ệ xem ể chi ti t ế (có l i ờ gi i ả ) SỞ GIÁO D C Ụ VÀ ĐÀO T O Ạ KỲ THI TUY N Ể SINH L P Ớ 10 THPT T N Ỉ H BÀ R A Ị – VŨNG TÀU NĂM HỌC 2019-2020 MÔN THI: TOÁN Đ Ề THI CHÍNH TH C Ứ Th i
ờ gian làm bài: 120 phút Ngày thi: 13/06/2019 Bài 1.(3,5 đi m ể ) a) Gi i ả phư ng t ơ rình: 2 x 3x 2 0 x 3y 3 b) Gi i ả h ph ệ ư ng t ơ
rình: 4x 3y 18 2 28 A 2 c) Rút g n bi ọ u t ể h c ứ 3 7 2 2 2 2
x 2x x 1 13 0 d) Gi i ả phư ng t ơ rình: Bài 2. (1,5 đi m ể ) 2
Cho parabol (P) : y 2x và đư ng t ờ h ng
ẳ d : y x m (v i ớ m là tham s ) ố a) Vẽ parabol (P) b) Tìm t t ấ cả các giá tr c ị a t ủ ham s ố m đ đ ể ư ng ờ th ng ẳ d c t ắ P t i ạ hai đi m ể phân bi t ệ có hoành đ ộ x , x
x x x x 1 2 th a m ỏ ãn đi u ki ề n ệ 1 2 1 2 Bài 3.(1 đi m ể ) Có m t ộ v t ụ ai n n ạ ở v t ị rí B t i ạ chân c a m ủ t ộ ng n núi ọ (chân núi có d ng ạ đư ng t ờ
ròn tâm O, bán kính 3km).Và m t ộ tr m ạ c u h ứ ộ v ở ị trí A (tham kh o ả hình vẽ). Do ch a bi ư t ế đi đư ng ờ nào d đ ể n vi ế trí tai n n ạ nhanh h n nên ơ đ i ộ c u h ứ quy ộ t ế định di u hai ề xe c u ứ thư ng cùng xu ơ t ấ phát t ở r m ạ c u h ứ ộ đ n v ế t ị rí tai n n ạ theo hai cách sau: Xe th nh ứ t ấ : đi theo đư ng ờ th ng t ẳ ừ A đ n B ế , do đư ng x ờ u nên v ấ n ậ t c t ố rung bình c a ủ xe là 40km / h Xe th hai ứ : đi theo đư ng t ờ h ng ẳ t ừ A đ n ế C v i ớ v n ậ t c t
ố rung bình 60km / h , rồi đi t C ừ đ n B ế theo đư ng cung ờ nh C ỏ B chân núi ở v i ớ v n ậ t c
ố trung bình 30km / h (ba đi m ể A, O, C th ng hàng và ẳ C chân ở núi). Bi t ế đo n ạ đư ng ờ
AC dài 27kmvà 0 AOB 9 0 a) Tính đ dài ộ quãng đư ng ờ xe th nh ứ t ấ đi từ A đ n B ế b) N u ế hai xe c u t ứ hư ng xu ơ t ấ phát cùng lúc t i ạ A thì xe nào đ n v ế t ị rí tai n n t ạ rư c ớ M i
ọ thắc mắc vui lòng xin liên hệ hotline: 084 283 45 85
ệ xem ể chi ti t ế (có l i ờ gi i ả ) M i
ọ thắc mắc vui lòng xin liên hệ hotline: 084 283 45 85
ệ xem ể chi ti t ế (có l i ờ gi i ả ) Bài 4. (3,5 đi m ể ) Cho n a đ ử ư ng t ờ ròn tâm O đư ng kí ờ nh AB và đi m ể E tùy ý trên n a đ ử ư ng t ờ ròn đó (E khác A,B). L y đi ấ m ể H thu c ộ đo n
ạ EB (H khác E,B) . Tia AH c t ắ n a ử đư ng t ờ ròn t i ạ đi m ể th hai ứ
