ệ xem ể chi ti t ế (có l i ờ gi i ả ) SỞ GIÁO D C Ụ VÀ ĐÀO T O Ạ KỲ THI TUY N Ể SINH L P Ớ 10 THPT H I Ả DƯ N Ơ G Năm h c ọ 2019-2020 Đ C Ề HÍNH TH C Ứ Môn thi: TOÁN Th i ờ gian : 120 phút Câu 1. (2,0 đi m ể ) 2 1) Gi i ả phư ng t ơ
rình: 4x 4x 9 3 3 x y 5 2) Gi i ả h ph ệ ư ng t ơ
rình: 2y x 0 Câu 2. (2,0 đi m ể ) 1) Cho hai đư ng t ờ h ng ẳ d : y 2 x 5 d : y 4 x m 1 và 2
( m là tham số). Tìm t t ấ cả các giá trị c a t ủ ham số m đ ể d d 1 và 2 c t ắ nhau t i ạ m t ộ đi m ể trên tr c ụ hoành Ox x 2x x 1 2 P : 3 x 9 x 2) Rút g n bi ọ u t ể h c: ứ x 3 x x (v i ớ x 0, x 9 , x 2 5) Câu 3. (2,0 đi m ể ) 1) Theo k ho ế ch, ạ m t ộ xư ng m ở ay ph i ả may xong 360 b qu ộ n áo t ầ rong m t ộ th i ờ gian quy định. Đ n khi ế th c ự hi n, m ệ ỗi ngày xư ng đã ở may nhi u h ề n 4 b ơ qu ộ n ầ áo so v i ớ số bộ quần áo ph i ả may trong m t ộ ngày theo k ho ế ch. ạ Vì th x ế ư ng ở đã hoàn thành k ho ế ch ạ trư c ớ 1 ngày. H i ỏ theo k ho ế ch, ạ m i ỗ ngày xư ng ph ở i ả may bao nhiêu b qu ộ n áo? ầ 2 2) Cho phư ng t ơ
rình: x 2m 1 x 3 0
(m là tham số). Ch ng m ứ inh r ng ằ phư ng
ơ trình đã cho luôn có hai nghi m ệ phân bi t ệ x , x 1 2 v i ớ m i ọ . m Tìm các giá tr ị c a
ủ m sao cho x x 5 x x 1 2 và 1 2 Câu 4. (3,0 đi m ể ) T đi ừ m ể A n m ằ ngoài đư ng ờ tròn (O) k hai ẻ ti p t ế uy n ế AB, AC v i ớ đư ng ờ tròn (B, C là các ti p đi ế m ể ). Trên n a m ử t ặ ph ng ẳ b l ờ đ ầ ư ng t ờ h ng ẳ AO ch a ứ đi m ể B v ẽ cát tuy n ế AMN v i ớ đư ng t ờ
ròn (O) ( AM AN, MN không đi qua O). G i ọ I là trung đi m ể c a ủ MN 1) Ch ng ứ minh: T gi ứ ác AIOC là t gi ứ ác n i ộ ti p ế 2) G i ọ H là giao đi m ể c a ủ AO và BC. Ch ng
ứ minh AH.AO AM .AN và t gi ư ác MNOH là t gi ứ ác n i ộ ti p ế 3) Qua M k đ ẻ ư ng t ờ h ng ẳ song song v i ớ BN, c t ắ AB và BC theo th t ứ ự t i ạ E và F. Ch ng ứ minh r ng ằ M là trung đi m ể c a ủ EF. Câu 5. (1,0 đi m ể ) M i
ọ thắc mắc vui lòng xin liên hệ hotline: 084 283 45 85
ệ xem ể chi ti t ế (có l i ờ gi i ả ) Cho các số dư ng ơ a, , b c th a m ỏ ãn đi u ki ề n:
ệ a b c 2 019 Tìm giá tr nh ị nh ỏ t ấ c a bi ủ u t ể h c: ứ 2 2 2 2 2 2
P 2a ab 2b 2b bc 2c 2c ca 2a M i
ọ thắc mắc vui lòng xin liên hệ hotline: 084 283 45 85
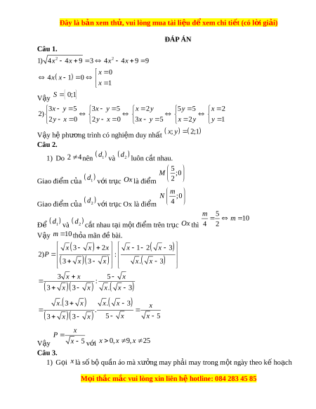
