ệ xem ể chi ti t ế (có l i ờ gi i ả ) SỞ GIÁO D C Ụ VÀ ĐÀO T O Ạ KỲ THI TUY N Ể SINH L P Ớ 10 THPT HÀ TĨNH NĂM H C Ọ 2019-2020 MÔN THI: TOÁN Đ C Ề HÍNH TH C Ứ Mã Đ 01 ề Th i
ờ gian làm bài: 90 phút Câu 1. (2,0 đi m ể ) Rút g n các ọ bi u t ể h c s ứ au: a) A 50 18 2 2 1 a B : (a 0 , a 1 ) 2 2 b) a a
a 1 a 2a 1 Câu 2. (2,5 đi m ể ) a) Tìm các giá tr c ị a
ủ a và b đ đ ể ư ng t ờ h ng
ẳ d : y a
x b đi qua hai đi m ể
M 1;5 và N 2;8 b) Cho phư ng t ơ rình 2
x 6x m 3 0
( m là tham số). Tìm giá tr c ị a ủ m đ ể phư ng ơ trình có hai nghi m ệ phân bi t ệ x , x 1 2 th a m ỏ ãn x 1 2
x 5x m 4 2 1 2 2 Câu 3. (1,5 đi m ể ) M t ộ đ i ộ xe v n t ậ i ả đư c phân công ợ ch ở 112 tấn hàng. Trư c ớ gi kh ờ i ở hành có 2 xe ph i ả đi làm nhi m ệ v khác ụ nên m i ỗ xe còn l i ạ ph i ả ch ở thêm 1 tấn hàng so v i ớ d t ự ính. Tính s xe ban đ ố u c ầ a đ ủ i ộ xe, bi t ế r ng m ằ i ỗ xe đ u ch ề ở kh i ố lư ng ợ hàng nh nhau. ư Câu 4. (3,0 đi m ể ) Cho đư ng ờ tròn tâm O và đi m ể M n m ằ ngoài đư ng ờ tròn đó. Qua M kẻ các ti p t ế uy n ế M , A MB v i ớ đư ng ờ tròn ( , A B là ti p đi ế m ể ). Đư ng ờ th ng ẳ d thay đ i
ổ đi qua M , không đi qua O và luôn c t ắ đư ng t ờ ròn t i ạ hai đi m ể
phân biệt C và D(C n m ằ gi a M ữ và D) a) Ch ng ứ minh AMBO là t gi ứ ác n i ộ ti p ế b) Ch ng ứ minh 2 MC.MD M A c) Ch ng ứ minh đư ng t ờ ròn ngo i ạ ti p t
ế am giác OCD luôn đi qua đi m ể cố định khác O. Câu 5. (1,0 đi m ể ) Cho hai số th c ự dư ng ơ a,bth a
ỏ mãn: a b 3ab 1 M i
ọ thắc mắc vui lòng xin liên hệ hotline: 084 283 45 85
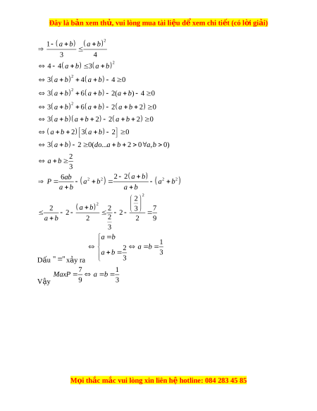
ệ xem ể chi ti t ế (có l i ờ gi i ả ) 6ab 2 2 P a b Tìm giá t l ị n ớ nh t ấ c a ủ bi u t ể h c ứ a b ĐÁP ÁN Câu 1.
a) A 50 18 25.2 9.2 5 2 3 2 2 2 2 2 1 a B : a 0 ; a 1 2 2 b) a a
a 1 a 2a 1
2 2a a 2 1
21 a a 1 2a 2 . a a 1 1 a a1 a a Câu 2.
