THPT SỞ BẮC NINH - 1
KÌ THI THỬ TỐT NGHIỆP THPT NĂM 2024
(Đề thi có … trang) Môn thi: VẬT LÝ
Thời gian làm bài: … phút, không kể thời gian phát hành đề
Họ, tên thí sinh: ..................................................................... Mã đề thi:……
Số báo danh: ......................................................................... Câu 1:
Cho dòng điện có cường độ
qua một vật dẫn. Đại lượng I được gọi là
A. pha ban đầu của dòng điện.
B. cường độ dòng điện cực đại.
C. cường độ dòng điện hiệu dụng.
D. cường độ dòng điện tức thời. Câu 2:
Một vật dao động điều hòa theo phương trình . Đại lượng được gọi là A. pha dao động. B. pha ban đầu.
C. biên độ dao động. D. li độ dao động. Câu 3:
Hai âm có cùng độ cao thì chúng có cùng A. tần số âm.
B. đồ thị dao động âm. C. mức cường độ âm. D. cường độ âm. Câu 4:
Đặt điện áp xoay chiều
vào hai đầu một đoạn mạch thì dòng điện trong mạch là
. Công suất tiêu thụ điện của đoạn mạch được tính bằng công thức nào sau đây? A. . B. . C. . D. . Câu 5:
Đặc trưng sinh lí giúp ta phân biệt được âm do các nguồn khác nhau phát ra là A. độ cao của âm. B. âm sắc. C. độ to của âm. D. cường độ âm. Câu 6:
Một con lắc đơn gồm sợi dây có chiều dài và vật nhỏ có khối lượng dao động điều hòa tại
nơi có gia tốc trọng trường . Khi vật có li độ thì lực kéo về tác dụng vào con lắc là được
tính bằng công thức nào sau đây? A. . B. . C. . D. . Câu 7:
Đặt điện áp xoay chiều vào hai đầu đoạn mạch chỉ có tụ điện. So với điện áp ở hai đầu đoạn
mạch thì cường độ dòng điện trong đoạn mạch A. ngược pha. B. trễ pha . C. cùng pha. D. sớm pha . Câu 8:
Ở mặt nước, hai nguồn kết hợp đặt tại hai điểm và dao động cùng pha theo phương thẳng
đứng, phát ra hai sóng có bước sóng . Trên đoạn thẳng
, khoảng cách ngắn nhất giữa
hai điểm cực đại giao thoa là A. . B. . C. . D. . Câu 9:
Cho dòng điện xoay chiều có cường độ cực đại chạy qua điện trở thì công suất tỏa nhiệt trên là . Giá trị của là A. 4 A B. . C. A D. A
Câu 10: Một sóng cơ có tần số
truyền trong một môi trường với tốc độ . Sóng này có bước sóng là
A. . B. . C. . D. .
Câu 11: Thiết bị nào sau đây có khả năng biến đổi điện áp của dòng điện xoay chiều? A. Máy biến áp. B. Công tơ điện. C. Máy phát điện. D. Động cơ điện.
Câu 12: Một máy biến áp lí tưởng có tỉ số vòng dây ở cuộn thứ cấp và sơ cấp là . Đặt một điện
áp xoay chiều có giá trị hiệu dụng
vào hai đầu cuộn sơ cấp thì điện áp ở hai đầu cuộn thứ cấp để hở là A. . B. . C. . D. .
Câu 13: Cho một sợi dây đàn hồi với một đầu cố định và một đầu tự do. Để có sóng dừng trên sợi dây
thì chiều dài của sợi dây bằng
A. một nửa nguyên lần một phần tư bước sóng.
B. một số nguyên lần nửa bước sóng.
C. một số lẻ lần một phần tư bước sóng.
D. một số nửa nguyên lần một phần tám bước sóng.
Câu 14: Đặt điện áp xoay chiều vào hai đầu đoạn mạch gồm điện trở
, cuộn cảm thuần và tụ điện mắc
nối tiếp. Biết cuộn cảm thuần có cảm kháng
và tụ điện có dung kháng . Tổng trở của
đoạn mạch được tính bằng công thức nào sau đây? A. . B. . C. . D. .
Câu 15: Trong dao động điều hòa, so với li độ thì vận tốc luôn A. ngược pha. B. trễ pha . C. cùng pha. D. sớm pha .
Câu 16: Điện áp giữa hai cực một vôn kế xoay chiều là
. Số chỉ của vôn kế là A. . B. . C. . D. .