ệ xem ể chi ti t ế (có l i ờ gi i ả ) ĐÁP ÁN Câu 1. 2 2
1) 4x 4x 9 3
4x 4x 9 9 x 0
4x x 1 0 x 1 V y ậ S 0; 1 3 x y 5 3 x y 5 x 2 y 5 y 5 x 2 2) 2y x 0 2y x 0 3x y 5 x 2y y 1 V y ậ h ph ệ ư ng t ơ rình có nghi m ệ duy nh t ấ ; x y 2; 1 Câu 2. 1) Do 2 4 nên d d 1 và 2 luôn c t ắ nhau. 5 M ;0 Giao đi m ể c a ủ d1 v i ớ tr c ụ Ox là đi m ể 2 m N ;0 Giao đi m ể c a ủ d2 v i ớ tr c ụ Ox là đi m ể 4 m 5 m 10 Để d d 1 và 2 c t ắ nhau t i ạ m t ộ đi m ể trên tr c ụ Ox thì 4 2 V y ậ m 1 0 th a m ỏ ãn đ bài ề . x 3
x 2x x 1 2 x 3 2)P :
3 x3 x x. x 3 3 x x 5 x :
3 x 3 x x. x 3 x. 3 x x. x 3 x .
3 x 3 x 5 x x 5 x P V y ậ x 5 v i ớ x 0, x 9 , x 2 5 Câu 3. 1) G i ọ x là số b qu ộ ần áo mà xư ng ở may ph i ả may trong m t ộ ngày theo k ho ế ch ạ M i
ọ thắc mắc vui lòng xin liên hệ hotline: 084 283 45 85
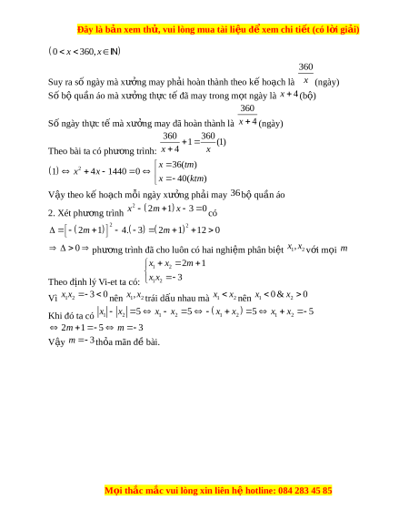
ệ xem ể chi ti t ế (có l i ờ gi i ả )
0 x 360, x 360 Suy ra số ngày mà xư ng ở may ph i ả hoàn thành theo k ho ế ch l ạ à x (ngày) Số b qu ộ ần áo mà xư ng t ở h c ự t đã m ế ay trong m t
ọ ngày là x 4 (b ) ộ 360 Số ngày th c t ự m ế à xư ng
ở may đã hoàn thành là x 4 (ngày) 360 360 1 (1) Theo bài ta có phư ng ơ trình: x 4 x x 36( tm) 2
1 x 4x 1440 0
x 40(ktm) V y ậ theo k ho ế ch ạ mỗi ngày xư ng ở ph i ả may 36 bộ quần áo 2 2. Xét phư ng
ơ trình x 2m 1 x 3 0 có 2
m m 2 2 1 4. 3 2 1 12 0 0 phư ng
ơ trình đã cho luôn có hai nghi m ệ phân bi t ệ x , x 1 2 v i ớ m i ọ m x x 2 m 1 1 2 Theo đ nh l ị
ý Vi-et ta có: x x 3 1 2 Vì x x 3 0 x , x x x
x 0 & x 0 1 2 nên 1 2 trái d u nhau m ấ à 1 2 nên 1 2
Khi đó ta có x x 5 x x 5
x x 5
x x 5 1 2 1 2 1 2 1 2
2m 1 5 m 3 V y ậ m 3 th a m ỏ ãn đ bài ề . M i
ọ thắc mắc vui lòng xin liên hệ hotline: 084 283 45 85
Đề thi vào 10 môn Toán tỉnh Hải Dương năm 2020
475
238 lượt tải
MUA NGAY ĐỂ XEM TOÀN BỘ TÀI LIỆU
CÁCH MUA:
- B1: Gửi phí vào TK:
1133836868- CT TNHH DAU TU VA DV GD VIETJACK - Ngân hàng MB (QR) - B2: Nhắn tin tới Zalo VietJack Official ( nhấn vào đây ) để xác nhận thanh toán và tải tài liệu - giáo án
Liên hệ ngay Hotline hỗ trợ: 084 283 45 85
Đề thi được cập nhật liên tục trong gói này từ nay đến hết tháng 6/2023. Chúng tôi đảm bảo đủ số lượng đề đã cam kết hoặc có thể nhiều hơn, tất cả có BẢN WORD, LỜI GIẢI CHI TIẾT và tải về dễ dàng.
