ệ xem ể chi ti t ế (có l i ờ gi i ả ) SỞ GIÁO D C Ụ VÀ ĐÀO T O Ạ KỲ THI TUY N Ể SINH VÀO L P Ớ 10 THPT BÌNH Đ N Ị H NĂM H C Ọ 2019-2020 Môn thi: TOÁN Đ c ề hính th c ứ Ngày thi: 06/6/2019 Th i
ờ gian làm bài: 120 phút Bài 1. (2,0 đ) 1. Gi i ả phư ng t ơ rình 3 x 1 5 x 2 2. Cho bi u t ể h c
ứ A x 2 x 1 x 2 x 1, v i ớ x 1 a) Tính giá tr c ị a ủ bi u ể th c ứ A khi x 5 b) Rút g n bi ọ u t ể h c
ứ A khi 1x 2 Bài 2. (2,0 đi m ể ) 2 1. Cho phư ng t ơ
rình : x m 1 x m 0. Tìm m đ ph ể ư ng t ơ rình có m t ộ nghiệm b ng 2. ằ Tính nghi m ệ còn l i ạ 2. Trong m t ặ ph ng t ẳ a ọ đ ộ Oxy cho ba đư ng ờ th ng ẳ d : y 2
x 1;d : y x; 1 2
d : y 3x 2. d / /d 3 Tìm hàm s có đ ố t ồ h l ị à đư ng ờ th ng ẳ 3 đồng th i ờ đi qua giao đi m ể c a ủ hai đư ng t ờ h ng ẳ d d 1 và 2 Bài 3. (1,5 đi m ể ) 2 Hai đ i
ộ công nhân cùng làm chung trong 4 gi t ờ hì hoàn thành đư c ợ 3 công việc. N u ế làm riêng thì th i
ờ gian hoàn thành công vi c ệ đ i ộ th hai ứ ít h n đ ơ i ộ th nh ứ t ấ là 5 gi . H ờ i ỏ n u l ế àm riêng thì th i
ờ gian hoàn thành công vi c c ệ a m ủ i ỗ đ i ộ là bao nhiêu Bài 4. (3,5 đi m ể )Cho (O;R) và m t ộ đư ng t ờ h ng ( ẳ d) không c t ắ (O). D ng ự đư ng ờ th ng ẳ OH d t i ạ đi m ể H. Trên đư ng t ờ h ng ẳ d lấy đi m ể K (K khác H), qua K vẽ hai ti p t ế uy n ế K , A KB v i ớ (O), (A, B là ti p đi ế m ể ) sao cho , A H n m ằ v hai ề phía c a ủ đư ng t ờ h ng ẳ OK. a) Ch ng ứ minh t gi ứ ác KAOH n i ộ ti p ế b) Đư ng ờ th ng ẳ AB c t ắ đư ng t ờ h ng ẳ OH t i ạ I. CMR: .