Câu 17: Cho một con lắc lò xo gồm lò xo có độ cứng
và vật có khối lượng . Tần số góc riêng của con lắc là A. . B. . C. . D. .
Câu 18: Trên một sợi dây đàn hồi dài
, hai đầu cố định đang có sóng dừng với 2 bụng sóng. Bước
sóng của sóng truyền trên dây là A. . B. . C. . D. .
Câu 19: Biết là cường độ âm chuẩn. Khi cường độ âm là thì mức cường độ âm là A. . B. . C. . D. .
Câu 20: Trong thí nghiệm giao thoa sóng trên mặt chất lỏng, hai nguồn kết hợp dao động cùng pha phát
ra hai sóng có bước sóng . Gọi
là một điểm trên mặt chất lỏng cách hai nguồn lần lượt là và . Tại
có cực tiểu giao thoa thì A. với . B. với .
C. với . D. với .
Câu 21: Đặt điện áp xoay chiều có tần số
vào hai đầu một tụ điện có điện dung . Dung kháng của tụ điện là A. . B. . C. . D. .
Câu 22: Đặt điện áp xoay chiều có tần số góc vào hai đầu cuộn cảm thuần có độ tự cảm . Cảm
kháng của cuộn cảm này là A. . B. . C. . D. .
Câu 23: Dao động có biên độ giảm dần theo thời gian được gọi là
A. dao động điều hòa.
B. dao động cưỡng bứcC. dao động duy trì.
D. dao động tắt dần.
Câu 24: Âm cơ bản của một nốt nhạc phát ra từ đàn ghi ta có tần số
. Họa âm thứ hai phát ra từ
đàn ghi ta này có tần số là A. . B. C. . D. .
Câu 25: Trong quá trình truyền tải điện năng từ nhà máy phát điện đi xa, để giảm công suất hao phí do
tỏa nhiệt trên đường dây thì biện pháp nào sau đây có hiệu quả rõ rệt?
A. Tăng điện trở của đường dây.
B. Tăng điện áp ở hai đầu đường dây khi bắt đầu truyền tải.
C. Giảm điện áp ở hai đầu đường dây khi bắt đầu truyền tải.
D. Giảm điện trở của đường dây.
Câu 26: Một sóng cơ lan truyền trong một môi trường. Hai điểm trên cùng một phương truyền sóng,
cách nhau một khoảng bằng một bước sóng thì dao động A. lệch pha . B. cùng pha. C. ngược pha. D. lệch pha .
Câu 27: Một đoạn mạch mắc nối tiếp gồm điện trở , tụ điện có điện dung và cuộn dây có độ tự
cảm . Đặt vào hai đầu đoạn mạch này điện áp xoay chiều có tần số góc thỏa mãn
. Độ lệch pha giữa cường độ dòng điện trong đoạn mạch và điện áp ở hai đầu đoạn mạch là A. . B. . C. . D. 0.
Câu 28: Cho hai dao động điều hòa cùng phương, cùng tần số có biên độ lần lượt là và .
Biết độ lệch pha của hai dao động là . Biên độ của dao động tổng hợp là A. . B. . C. . D. .