a) Vì M 1;5 ; N 2;8 d : y a x b a b 5 a 3 2a b 8 b 2 V y ậ a 3 ,b 2 2 b) 2
x 6x m 3 0 có '
3 m 3 1 2 m Để phư ng t ơ rình có nghi m ệ ' 0 m 1 2 x x 6 1 2 Áp d ng ụ đ nh l ị ý Viet x x m 3 1 2 x 1 2
x 5x m 4 0 1 2 2 x 1 2
x 6x m 3 x 1 0 1 2 2 2
x 1 0 x 1 0 1 2
x x x x 1 0 1 2 1 2
m 3 6 1 0 m 8 (tm) V y ậ m 8 Câu 3. G i ọ số xe ban đầu c a đ ủ i
ộ là x (xe) x 2 M i
ọ thắc mắc vui lòng xin liên hệ hotline: 084 283 45 85
ệ xem ể chi ti t ế (có l i ờ gi i ả ) 144 Theo k ho ế ch ạ mỗi xe ph i ả ch s ở hàng ố x (tấn hàng) Do có 2 xe đi làm nhi m ệ v nên ụ s xe t ố h c t ự l ế à x 2 xe 144 Nên mỗi xe th c t ự ế ph i ả ch s
ở ố hàng: x 2 (tấn hàng) Theo đ t ề a có phư ng ơ trình: 144 144
x 16(ktm) 2 1
x 2x 288 0 x 2 x x 18 (tm) V y ậ ban đ u đ ầ i ộ có 18 xe Câu 4. a) T gi ứ ác AMBO có: 0 MAO M BO 9 0 (tính ch t ấ ti p ế tuy n) ế suy ra 0 0 0 MAO MBO 9 0 90 1 80 V y ậ t gi ứ ác AMBO là t gi ứ ác n i ộ ti p ế b) Xét M CA và M
AD có: M chung;
A D (cùng ch n ắ AC) MC MA 2 M CA
MAD(g.g) MC.MD M A (dfcm) MA MD M i
ọ thắc mắc vui lòng xin liên hệ hotline: 084 283 45 85
ệ xem ể chi ti t ế (có l i ờ gi i ả ) c) G i ọ S là giao đi m ể c a ủ AB và MO Áp d ng ụ h t ệ h c ứ lư ng cho ợ MAO vuông ta có 2 MA M S.MO MC MO 2 MA M
C.MD(cmt) MS.MO M C.MD Mà MS MD , l i ạ có M chung MCS M
OD(cgc) MCS M
OD , mà hai góc này v ở t ị rí góc ngoài b ng ằ góc trong t i ạ đ nh đ ỉ ối di n ệ CSOD là t gi ứ ác n i ộ ti p ế Đư ng ờ tròn ngo i ạ ti p ế O CD đi qua đi m ể S c đ ố nh ị Câu 5.
1 a b
a b 3ab 1 3ab 1
a b ab Theo đ bài ề ta có: 3 a b 2 ab Áp d ng ụ BĐT Cosi ta có: 4 M i
ọ thắc mắc vui lòng xin liên hệ hotline: 084 283 45 85
Đề thi vào 10 môn Toán tỉnh Hà Tĩnh năm 2020
505
253 lượt tải
MUA NGAY ĐỂ XEM TOÀN BỘ TÀI LIỆU
CÁCH MUA:
- B1: Gửi phí vào TK:
1133836868- CT TNHH DAU TU VA DV GD VIETJACK - Ngân hàng MB (QR) - B2: Nhắn tin tới Zalo VietJack Official ( nhấn vào đây ) để xác nhận thanh toán và tải tài liệu - giáo án
Liên hệ ngay Hotline hỗ trợ: 084 283 45 85
Đề thi được cập nhật liên tục trong gói này từ nay đến hết tháng 6/2023. Chúng tôi đảm bảo đủ số lượng đề đã cam kết hoặc có thể nhiều hơn, tất cả có BẢN WORD, LỜI GIẢI CHI TIẾT và tải về dễ dàng.
Để tải tài liệu gốc về máy bạn click vào nút Tải Xuống ở trên!
Thuộc bộ (mua theo bộ để tiết kiệm hơn):
- Tailieugiaovien.com.vn giới thiệu bộ 63 đề thi vào 10 môn Toán hệ không chuyên năm 2020 nhằm giúp Giáo viên có thêm tài liệu tham khảo đề luyện thi Toán ôn luyện
- File word có lời giải chi tiết 100%.
- Mua trọn bộ sẽ tiết kiệm hơn tải lẻ 50%.