IA IB IH.IO và I là đi m ể cố định khi đi m ể K ch y ạ trên đư ng ờ th ng d c ẳ đ ố nh ị c) Khi OK 2 ,
R OH R 3.Tính di n t ệ ích K AI theo R M i
ọ thắc mắc vui lòng xin liên hệ hotline: 084 283 45 85
ệ xem ể chi ti t ế (có l i ờ gi i ả ) x y . Bài 5. (1,0 di m
ể )Cho x, y là hai số th c t ự h a ỏ xy 1 Tìm giá tr nh ị ỏ nh t ấ c a ủ 2 2 x y P bi u t ể h c ứ x y M i
ọ thắc mắc vui lòng xin liên hệ hotline: 084 283 45 85
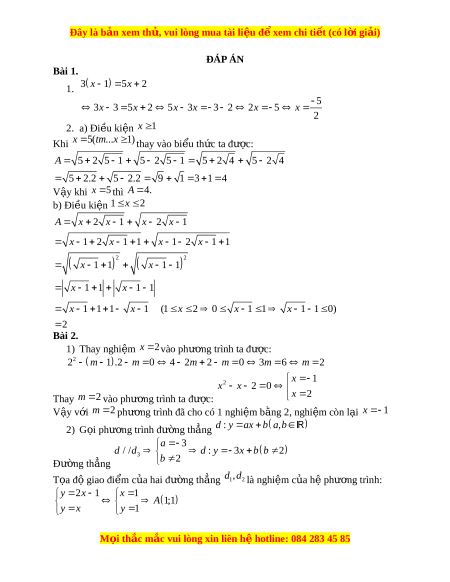
ệ xem ể chi ti t ế (có l i ờ gi i ả ) ĐÁP ÁN Bài 1. 1. 3 x 1 5 x 2 5 3x 3 5x 2 5x 3x 3 2 2x 5 x 2 2. a) Đi u ki ề n ệ x 1 Khi x 5 (t ... m x 1 ) thay vào bi u ể th c t ứ a đư c: ợ
A 5 2 5 1 5 2 5 1 5 2 4 5 2 4
5 2.2 5 2.2 9 1 3 1 4 V y ậ khi x 5 thì A 4 . b) Đi u ki ề n ệ 1x 2
A x 2 x 1 x 2 x 1
x 1 2 x 1 1 x 1 2 x 1 1
x 1 2
1 x 1 2 1 x 1 1 x 1 1
x 1 1 1 x 1 (1 x 2 0 x 1 1 x 1 1 0) 2 Bài 2. 1) Thay nghi m ệ x 2 vào phư ng t ơ rình ta đư c: ợ 2 2 m 1 .2 m 0
4 2m 2 m 0 3m 6 m 2 x 1 2 x x 2 0 Thay m 2 vào phư ng t ơ rình ta đư c: ợ x 2 V y ậ v i ớ m 2 phư ng
ơ trình đã cho có 1 nghi m ệ b ng ằ 2, nghi m ệ còn l i ạ x 1 2) G i ọ phư ng t ơ rình đư ng ờ th ng ẳ d : y a
x b a,b a 3 d / /d
d : y 3x b b 2 3 Đư ng ờ th ng ẳ b 2 T a đ ọ gi ộ ao đi m ể c a hai ủ đư ng ờ th ng ẳ d ,d 1 2 là nghiệm c a h ủ ệ phư ng t ơ rình: y 2 x 1 x 1 A1; 1 y x y 1 M i
ọ thắc mắc vui lòng xin liên hệ hotline: 084 283 45 85
ệ xem ể chi ti t ế (có l i ờ gi i ả ) Đư ng ờ th ng ẳ
d : y 3x b đi qua giao đi m ể c a ủ hai đư ng t ờ h ng ẳ d ,d 1 2 nên d đi qua A1; 1 Thay t a đ ọ ộ đi m ể A1; 1 vào phư ng t ơ rình đư ng t ờ h ng ẳ d ta đư c: ợ
1 3.1 b b 4( tm) V y ậ phư ng t ơ rình đư ng t ờ h ng ẳ c n t
ầ ìm là d : y 3x 4 Bài 3. G i ọ th i
ờ gian làm riêng hoàn thành công vi c c ệ a đ ủ i
ộ I là x (gi ) ờ x 5 Vì n u l ế àm riêng thì th i
ờ gian hoàn thàn công vi c đ ệ i ộ th hai ứ ít h n đ ơ i ộ th nh ứ t ấ 5 giờ Nên th i ờ gian đ i ộ 2 làm riêng đ hoàn t ể hành công vi c l ệ à x 5 giờ 1 Trong 1 giờ đ i ộ th nh ứ ất làm riêng đư c ợ x (công việc) 4 Trong 4 giờ đ i ộ th nh ứ ất làm đư c ợ x (công vi c) ệ 4 Trong 4 giờ đ i ộ th hai ứ làm đư c