là F.Kéo dài tia AE và BF c t ắ nhau t i ạ I. Đư ng cao ờ IH c t ắ n a ử đư ng ờ tròn t i ạ P và c t ắ AB t i ạ K a) Ch ng ứ minh t gi ứ ác IEHF n i ộ ti p đ ế ược đư ng t ờ ròn b) Ch ng ứ min AIH ABE PK BK cos ABP c) Ch ng ứ minh PA PB d) G i ọ S là giao đi m ể c a t ủ ia BF và ti p t ế uy n ế t i ạ A c a n ủ a đ ử ư ng
ờ tròn O .Khi t gi ứ ác AHIS n i ộ ti p đ ế ược đư ng t ờ ròn. Ch ng
ứ minh EF EK Bài 5. (0,5 đi m ể ) Cho các số th c ự dư ng ơ x, y th a
ỏ mãn x y 3 . Tìm giá tr nh ị ỏ nh t ấ c a ủ bi u t ể h c: ứ 1 5 P . 5xy x 2y 5 M i
ọ thắc mắc vui lòng xin liên hệ hotline: 084 283 45 85
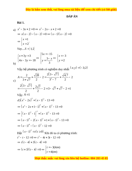
ệ xem ể chi ti t ế (có l i ờ gi i ả ) ĐÁP ÁN Bài 1. a) 2 2 x 3x 2 0
x 2x x 2 0
x x 2 x 2 0 x 1 x 2 0 x 1 . x 2 Va . y ...S 1; 2 5 x 15 x 3y 3 x 3 3 x
4x 3y 18 y y 2 b) 3 V y ậ h ph ệ ư ng t ơ rình có nghi m ệ duy nh t ấ ; x y 3;2 23 7 2 28 4.7 A 2 2 2 c) 3 7 2 3 7 2 23 7 2 7 2 3 7 7 2 1 2 2 V y ậ A 1
d) x 2x2 x 2 2 1 13 0
x 2x 1 2 1 x 2 2 1 13 0 2 x 2 1 1 x 2 1 13 0 x 4 1 2 x 2
1 1 x 2 1 13 0 x 4 1 x 2 1 12 0 2 Đ t ặ x 1 t t 0
.Khi đó ta có phư ng t ơ rình: 2 2 t t 12 0
t 4t 3t 12 0
t t 4 3 t 4 0
t 3(ktm)
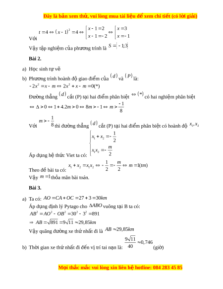
t 3 t 4 0 t 4 (tm) M i
ọ thắc mắc vui lòng xin liên hệ hotline: 084 283 45 85
Đề thi vào 10 môn Toán tỉnh Bà Rịa Vũng Tàu năm 2020
511
256 lượt tải
MUA NGAY ĐỂ XEM TOÀN BỘ TÀI LIỆU
CÁCH MUA:
- B1: Gửi phí vào TK:
1133836868- CT TNHH DAU TU VA DV GD VIETJACK - Ngân hàng MB (QR) - B2: Nhắn tin tới Zalo VietJack Official ( nhấn vào đây ) để xác nhận thanh toán và tải tài liệu - giáo án
Liên hệ ngay Hotline hỗ trợ: 084 283 45 85
Đề thi được cập nhật liên tục trong gói này từ nay đến hết tháng 6/2023. Chúng tôi đảm bảo đủ số lượng đề đã cam kết hoặc có thể nhiều hơn, tất cả có BẢN WORD, LỜI GIẢI CHI TIẾT và tải về dễ dàng.
Để tải tài liệu gốc về máy bạn click vào nút Tải Xuống ở trên!
Thuộc bộ (mua theo bộ để tiết kiệm hơn):
- Tailieugiaovien.com.vn giới thiệu bộ 63 đề thi vào 10 môn Toán hệ không chuyên năm 2020 nhằm giúp Giáo viên có thêm tài liệu tham khảo đề luyện thi Toán ôn luyện
- File word có lời giải chi tiết 100%.
- Mua trọn bộ sẽ tiết kiệm hơn tải lẻ 50%.