Đánh giá
4.6 / 5(505 )5
4
3
2
1
Trọng Bình
Tài liệu hay
Giúp ích cho tôi rất nhiều
Duy Trần
Tài liệu chuẩn
Rất thích tài liệu bên VJ soạn (bám sát chương trình dạy)
TÀI LIỆU BỘ BÁN CHẠY MÔN Toán Học
Xem thêmTÀI LIỆU BỘ BÁN CHẠY Ôn vào 10
Xem thêmTài liệu bộ mới nhất

Đây là b nả xem thử, vui lòng mua tài li u đ xem chi ti t (có l i gi i)ệ ể ế ờ ả
S GIÁO D C VÀ ĐÀO T OỞ Ụ Ạ
HÀ TĨNH
Đ CHÍNH TH CỀ Ứ
Mã Đ 01ề
KỲ THI TUY N SINH L P 10 THPTỂ Ớ
NĂM H C 2019-2020Ọ
MÔN THI: TOÁN
Th i gian làm bài: 90 phút ờ
Câu 1. (2,0 đi m) ể Rút g n các bi u th c sau:ọ ể ứ
a)
50 18A
b)
2 2
2 2 1
: ( 0, 1)
1 2 1
a
B a a
a a a a a
Câu 2. (2,5 đi m) ể
a) Tìm các giá tr c a ị ủ
a
và
b
đ đ ng th ng ể ườ ẳ
:d y ax b
đi qua hai đi mể
1;5M
và
2;8N
b) Cho ph ng trình ươ
2
6 3 0x x m
(
m
là tham s ). Tìm giá tr c a ố ị ủ
m
đ ể
ph ng trình có hai nghi m phân bi t ươ ệ ệ
1 2
,x x
th a mãnỏ
2
1 2 2
1 5 4 2x x x m
Câu 3. (1,5 đi m) ể M t đ i xe v n t i đ c phân công ch ộ ộ ậ ả ượ ở
112
t n hàng. Tr c ấ ướ
gi kh i hành có 2 xe ph i đi làm nhi m v khác nên m i xe còn l i ph i ch ờ ở ả ệ ụ ỗ ạ ả ở
thêm 1 t n hàng so v i d tính. Tính s xe ban đ u c a đ i xe, bi t r ng m i xe ấ ớ ự ố ầ ủ ộ ế ằ ỗ
đ u ch kh i l ng hàng nh nhau.ề ở ố ượ ư
Câu 4. (3,0 đi m) ể Cho đ ng tròn tâm O và đi m M n m ngoài đ ng tròn đó. ườ ể ằ ườ
Qua
M
k các ti p tuy n ẻ ế ế
,MA MB
v i đ ng tròn ớ ườ
( ,A B
là ti p đi m). Đ ng ế ể ườ
th ng ẳ
d
thay đ i đi qua ổ
,M
không đi qua O và luôn c t đ ng tròn t i hai đi mắ ườ ạ ể
phân bi t ệ
C
và D(C n m gi a M và D)ằ ữ
a) Ch ng minh ứ
AMBO
là t giác n i ti pứ ộ ế
b) Ch ng minh ứ
2
.MC MD MA
c) Ch ng minh đ ng tròn ngo i ti p tam giác ứ ườ ạ ế
OCD
luôn đi qua đi m c ể ố
đ nh khác O.ị
Câu 5. (1,0 đi m) ể Cho hai s th c d ng ố ự ươ
,a b
th a mãn: ỏ
3 1a b ab
M iọ th c m c vui lòng xin liên hắ ắ ệ hotline: 084 283 45 85

Đây là b nả xem thử, vui lòng mua tài li u đ xem chi ti t (có l i gi i)ệ ể ế ờ ả
Tìm giá t l n nh t c a bi u th c ị ớ ấ ủ ể ứ
2 2
6ab
P a b
a b
ĐÁP ÁN
Câu 1.
a)
50 18 25.2 9.2 5 2 3 2 2 2A
b)
2 2
2 2 1
: 0; 1
1 2 1
a
B a a
a a a a a
2
1 2 1 1
2 2 2 2
.
