu 4. Số? (0,5 điểm)
7 + 7 < ? – 7 + 6 < 16 A. 14 B. 13 C. 16 D. 15
Câu 5. Tổng của 24 và số liền sau của 54 là: (0,5 điểm) A. 30 B. 31 C. 78 D. 79
Câu 6. Hoa có 8 cái bút chì. Hôm qua, mẹ mua cho Hoa thêm 7 cái nữa. Biết Mai
bị mất hết bút chì, Hoa cho Mai 6 cái. Hoa còn lại số bít chì là: (0,5 điểm) A. 15 cái bút chì B. 9 cái bút chì C. 11 cái bút chì D. 13 cái bút chì
II. Phần tự luận. (7 điểm)
Bài 1. Số? (1 điểm)
Bài 2. Tính: (1 điểm)
8 + 7 = ….. 2 + 9 = ….. 18 – 9 = ….. 12 – 4 = …..
Bài 3. Tính: (1 điểm) 6 + 7 – 4 = ….. 15 – 9 + 5 = …..
Bài 4. Số? (1 điểm)
a. Số liền sau của số nhỏ nhất có một chữ số là: …..
b. Số liền trước của số lớn nhất có hai chữ số là: ….. c. 6 dm = ….. cm ….. cm = 3 dm.
Bài 5. >; <; =? (1 điểm)
16 dm – 7 dm ….. 95 cm – 5 cm 17 – 8 ….. 13 – 5
Bài 6. Hoa cao 86 cm. Hoa thấp hơn An 3 cm. Hỏi chiều cao của An là bao nhiêu
xăng-ti-mét? (2 điểm) Bài giải
……………………………………………………………………………………… ….
……………………………………………………………………………………… ….
……………………………………………………………………………………… ….
ĐÁP ÁN VÀ HƯỚNG DẪN GIẢI
I. Phần trắc nghiệm. (3 điểm) Câu 1 Câu 2 Câu 3 Câu 4 Câu 5 Câu 6 B A D C D B Câu 1. Đáp án đúng là: B
Trên tia số có các vạch số cách nhau 1 đơn vị.
Số cần tìm đứng sau 62 và cách 62 là: 3 đơn vị
Vậy số cần điền là: 62 + 3 = 65 Câu 2. Đáp án đúng là: A
Ta tìm số liền sau của 69.
Muốn tìm số liền sau của một số, ta lấy số đó cộng thêm 1 đơn vị.
Số liền sau của 69 là: 69 + 1 = 70
Vậy 69 là số liền trước của: 70. Câu 3. Đáp án đúng là: D 15 – 8 = 7 12 – 7 = 5 14 – 8 = 6 18 – 9 = 9
Vậy 9 là hiệu của: 18 và 9 Câu 4. Đáp án đúng là: C
7 + 7 < ? – 7 + 6 < 16 Ta có: 7 + 7 = 14
Vậy: 14 < ? – 7 + 6 < 16 Vậy: ? – 7 + 6 = 15 Số cần điền là: 16 Câu 5. Đáp án đúng là: D
Muốn tìm số liền sau của một số, ta lấy số đó cộng thêm 1 đơn vị.
Số liền sau của 54 là: 54 + 1 = 55
Vậy tổng của 24 và số liền sau của 54 là: 24 + 55 = 79 Câu 6. Đáp án đúng là: B
Hoa có tất cả số bút chì là: 8 + 7 = 15 (cái bút chì)
Hoa còn lại số bút chì là: 15 – 6 = 9 (cái bút chì)
II. Phần tự luận. (7 điểm) Bài 1. Bài 2. 8 + 7 = 15 2 + 9 = 11 18 – 9 = 9 12 – 4 = 8 Bài 3. 6 + 7 – 4 = 9 15 – 9 + 5 = 11 Giải thích: 6 + 7 – 4 = …..
Ta có: 6 + 7 – 4 = 13 – 4 = 9.
Đề thi giữa kì 1 Toán lớp 2 Cánh diều - Đề 8
374
187 lượt tải
MUA NGAY ĐỂ XEM TOÀN BỘ TÀI LIỆU
CÁCH MUA:
- B1: Gửi phí vào TK:
1133836868- CT TNHH DAU TU VA DV GD VIETJACK - Ngân hàng MB (QR) - B2: Nhắn tin tới Zalo VietJack Official ( nhấn vào đây ) để xác nhận thanh toán và tải tài liệu - giáo án
Liên hệ ngay Hotline hỗ trợ: 084 283 45 85
Chúng tôi đảm bảo đủ số lượng đề đã cam kết hoặc có thể nhiều hơn, tất cả có BẢN WORD, LỜI GIẢI CHI TIẾT và tải về dễ dàng.
Để tải tài liệu gốc về máy bạn click vào nút Tải Xuống ở trên!
Thuộc bộ (mua theo bộ để tiết kiệm hơn):
- Tailieugiaovien.com.vn giới thiệu bộ đề thi giữa kì 1 Toán 2 Cánh diều mới nhất nhằm giúp Giáo viên có thêm tài liệu tham khảo ra đề thi Toán lớp 2.
Số đề hiện tại: 10 đề
- File word có lời giải chi tiết 100%.
- Mua trọn bộ sẽ tiết kiệm hơn tải lẻ 50%.
Đánh giá
4.6 / 5(374 )5
4
3
2
1
Trọng Bình
Tài liệu hay
Giúp ích cho tôi rất nhiều
Duy Trần
Tài liệu chuẩn
Rất thích tài liệu bên VJ soạn (bám sát chương trình dạy)
TÀI LIỆU BỘ BÁN CHẠY MÔN Toán Học
Xem thêmTÀI LIỆU BỘ BÁN CHẠY Lớp 2
Xem thêmTài liệu bộ mới nhất