Đánh giá
4.6 / 5(511 )5
4
3
2
1
Trọng Bình
Tài liệu hay
Giúp ích cho tôi rất nhiều
Duy Trần
Tài liệu chuẩn
Rất thích tài liệu bên VJ soạn (bám sát chương trình dạy)
TÀI LIỆU BỘ BÁN CHẠY MÔN Toán Học
Xem thêmTÀI LIỆU BỘ BÁN CHẠY Ôn vào 10
Xem thêmTài liệu bộ mới nhất

Đây là b nả xem thử, vui lòng mua tài li u đ xem chi ti t (có l i gi i)ệ ể ế ờ ả
S GIÁO D C VÀ ĐÀO T OỞ Ụ Ạ
T NH BÀ R A – VŨNG TÀUỈ Ị
Đ THI CHÍNH TH C Ề Ứ
KỲ THI TUY N SINH L P 10 THPTỂ Ớ
NĂM H C 2019-2020Ọ
MÔN THI: TOÁN
Th i gian làm bài: 120 phútờ
Ngày thi: 13/06/2019
Bài 1.(3,5 đi m)ể
a) Gi i ph ng trình: ả ươ
2
3 2 0x x
b) Gi i h ph ng trình: ả ệ ươ
3 3
4 3 18
x y
x y
c) Rút g n bi u th c ọ ể ứ
2 28
2
2
3 7
A
d) Gi i ph ng trình: ả ươ
2
2
2
2 1 13 0x x x
Bài 2. (1,5 đi m)ể
Cho parabol
2
( ) : 2P y x
và đ ng th ng ườ ẳ
:d y x m
(v i m là tham s )ớ ố
a) V parabol (P)ẽ
b) Tìm t t c các giá tr c a tham s ấ ả ị ủ ố
m
đ đ ng th ng ể ườ ẳ
d
c t P t i hai đi m phân bi t ắ ạ ể ệ
có hoành đ ộ
1 2
,x x
th a mãn đi u ki n ỏ ề ệ
1 2 1 2
x x x x
Bài 3.(1 đi m) ể Có m t v tai n n v trí B t i chân c a m t ng n núi (chân núi có ộ ụ ạ ở ị ạ ủ ộ ọ
d ng đ ng tròn tâm O, bán kính ạ ườ
3 ).km
Và m t tr m c u h v trí A (tham kh o hình ộ ạ ứ ộ ở ị ả
v ). Do ch a bi t đi đ ng nào d đ n vi trí tai n n nhanh h n nên đ i c u h quy t ẽ ư ế ườ ể ế ạ ơ ộ ứ ộ ế
đ nh di u hai xe c u th ng cùng xu t phát tr m c u h đ n v trí tai n n theo hai ị ề ứ ươ ấ ở ạ ứ ộ ế ị ạ
cách sau:
Xe th nh t: ứ ấ đi theo đ ng th ng t ườ ẳ ừ
A
đ n B, do đ ng x u nên v n t c trung bình c aế ườ ấ ậ ố ủ
xe là
40 /km h
Xe th hai:ứ đi theo đ ng th ng t A đ n C v i v n t c trung bình ườ ẳ ừ ế ớ ậ ố
60 /km h
, r i đi t Cồ ừ
đ n B theo đ ng cung nh CB chân núi v i v n t c trung bình ế ườ ỏ ở ớ ậ ố
30 /km h
(ba đi m A, ể
O, C th ng hàng và C chân núi). Bi t đo n đ ng ẳ ở ế ạ ườ
AC
dài
27km
và
0
90AOB
a) Tính đ dài quãng đ ng xe th nh t đi t A đ n Bộ ườ ứ ấ ừ ế
b) N u hai xe c u th ng xu t phát cùng lúc t i A thì xe nào đ n v trí tai n n tr cế ứ ươ ấ ạ ế ị ạ ướ
M iọ th c m c vui lòng xin liên hắ ắ ệ hotline: 084 283 45 85

Đây là b nả xem thử, vui lòng mua tài li u đ xem chi ti t (có l i gi i)ệ ể ế ờ ả
M iọ th c m c vui lòng xin liên hắ ắ ệ hotline: 084 283 45 85

Đây là b nả xem thử, vui lòng mua tài li u đ xem chi ti t (có l i gi i)ệ ể ế ờ ả
Bài 4. (3,5 đi m)ể
Cho n a đ ng tròn tâm O đ ng kính ử ườ ườ
AB
và đi m E tùy ý trên n a đ ng tròn đó (E ể ử ườ
khác A,B). L y đi m ấ ể
H
thu c đo n ộ ạ
EB
(H khác
, )E B
. Tia AH c t n a đ ng tròn t i ắ ử ườ ạ
đi m th hai là ể ứ
.F
Kéo dài tia
AE
và
BF
c t nhau t i I. Đ ng cao ắ ạ ườ
IH
c t n a đ ng ắ ử ườ
tròn t i P và c t ạ ắ
AB
t i Kạ
a) Ch ng minh t giác ứ ứ
IEHF
n i ti p đ c đ ng trònộ ế ượ ườ
b) Ch ng min ứ
AIH ABE
c) Ch ng minh ứ
cos
PK BK
ABP
PA PB
d) G i S là giao đi m c a tia ọ ể ủ
BF
và ti p tuy n t i A c a n a đ ng tròn ế ế ạ ủ ử ườ
.O
Khi t giácứ
AHIS
n i ti p đ c đ ng tròn. Ch ng minh ộ ế ượ ườ ứ
EF EK
Bài 5. (0,5 đi m)ể
Cho các s th c d ng ố ự ươ
,x y
th a mãn ỏ
3.x y
Tìm giá tr nh nh t c a bi u th c:ị ỏ ấ ủ ể ứ
1 5
.
