ệ xem ể chi ti t ế (có l i ờ gi i ả ) SỞ GIÁO D C Ụ VÀ ĐÀO T O Ạ KỲ THI TUY N Ể SINH VÀO L P Ớ 10 THPT CHUYÊN HÀ GIANG Năm h c ọ 2015-2016 Đ C Ề HÍNH TH C Ứ Môn thi: TOÁN Th i ờ gian thi: 120 phút 1 1 a1 a 2 Câu 1. Cho bi u t ể h c ứ P : a 1 a a 2 a 1 a) Rút g n bi ọ u t ể h c ứ P 1 b) Tìm a đ ể P 6 Câu 2. Cho phư ng ơ trình 2 x 2(m 1)x m1 0 a) V i ớ giá tr nào ị c a m ủ thì phư ng t ơ rình có hai nghi m ệ phân bi t ệ b) Tìm m đ ph ể ư ng ơ tình có hai nghi m ệ x ;x x 3 x 1 2 th a ỏ mãn đi u ki ề n ệ 1 2 Câu 3. Hai ngư i ờ th cùng ợ làm m t ộ công vi c t ệ rong 16 gi t ờ hì xong. N u ế ngư i ờ th ứ 1 nh t ấ làm trong 3 gi và ng ờ ư i ờ th hai ứ làm trong 6 gi t ờ hì h l ọ àm đư c ợ công 4 việc. H i ỏ m i ỗ ngư i ờ làm công vi c đó m ệ t ộ mình trong m y gi ấ t ờ hì xong . Câu 4. Cho n a ử đư ng t ờ ròn (O;R) đư ng kí ờ nh AB; C là đi m ể chính gi a c ữ a ủ cung AB. M thu c ộ cung AC M A;M C . Qua M k t ẻ i p t ế uy n d v ế i ớ n a ử đư ng t ờ ròn, g i ọ H là giao đi m ể c a ủ BM và OC. T H ừ k m ẻ t ộ đư ng ờ th ng ẳ song song v i ớ AB, đư ng t ờ h ng ẳ c t ắ ti p t ế uy n d ế E ở . a) Ch ng m ứ inh OHME là tứ giác n i ộ tiêps b) Ch ng m ứ inh EH = R. c) Kẻ MK vuông góc v i ớ OC t i ạ K. Ch ng m ứ inh đư ng t ờ ròn ngo i ạ ti p ế
tam giác OBC đi qua tâm đư ng t ờ ròn n i ộ ti p t ế am giác OMK Câu 5. Tìm giá tr l ị n nh ớ t ấ c a
ủ A x 1 y 2 , bi t ế x y 4 M i
ọ thắc mắc vui lòng xin liên hệ hotline: 084 283 45 85
ệ xem ể chi ti t ế (có l i ờ gi i ả )
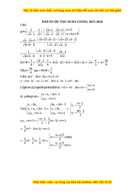
DAP AN DE VAO 10 HA GIANG 2015-2016 C©u1 1 1 a1 a 2 a 0 a)P= : a 1 a a 2 a 1 a 1 ;a4
a 1 a 1 a 2 a 2 a a 1 : a( a 1) a 2. a 1 a 2. a 1 1 a 2 . a( a 1) a 1 a 4 3 a 1 a 2 1 4 16 b)V×P
6 a 12 3 a 9 a 12 a a 6 3 a 6 3 9 16 1 VËya vµa4th×P 9 6 2
C©u2: a)x 2(m 1)x m1 0 2 2 2 ' ( m 1) m 1 m 2m1 m 1 m 3m m 3 2
§ Óptrinhcã2nghiÖmph©nbiÖtth×
' 0 m 3m 0 m0 x x 2 m 2 1 2 b)¸pdôngViet x x m 1 1 2 m 1 x 3 x 4x 2 m 2 1 2 2 x2 2 Tacãx x 2 m 2 x 3 x 1 2 1 2 3m 3 x x m 1 x x m 1 x 1 2 1 2 1 2 m 1 3 x x m 1 . (m 1) m 1 1 2 2 2 3 2 (m 2m1) m 1 4 5 2 7 m (chän) 3 2 5 1 3 m m 0 4 2 4 5 2 7 m (lo¹i) 3 M i
ọ thắc mắc vui lòng xin liên hệ hotline: 084 283 45 85
ệ xem ể chi ti t ế (có l i ờ gi i ả )
Bµi 3.Gäi x(giê)lµthêi gianxongviÖccñang êi thø1(x 16)
Gäi y(giê)lµthêi gianxongviÖccñang êi thøII (y 16) 1 1giêng êi thøI lµm® î c:x 1
1giêng êi thøII lµm®î c:y 1 1 1 1 1 x y 16 x 24 x 2 4
Theo®ÒtacãhÖph ¬ngtrinh: (chän) 3 6 1 1 1 x 4 8 x y 4 y 48
vËyng êi thønhÊtmÊt24hxong;ng êi thøhai mÊt48hxong M i
ọ thắc mắc vui lòng xin liên hệ hotline: 084 283 45 85
ệ xem ể chi ti t ế (có l i ờ gi i ả ) Cau 4 M i
ọ thắc mắc vui lòng xin liên hệ hotline: 084 283 45 85
Đề thi vào 10 môn Toán tỉnh Hà Giang năm 2020
630
315 lượt tải
MUA NGAY ĐỂ XEM TOÀN BỘ TÀI LIỆU
CÁCH MUA:
- B1: Gửi phí vào TK:
1133836868- CT TNHH DAU TU VA DV GD VIETJACK - Ngân hàng MB (QR) - B2: Nhắn tin tới Zalo VietJack Official ( nhấn vào đây ) để xác nhận thanh toán và tải tài liệu - giáo án
Liên hệ ngay Hotline hỗ trợ: 084 283 45 85
Đề thi được cập nhật liên tục trong gói này từ nay đến hết tháng 6/2023. Chúng tôi đảm bảo đủ số lượng đề đã cam kết hoặc có thể nhiều hơn, tất cả có BẢN WORD, LỜI GIẢI CHI TIẾT và tải về dễ dàng.
Để tải tài liệu gốc về máy bạn click vào nút Tải Xuống ở trên!
Thuộc bộ (mua theo bộ để tiết kiệm hơn):
- Tailieugiaovien.com.vn giới thiệu bộ 63 đề thi vào 10 môn Toán hệ không chuyên năm 2020 nhằm giúp Giáo viên có thêm tài liệu tham khảo đề luyện thi Toán ôn luyện
- File word có lời giải chi tiết 100%.
- Mua trọn bộ sẽ tiết kiệm hơn tải lẻ 50%.
Đánh giá
4.6 / 5(630 )5
4
3
2
1
Trọng Bình
Tài liệu hay
Giúp ích cho tôi rất nhiều
Duy Trần
Tài liệu chuẩn
Rất thích tài liệu bên VJ soạn (bám sát chương trình dạy)
TÀI LIỆU BỘ BÁN CHẠY MÔN Toán Học
Xem thêmTÀI LIỆU BỘ BÁN CHẠY Ôn vào 10
Xem thêmTài liệu bộ mới nhất