Đây là bản xem thử, vui lòng mua tài liệu để xem chi tiết (có lời giải)
ĐỀ KIỂM TRA GIỮA KÌ SỐ 8
I. Phần trắc nghiệm. (3 điểm)
Khoanh tròn vào chữ cái đặt trước câu trả lời đúng:
Câu 1. Số? (0,5 điểm)
A. 62 B. 65 C. 68 D. 67
Câu 2. 69 là số liền trước của: (0,5 điểm)
A. 70 B. 68 C. 71 D. 67
Câu 3. 9 là hiệu của: (0,5 điểm)
A. 15 và 8 B. 12 và 7 C. 14 và 8 D. 18 và 9
Câu 4. Số? (0,5 điểm)
7 + 7 < ? – 7 + 6 < 16
A. 14 B. 13 C. 16 D. 15
Câu 5. Tổng của 24 và số liền sau của 54 là: (0,5 điểm)
A. 30 B. 31 C. 78 D. 79
Câu 6. Hoa có 8 cái bút chì. Hôm qua, mẹ mua cho Hoa thêm 7 cái nữa. Biết Mai
bị mất hết bút chì, Hoa cho Mai 6 cái. Hoa còn lại số bít chì là: (0,5 điểm)
A. 15 cái bút chì B. 9 cái bút chì
C. 11 cái bút chì D. 13 cái bút chì
II. Phần tự luận. (7 điểm)
Bài 1. Số? (1 điểm)
Bài 2. Tính: (1 điểm)
Mọi thắc mắc vui lòng xin liên hệ hotline: 084 283 45 85

Đây là bản xem thử, vui lòng mua tài liệu để xem chi tiết (có lời giải)
8 + 7 = ….. 2 + 9 = ….. 18 – 9 = ….. 12 – 4 = …..
Bài 3. Tính: (1 điểm)
6 + 7 – 4 = ….. 15 – 9 + 5 = …..
Bài 4. Số? (1 điểm)
a. Số liền sau của số nhỏ nhất có một chữ số là: …..
b. Số liền trước của số lớn nhất có hai chữ số là: …..
c. 6 dm = ….. cm ….. cm = 3 dm.
Bài 5. >; <; =? (1 điểm)
16 dm – 7 dm ….. 95 cm – 5 cm 17 – 8 ….. 13 – 5
Bài 6. Hoa cao 86 cm. Hoa thấp hơn An 3 cm. Hỏi chiều cao của An là bao nhiêu
xăng-ti-mét? (2 điểm)
Bài giải
………………………………………………………………………………………
….
………………………………………………………………………………………
….
………………………………………………………………………………………
….
Mọi thắc mắc vui lòng xin liên hệ hotline: 084 283 45 85