1 1 1
a a a
a a
a a a a a a
Câu 2.
a) Vì
1;5 ; 2;8 :M N d y ax b
5 3
2 8 2
a b a
a b b
V y ậ
3, 2a b
b)
2
6 3 0x x m
có
2
' 3 3 12m m
Đ ph ng trình có nghi m ể ươ ệ
' 0 12m
Áp d ng đ nh lý Viet ụ ị
1 2
1 2
6
3
x x
x x m
2
1 2 2
2
1 2 2 2
1 2
1 2 1 2
1 5 4 0
1 6 3 1 0
1 0 1 0
1 0
3 6 1 0
8( )
x x x m
x x x m x
x x
x x x x
m
m tm
V y ậ
8m
Câu 3.
G i s xe ban đ u c a đ i là ọ ố ầ ủ ộ
x
(xe)
2x
M iọ th c m c vui lòng xin liên hắ ắ ệ hotline: 084 283 45 85

Đây là b nả xem thử, vui lòng mua tài li u đ xem chi ti t (có l i gi i)ệ ể ế ờ ả
Theo k ho ch m i xe ph i ch s hàng ế ạ ỗ ả ở ố
144
x
(t n hàng)ấ
Do có 2 xe đi làm nhi m v nên s xe th c t là ệ ụ ố ự ế
2x
xe
Nên m i xe th c t ph i ch s hàng: ỗ ự ế ả ở ố
144
2x
(t n hàng)ấ
Theo đ ta có ph ng trình:ề ươ
2
16( )
144 144
1 2 288 0
18( )
2
x ktm
x x
x tm
x x
V y ban đ u đ i có ậ ầ ộ
18
xe
Câu 4.
a) T giác ứ
AMBO
có:
0
90MAO MBO
(tính ch t ti p tuy n)ấ ế ế
suy ra
0 0 0
90 90 180MAO MBO
V y t giác ậ ứ
AMBO
là t giác n i ti pứ ộ ế
b) Xét
MCA
và
MAD
có:
M
chung;
A D
(cùng ch n ắ
)AC
2
( . ) . ( )
MC MA
MCA MAD g g MC MD MA dfcm
MA MD
M iọ th c m c vui lòng xin liên hắ ắ ệ hotline: 084 283 45 85

Đây là b nả xem thử, vui lòng mua tài li u đ xem chi ti t (có l i gi i)ệ ể ế ờ ả
c) G i S là giao đi m c a AB và MO ọ ể ủ
Áp d ng h th c l ng cho ụ ệ ứ ượ
MAO
vuông ta có
2
.MA MS MO
Mà
2
. ( ) . .
MC MO
MA MC MD cmt MS MO MC MD
MS MD
, l i có ạ
M
chung
( )MCS MOD cgc MCS MOD
, mà hai góc này v trí góc ngoài b ng ở ị ằ
góc trong t i đ nh đ i di n ạ ỉ ố ệ
CSOD
là t giác n i ti pứ ộ ế
Đ ng tròn ngo i ti p ườ ạ ế
OCD
đi qua đi m S c đ nh ể ố ị
Câu 5.
Theo đ bài ta có: ề
1
3 1 3 1
3
a b
a b ab ab a b ab
Áp d ng BĐT Cosi ta có: ụ
2
4
a b
ab
M iọ th c m c vui lòng xin liên hắ ắ ệ hotline: 084 283 45 85

Đây là b nả xem thử, vui lòng mua tài li u đ xem chi ti t (có l i gi i)ệ ể ế ờ ả
2
2
2
2
2
2 2 2 2
2
1
3 4
4 4 3
3 4 4 0
3 6 2( ) 4 0
3 6 2 2 0
3 2 2 2 0
2 3 2 0
3 2 0( ... 2 0 , 0)
2
3
2 2
6
2
2
2
a b a b
a b a b
a b a b
a b a b a b
a b a b a b
a b a b a b
a b a b
a b do a b a b
a b
a b
ab
P a b a b
a b a b
a b
a b
2
2
2 7
3
2
2
2 9
3
D u ấ
" "
x y ra ả
1
2
3
3
a b
a b
a b
V y ậ
7 1
9 3
MaxP a b
M iọ th c m c vui lòng xin liên hắ ắ ệ hotline: 084 283 45 85