Đây là b nả xem thử, vui lòng mua tài li u đ xem chi ti t (có l i gi i)ệ ể ế ờ ả
Câu 1. Cho bi u th c ể ứ
a) Rút g n bi u th c Pọ ể ứ
b) Tìm a đ ể
Câu 2. Cho ph ng trình ươ
a) V i giá tr nào c a m thì ph ng trình có hai nghi m phân bi tớ ị ủ ươ ệ ệ
b) Tìm m đ ph ng tình có hai nghi m ể ươ ệ
th a mãn đi u ki n ỏ ề ệ
Câu 3.
Hai ng i th cùng làm m t công vi c trong 16 gi thì xong. N u ng i th ườ ợ ộ ệ ờ ế ườ ứ
nh t làm trong 3 gi và ng i th hai làm trong 6 gi thì h làm đ c ấ ờ ườ ứ ờ ọ ượ
công
vi c. H i m i ng i làm công vi c đó m t mình trong m y gi thì xong .ệ ỏ ỗ ườ ệ ộ ấ ờ
Câu 4.
Cho n a đ ng tròn (O;R) đ ng kính AB; C là đi m chính gi a c a ử ườ ườ ể ữ ủ
cung AB. M thu c cung AC ộ
. Qua M k ti p tuy n d v i n a ẻ ế ế ớ ử
đ ng tròn, g i H là giao đi m c a BM và OC. T H k m t đ ng th ng ườ ọ ể ủ ừ ẻ ộ ườ ẳ
song song v i AB, đ ng th ng c t ti p tuy n d E.ớ ườ ẳ ắ ế ế ở
a) Ch ng minh OHME là t giác n i tiêpsứ ứ ộ
b) Ch ng minh EH = R.ứ
c) K MK vuông góc v i OC t i K. Ch ng minh đ ng tròn ngo i ti p ẻ ớ ạ ứ ườ ạ ế
tam giác OBC đi qua tâm đ ng tròn n i ti p tam giác OMKườ ộ ế
Câu 5. Tìm giá tr l n nh t c a ị ớ ấ ủ
, bi t ế
M iọ th c m c vui lòng xin liên hắ ắ ệ hotline: 084 283 45 85
S GIÁO D C VÀ ĐÀO T OỞ Ụ Ạ
HÀ GIANG
KỲ THI TUY N SINH VÀO L P 10 THPT CHUYÊNỂ Ớ
Năm h c 2015-2016ọ
Đ CHÍNH TH C Ề Ứ
Môn thi: TOÁN
Th i gian thi: 120 phútờ