Đây là bản xem thử, vui lòng mua tài liệu để xem chi tiết (có lời giải)
ĐÁP ÁN VÀ HƯỚNG DẪN GIẢI
I. Phần trắc nghiệm. (3 điểm)
Câu 1 Câu 2 Câu 3 Câu 4 Câu 5 Câu 6
B A D C D B
Câu 1.
Đáp án đúng là: B
Trên tia số có các vạch số cách nhau 1 đơn vị.
Số cần tìm đứng sau 62 và cách 62 là: 3 đơn vị
Vậy số cần điền là: 62 + 3 = 65
Câu 2.
Đáp án đúng là: A
Ta tìm số liền sau của 69.
Muốn tìm số liền sau của một số, ta lấy số đó cộng thêm 1 đơn vị.
Số liền sau của 69 là: 69 + 1 = 70
Vậy 69 là số liền trước của: 70.
Câu 3.
Đáp án đúng là: D
15 – 8 = 7
12 – 7 = 5
14 – 8 = 6
18 – 9 = 9
Vậy 9 là hiệu của: 18 và 9
Câu 4.
Đáp án đúng là: C
7 + 7 < ? – 7 + 6 < 16
Ta có: 7 + 7 = 14
Mọi thắc mắc vui lòng xin liên hệ hotline: 084 283 45 85

Đây là bản xem thử, vui lòng mua tài liệu để xem chi tiết (có lời giải)
Vậy: 14 < ? – 7 + 6 < 16
Vậy: ? – 7 + 6 = 15
Số cần điền là: 16
Câu 5.
Đáp án đúng là: D
Muốn tìm số liền sau của một số, ta lấy số đó cộng thêm 1 đơn vị.
Số liền sau của 54 là: 54 + 1 = 55
Vậy tổng của 24 và số liền sau của 54 là: 24 + 55 = 79
Câu 6.
Đáp án đúng là: B
Hoa có tất cả số bút chì là:
8 + 7 = 15 (cái bút chì)
Hoa còn lại số bút chì là:
15 – 6 = 9 (cái bút chì)
II. Phần tự luận. (7 điểm)
Bài 1.
Bài 2.
8 + 7 = 15 2 + 9 = 11 18 – 9 = 9 12 – 4 = 8
Bài 3.
6 + 7 – 4 = 9 15 – 9 + 5 = 11
Giải thích:
6 + 7 – 4 = …..
Ta có: 6 + 7 – 4 = 13 – 4 = 9.
Mọi thắc mắc vui lòng xin liên hệ hotline: 084 283 45 85

Đây là bản xem thử, vui lòng mua tài liệu để xem chi tiết (có lời giải)
15 – 9 + 5 = …..
Ta có: 15 – 9 + 5 = 6 + 5 = 11.
Bài 4.
a. Số liền sau của số nhỏ nhất có một chữ số là: 1.
b. Số liền trước của số lớn nhất có hai chữ số là: 98.
c. 6 dm = 60 cm 30 cm = 3 dm.
Giải thích:
a.
Số nhỏ nhất có một chữ số là: 0
Muốn tìm số liền sau của một số, ta lấy số đó cộng thêm 1 đơn vị.
Vậy số liền sau của 0 là: 0 + 1 = 1
b.
Số lớn nhất có hai chữ số là: 99
Muốn tìm số liền trước của một số, ta lấy số đó trừ đi 1 đơn vị.
Vậy số liền trước của 99 là: 99 – 1 = 98
Bài 5.
16 dm – 7 dm = 95 cm – 5 cm 17 – 8 > 13 – 5
Giải thích:
16 dm – 7 dm ….. 95 cm – 5 cm
Ta có:
16 dm – 7 dm = 9 dm
95 cm – 5 cm = 90 cm = 9 dm
So sánh: 9 dm = 9 dm nên 16 dm – 7 dm = 95 cm – 5 cm
17 – 8 ….. 13 – 5
Ta có:
17 – 8 = 9
Mọi thắc mắc vui lòng xin liên hệ hotline: 084 283 45 85