ợ x 5 (công việc) 4 4 2 Trong 4 giờ c hai ả đ i ộ làm đư c: ợ x x 5 3 (công vi c) ệ Gi i ả phư ng t ơ rình 4 4 2 1 1 2 4. x x 5 3 x x 5 3 1 1 1 x 5 x 1 x x 5 6
x x 5 6 2 2
12x 30 x 5x x 17x 30 0 x 2( ktm)
x 2 x 15 0 x 15 (tm) V y ậ th i
ờ gian hoàn thành công vi c c ệ a ủ đ i ộ I là 15 gi , c ờ a đ ủ i ộ II là 10 giờ M i
ọ thắc mắc vui lòng xin liên hệ hotline: 084 283 45 85
Đề thi vào 10 môn Toán tỉnh Bình Định năm 2020
451
226 lượt tải
MUA NGAY ĐỂ XEM TOÀN BỘ TÀI LIỆU
CÁCH MUA:
- B1: Gửi phí vào TK:
1133836868- CT TNHH DAU TU VA DV GD VIETJACK - Ngân hàng MB (QR) - B2: Nhắn tin tới Zalo VietJack Official ( nhấn vào đây ) để xác nhận thanh toán và tải tài liệu - giáo án
Liên hệ ngay Hotline hỗ trợ: 084 283 45 85
Đề thi được cập nhật liên tục trong gói này từ nay đến hết tháng 6/2023. Chúng tôi đảm bảo đủ số lượng đề đã cam kết hoặc có thể nhiều hơn, tất cả có BẢN WORD, LỜI GIẢI CHI TIẾT và tải về dễ dàng.
Để tải tài liệu gốc về máy bạn click vào nút Tải Xuống ở trên!
Thuộc bộ (mua theo bộ để tiết kiệm hơn):
- Tailieugiaovien.com.vn giới thiệu bộ 63 đề thi vào 10 môn Toán hệ không chuyên năm 2020 nhằm giúp Giáo viên có thêm tài liệu tham khảo đề luyện thi Toán ôn luyện
- File word có lời giải chi tiết 100%.
- Mua trọn bộ sẽ tiết kiệm hơn tải lẻ 50%.
Đánh giá
4.6 / 5(451 )5
4
3
2
1
Trọng Bình
Tài liệu hay
Giúp ích cho tôi rất nhiều
Duy Trần
Tài liệu chuẩn
Rất thích tài liệu bên VJ soạn (bám sát chương trình dạy)
TÀI LIỆU BỘ BÁN CHẠY MÔN Toán Học
Xem thêmTÀI LIỆU BỘ BÁN CHẠY Ôn vào 10
Xem thêmTài liệu bộ mới nhất

Đây là b nả xem thử, vui lòng mua tài li u đ xem chi ti t (có l i gi i)ệ ể ế ờ ả
S GIÁO D C VÀ ĐÀO T OỞ Ụ Ạ
BÌNH Đ NHỊ
Đ chính th c ề ứ
KỲ THI TUY N SINH VÀO L P 10 THPT Ể Ớ
NĂM H C 2019-2020Ọ
Môn thi: TOÁN
Ngày thi: 06/6/2019
Th i gian làm bài: 120 phútờ
Bài 1. (2,0 đ)
1. Gi i ph ng trình ả ươ
3 1 5 2x x
2. Cho bi u th c ể ứ
2 1 2 1,A x x x x
v i ớ
1x
a) Tính giá tr c a bi u th c ị ủ ể ứ
A