5 2 5
P
xy x y
M iọ th c m c vui lòng xin liên hắ ắ ệ hotline: 084 283 45 85

Đây là b nả xem thử, vui lòng mua tài li u đ xem chi ti t (có l i gi i)ệ ể ế ờ ả
ĐÁP ÁN
Bài 1.
a)
2 2
3 2 0 2 2 0x x x x x
2 2 0 1 2 0
1
.
2
.... 1;2
x x x x x
x
x
Vay S
b)
5 15
3 3 3
3
4 3 18 2
3
x
x y x
x
x y y
y
V y h ph ng trình có nghi m duy nh t ậ ệ ươ ệ ấ
; 3;2x y
c)
2
2 3 7
2 28 4.7
2 2
2 3 7 2
3 7
A
2 3 7
2 7
2 3 7 7 2 1
2 2
V y ậ
1A
2
2
2
2
2
2
2
2 2
4 2 2
4 2
) 2 1 13 0
2 1 1 1 13 0
1 1 1 13 0
1 2 1 1 1 13 0
1 1 12 0
d x x x
x x x
x x
x x x
x x
Đ t ặ
2
1 0 .x t t
Khi đó ta có ph ng trình:ươ
2 2
12 0 4 3 12 0
4 3 4 0
3( )
3 4 0
4( )
t t t t t
t t t
t ktm
t t
t tm
M iọ th c m c vui lòng xin liên hắ ắ ệ hotline: 084 283 45 85

Đây là b nả xem thử, vui lòng mua tài li u đ xem chi ti t (có l i gi i)ệ ể ế ờ ả
V i ớ
2
1 2 3
4 1 4
1 2 1
x x
t x
x x
V y t p nghi m c a ph ng trình là ậ ậ ệ ủ ươ
1;3S
Bài 2.
a) H c sinh t vọ ự ẽ
b) Ph ng trình hoành đ giao đi m c a ươ ộ ể ủ
d
và
P
là:
2 2
2 2 0(*)x x m x x m
Đ ng th ng ườ ẳ
d
c t (P) t i hai đi m phân bi t ắ ạ ể ệ
*
có hai nghi m phân bi tệ ệ
1
0 1 4.2 0 8 1
8
m m m
V i ớ
1
8
m
thì đ ng th ng ườ ẳ
d
c t (P) t i hai đi m phân bi t có hoành đ ắ ạ ể ệ ộ
1 2
,x x
Áp d ng h th c Viet ta có: ụ ệ ứ
1 2
1 2
1
2
2
x x
m
x x
Theo đ bài ta có: ề
1 2 1 2
1
1( )
2 2
m
x x x x m tm
V y ậ
1m
th a mãn bài toán.ỏ
Bài 3.
a) Ta có:
27 3 30AO CA OC km
Áp d ng đ nh lý Pytago cho ụ ị
ABO
vuông t i B ta có:ạ
2 2 2 2 2
30 3 891
891 9 11 29,85
AB AO OB
AB km
V y quãng đ ng xe th nh t đi là ậ ườ ứ ấ
29,85AB km
b) Th i gian xe th nh t đi đ n v trí tai n n là: ờ ứ ấ ế ị ạ
9 11
0,746
40
(gi )ờ
M iọ th c m c vui lòng xin liên hắ ắ ệ hotline: 084 283 45 85