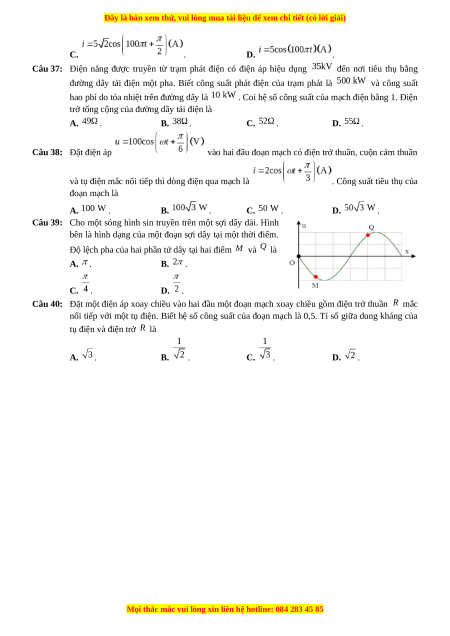
Câu 29: Đặt điện áp xoay chiều vào hai đầu đoạn mạch mắc
nối tiếp gồm điện trở và cuộn cảm thuần có độ tự cảm
. Hình bên là đồ thị biểu diễn sự
phụ thuộc của điện áp
giữa hai đầu cuộn cảm
vào thời gian . Điện áp đặt vào hai đầu mạch là
A. . B. . C. . D. .
Câu 30: Đặt điện áp xoay chiều có giá trị hiệu dụng và tần số
vào hai đầu đoạn mạch
mắc nối tiếp gồm điện trở
, cuộn cảm thuần có độ tự cảm và tụ điện có điện dung
. Cường độ dòng điện cực đại trong đoạn mạch là A. . B. . C. A D. A
Câu 31: Trong thí nghiệm giao thoa sóng ở mặt nước, hai nguồn kết hợp đặt tại hai điểm và dao
động cùng pha theo phương thẳng đứng phát ra hai sóng có tần số . Gọi là một điểm
cực tiểu giao thoa trên mặt nước cách lần lượt là và . Giữa và đường trung trực của
có một dãy cực đại khác. Tốc độ truyền sóng trên mặt nước là A. . B. . C. . D. .
Câu 32: Trên một sợi dây đàn hồi
có hai đầu cố định đang có sóng dừng. Biết tốc độ truyền sóng trên sợi dây là
. Khoảng thời gian giữa 6 lần liên tiếp sợi dây duỗi thẳng là .
Khoảng cách từ đến điểm bụng thứ 4 kể từ là A. . B. . C. . D. .
Câu 33: Đặt điện áp xoay chiều có giá trị hiệu dụng
vào hai đầu đoạn mạch mắc nối tiếp gồm
cuộn dây không thuần cảm và tụ điện có điện dung thay đổi được. Khi điện áp hiệu
dụng ở hai đầu cuộn dây đạt giá trị cực đại là
. Điện áp hiệu dụng ở hai đầu tụ điện khi đó là A. . B. . C. . D. .
Câu 34: Cho một con lắc lò xo treo thẳng đứng gồm một lò xo có độ cứng , đầu dưới gắn với vật có khối lượng
. Kéo vật dọc theo trục của lò xo xuống dưới vị trí cân bằng một đoạn
rồi truyền cho vật một vận tốc
hướng thẳng đứng lên trên. Chọn mốc thời gian
là lúc truyền vận tốc cho vật. Lấy
. Thời điểm vật đi qua vị trí mà lò xo dãn lần đầu tiên là A. . B. . C. . D. .
Câu 35: Một sóng âm truyền trong không khí. Mức cường độ âm tại hai điểm và lần lượt là và . Cường độ âm tại
lớn hơn cường độ âm tại bao nhiêu lần? A. 10 lần. B. 100 lần. C. 1000 lần. D. 20 lần.
Câu 36: Đặt điện áp xoay chiều
vào hai đầu một điện trở thuần thì công
suất tiêu thụ điện của là
. Cường độ dòng điện chạy qua là A. . B. .
Đề thi thử tốt nghiệp Vật lí Sở Bắc Ninh lần 1 năm 2024
422
211 lượt tải
MUA NGAY ĐỂ XEM TOÀN BỘ TÀI LIỆU
CÁCH MUA:
- B1: Gửi phí vào TK:
1053587071
- NGUYEN VAN DOAN - Ngân hàng Vietcombank (QR) - B2: Nhắn tin tới Zalo VietJack Official ( nhấn vào đây ) để xác nhận thanh toán và tải tài liệu - giáo án
Liên hệ ngay Hotline hỗ trợ: 084 283 45 85
Chúng tôi đảm bảo đủ số lượng đề đã cam kết hoặc có thể nhiều hơn, tất cả có BẢN WORD, LỜI GIẢI CHI TIẾT và tải về dễ dàng.
Để tải tài liệu gốc về máy bạn click vào nút Tải Xuống ở trên!
Thuộc bộ (mua theo bộ để tiết kiệm hơn):
- Bộ đề thi thử tốt nghiệp THPT Quốc gia môn Vật lí năm 2024 từ các Trường/sở trên cả nước.
- File word có lời giải chi tiết 100%.
- Mua trọn bộ sẽ tiết kiệm hơn tải lẻ 50%.
Đánh giá
4.6 / 5(422 )5
4
3
2
1

Trọng Bình
Tài liệu hay
Giúp ích cho tôi rất nhiều

Duy Trần
Tài liệu chuẩn
Rất thích tài liệu bên VJ soạn (bám sát chương trình dạy)