khi
5x
b) Rút g n bi u th c ọ ể ứ
A
khi
1 2x
Bài 2. (2,0 đi m)ể
1. Cho ph ng trình : ươ
2
1 0.x m x m
Tìm
m
đ ph ng trình có m t ể ươ ộ
nghi m b ng 2. Tính nghi m còn l iệ ằ ệ ạ
2. Trong m t ph ng t a đ ặ ẳ ọ ộ
Oxy
cho ba đ ng th ng ườ ẳ
1 2
: 2 1; : ;d y x d y x
3
: 3 2.d y x
Tìm hàm s có đ th là đ ng th ng ố ồ ị ườ ẳ
3
/ /d d
đ ng th i đi qua ồ ờ
giao đi m c a hai đ ng th ng ể ủ ườ ẳ
1
d
và
2
d
Bài 3. (1,5 đi m)ể
Hai đ i công nhân cùng làm chung trong 4 gi thì hoàn thành đ c ộ ờ ượ
2
3
công vi c. ệ
N u làm riêng thì th i gian hoàn thành công vi c đ i th hai ít h n đ i th nh t ế ờ ệ ộ ứ ơ ộ ứ ấ
là
5
gi . H i n u làm riêng thì th i gian hoàn thành công vi c c a m i đ i là bao ờ ỏ ế ờ ệ ủ ỗ ộ
nhiêu
Bài 4. (3,5 đi m)ể Cho (O;R) và m t đ ng th ng (d) không c t (O). D ng đ ngộ ườ ẳ ắ ự ườ
th ng ẳ
OH d
t i đi m H. Trên đ ng th ng ạ ể ườ ẳ
d
l y đi m K (K khác H), qua K ấ ể
v hai ti p tuy n ẽ ế ế
,KA KB
v i (O), (A, B là ti p đi m) sao cho ớ ế ể
,A H
n m v hai ằ ề
phía c a đ ng th ng ủ ườ ẳ
.OK
a) Ch ng minh t giác ứ ứ
KAOH
n i ti pộ ế
b) Đ ng th ng ườ ẳ
AB
c t đ ng th ng ắ ườ ẳ
OH
t i I. CMR: ạ
. .IA IB IH IO
và I là
đi m c đ nh khi đi m K ch y trên đ ng th ng d c đ nh ể ố ị ể ạ ườ ẳ ố ị
c) Khi
2 , 3.OK R OH R
Tính di n tích ệ
KAI
theo R
M iọ th c m c vui lòng xin liên hắ ắ ệ hotline: 084 283 45 85

Đây là b nả xem thử, vui lòng mua tài li u đ xem chi ti t (có l i gi i)ệ ể ế ờ ả
Bài 5. (1,0 di m)ể Cho
,x y
là hai s th c th a ố ự ỏ
.
1
x y
xy
Tìm giá tr nh nh t c a ị ỏ ấ ủ
bi u th c ể ứ
2 2
x y
P
x y
M iọ th c m c vui lòng xin liên hắ ắ ệ hotline: 084 283 45 85

Đây là b nả xem thử, vui lòng mua tài li u đ xem chi ti t (có l i gi i)ệ ể ế ờ ả
ĐÁP ÁN
Bài 1.
1.
3 1 5 2x x
5
3 3 5 2 5 3 3 2 2 5
2
x x x x x x
2. a) Đi u ki n ề ệ
1x
Khi
5( ... 1)x tm x
thay vào bi u th c ta đ c:ể ứ ượ
5 2 5 1 5 2 5 1 5 2 4 5 2 4
5 2.2 5 2.2 9 1 3 1 4
A
V y khi ậ
5x
thì
4.A
b) Đi u ki n ề ệ
1 2x
2 2
2 1 2 1
1 2 1 1 1 2 1 1
1 1 1 1
1 1 1 1
1 1 1 1 (1 2 0 1 1 1 1 0)
2
A x x x x
x x x x
x x
x x
x x x x x
Bài 2.