Đây là b nả xem thử, vui lòng mua tài li u đ xem chi ti t (có l i gi i)ệ ể ế ờ ả
DAP AN DE VAO 10 HA GIANG 2015-2016
! "#$%&'(&)%*#&%*
+#,-&)%.
/'(
0 1
'2&
0
0 1
345%
M iọ th c m c vui lòng xin liên hắ ắ ệ hotline: 084 283 45 85

Đây là b nả xem thử, vui lòng mua tài li u đ xem chi ti t (có l i gi i)ệ ể ế ờ ả
6% 72% )%838% )%&4&)%*''9&): 8% ;
72% )%838% )%&4&)%*''9&): 8% ;<<
)%8&): 8% ;< 3=: > '
)%8&): 8% ;<< 3=: > '
/.4=?'(*#: @&)$%&
'2&
A
A
&): 8% ;&BB4&)&): 8% ;% BA4&)
M iọ th c m c vui lòng xin liên hắ ắ ệ hotline: 084 283 45 85

Đây là b nả xem thử, vui lòng mua tài li u đ xem chi ti t (có l i gi i)ệ ể ế ờ ả
Cau 4
M iọ th c m c vui lòng xin liên hắ ắ ệ hotline: 084 283 45 85

Đây là b nả xem thử, vui lòng mua tài li u đ xem chi ti t (có l i gi i)ệ ể ế ờ ả
C 3%D#D& CE
/'(3=%"'F&)%G E 6 E
HC I I6 CHE
/;)%+'CHE'(CE CHE J'(=K&JH3%L&%D#'M &)&&CE,: N %)('
CHE3;)%+'&O% %D#
CHE3;)%+'&O% %D# HC EC'M &)&&C
HC 6 =P&)Q6 6E E6'&,4E E6 R
6E HCE'M &)&&HEHCE CE S43.$4&)0
T0 EC CE
EC'&)E E R CE CE')'
/;)%+'CHE'()('U&)&L&3&'G&
CH E R
'/)2% V3=: 8&)$W&&O% %D# EX VE EX
V6 EX )('&O% %D#)('Y'M &)'Z& V6 VE
V6JVE'(=K&3%L&%D#EJ6'M &)&&'5&V,: N %)('[&)&
EV6&O% %D# ! : 8&)$W&&)45% %D# E6=% \
V
M iọ th c m c vui lòng xin liên hắ ắ ệ hotline: 084 283 45 85