1) Thay nghi m ệ
2x
vào ph ng trình ta đ c:ươ ượ
2
2 1 .2 0 4 2 2 0 3 6 2m m m m m m
Thay
2m
vào ph ng trình ta đ c: ươ ượ
2
1
2 0
2
x
x x
x
V y v i ậ ớ
2m
ph ng trình đã cho có 1 nghi m b ng 2, nghi m còn l i ươ ệ ằ ệ ạ
1x
2) G i ph ng trình đ ng th ng ọ ươ ườ ẳ
: ,d y ax b a b
Đ ng th ng ườ ẳ
3
3
/ / : 3 2
2
a
d d d y x b b
b
T a đ giao đi m c a hai đ ng th ng ọ ộ ể ủ ườ ẳ
1 2
,d d
là nghi m c a h ph ng trình:ệ ủ ệ ươ
2 1 1
1;1
1
y x x
A
y x y
M iọ th c m c vui lòng xin liên hắ ắ ệ hotline: 084 283 45 85

Đây là b nả xem thử, vui lòng mua tài li u đ xem chi ti t (có l i gi i)ệ ể ế ờ ả
Đ ng th ng ườ ẳ
: 3d y x b
đi qua giao đi m c a hai đ ng th ng ể ủ ườ ẳ
1 2
,d d
nên
d
đi qua
1;1A
Thay t a đ đi m ọ ộ ể
1;1A
vào ph ng trình đ ng th ng ươ ườ ẳ
d
ta đ c:ượ
1 3.1 4( )b b tm
V y ph ng trình đ ng th ng c n tìm là ậ ươ ườ ẳ ầ
: 3 4d y x
Bài 3.
G i th i gian làm riêng hoàn thành công vi c c a đ i ọ ờ ệ ủ ộ
I
là
x
(gi ) ờ
5x
Vì n u làm riêng thì th i gian hoàn thàn công vi c đ i th hai ít h n đ i th nh tế ờ ệ ộ ứ ơ ộ ứ ấ
5 giờ
Nên th i gian đ i 2 làm riêng đ hoàn thành công vi c là ờ ộ ể ệ
5x
giờ
Trong 1 gi đ i th nh t làm riêng đ c ờ ộ ứ ấ ượ
1
x
(công vi c)ệ
Trong 4 gi đ i th nh t làm đ c ờ ộ ứ ấ ượ
4
x
(công vi c)ệ
Trong 4 gi đ i th hai làm đ c ờ ộ ứ ượ
4
5x
(công vi c)ệ
Trong 4 gi c hai đ i làm đ c:ờ ả ộ ượ
4 4 2
5 3x x
(công vi c)ệ
Gi i ph ng trình ả ươ
2 2
4 4 2 1 1 2
4.
5 3 5 3
1 1 1 5 1
5 6 5 6
12 30 5 17 30 0
2( )
2 15 0
15( )
x x x x
x x
x x x x
x x x x x
x ktm
x x
x tm
V y th i gian hoàn thành công vi c c a đ i I là 15 gi , c a đ i II là 10 giậ ờ ệ ủ ộ ờ ủ ộ ờ
M iọ th c m c vui lòng xin liên hắ ắ ệ hotline: 084 283 45 85

Đây là b nả xem thử, vui lòng mua tài li u đ xem chi ti t (có l i gi i)ệ ể ế ờ ả
Bài 4.
a) Vì
KA
là ti p tuy n c a (O) nên ế ế ủ
0
90AK OA KAO
L i có : ạ
0
90 (OHK
do
)OH d
Xét t giác ứ
AOKH
có
0 0 0
90 90 180OAK OHK
mà 2 góc v trí đ i nhau ở ị ố
nên
OAKH
là t giác n i ti p (dhnb)ứ ộ ế
b) Xét (O) có
0
90OBK
(do
KB
là ti p tuy n c a đ ng tròn (O))ế ế ủ ườ
T đó ta có: ừ
0
90OAK OBK OHK
nên 5 đi m ể
, , , ,A O B H K
cùng thu c ộ
đ ng tròn đ ng kính OKườ ườ
OAB OHB
(hai góc n i ti p cùng ch n cung OB)ộ ế ắ
Xét
IOA
và
IBH
có:
OIA BIH
(hai góc đ i đ nh), ố ỉ
( )OAB OHB cmt
( . ) . .
IO IA
IOA IBH g g IO IH IA IB
IB IH
Xét đ ng tròn đ ng kính OK cóườ ườ
OHB
là góc n i ti p ch n cung ộ ế ắ
OB
M iọ th c m c vui lòng xin liên hắ ắ ệ hotline: 084 283 45 85