Để tải tài liệu gốc về máy bạn click vào nút Tải Xuống ở trên!
Thuộc bộ (mua theo bộ để tiết kiệm hơn):
- Tailieugiaovien.com.vn giới thiệu bộ 63 đề thi vào 10 môn Toán hệ không chuyên năm 2020 nhằm giúp Giáo viên có thêm tài liệu tham khảo đề luyện thi Toán ôn luyện
- File word có lời giải chi tiết 100%.
- Mua trọn bộ sẽ tiết kiệm hơn tải lẻ 50%.
Đánh giá
4.6 / 5(475 )5
4
3
2
1
Trọng Bình
Tài liệu hay
Giúp ích cho tôi rất nhiều
Duy Trần
Tài liệu chuẩn
Rất thích tài liệu bên VJ soạn (bám sát chương trình dạy)
TÀI LIỆU BỘ BÁN CHẠY MÔN Toán Học
Xem thêmTÀI LIỆU BỘ BÁN CHẠY Ôn vào 10
Xem thêmTài liệu bộ mới nhất

Đây là b nả xem thử, vui lòng mua tài li u đ xem chi ti t (có l i gi i)ệ ể ế ờ ả
S GIÁO D C VÀ ĐÀO T OỞ Ụ Ạ
H I D NGẢ ƯƠ
Đ CHÍNH TH C Ề Ứ
KỲ THI TUY N SINH L P 10 THPTỂ Ớ
Năm h c 2019-2020ọ
Môn thi: TOÁN
Th i gian : 120 phút ờ
Câu 1. (2,0 đi m)ể
1) Gi i ph ng trình: ả ươ
2
4 4 9 3x x
2) Gi i h ph ng trình: ả ệ ươ
3 5
2 0
x y
y x
Câu 2. (2,0 đi m)ể
1) Cho hai đ ng th ng ườ ẳ
1
: 2 5d y x
và
2
: 4d y x m
(
m
là tham s ). Tìm t t ố ấ
c các giá tr c a tham s ả ị ủ ố
m
đ ể
1
d
và
2
d
c t nhau t i m t đi m trên tr c ắ ạ ộ ể ụ
hoành
Ox
2) Rút g n bi u th c: ọ ể ứ
2 1 2
:
9
3 3
x x x
P
x
x x x x
(v i ớ
0, 9, 25)x x x
Câu 3. (2,0 đi m)ể
1) Theo k ho ch, m t x ng may ph i may xong 360 b qu n áo trong m t th i ế ạ ộ ưở ả ộ ầ ộ ờ
gian quy đ nh. Đ n khi th c hi n, m i ngày x ng đã may nhi u h n 4 b qu n ị ế ự ệ ỗ ưở ề ơ ộ ầ
áo so v i s b qu n áo ph i may trong m t ngày theo k ho ch. Vì th x ng ớ ố ộ ầ ả ộ ế ạ ế ưở
đã hoàn thành k ho ch tr c 1 ngày. H i theo k ho ch, m i ngày x ng ph i ế ạ ướ ỏ ế ạ ỗ ưở ả
may bao nhiêu b qu n áo?ộ ầ
2) Cho ph ng trình: ươ
2
2 1 3 0x m x
(
m
là tham s ). Ch ng minh r ng ố ứ ằ
ph ng trình đã cho luôn có hai nghi m phân bi t ươ ệ ệ
1 2
,x x
v i m i ớ ọ
.m
Tìm các giá tr ị
c a m sao cho ủ
1 2
5x x
và
1 2
x x
Câu 4. (3,0 đi m)ể
T đi m ừ ể
A
n m ngoài đ ng tròn (O) k hai ti p tuy n ằ ườ ẻ ế ế
,AB AC
v i đ ng tròn ớ ườ
(B, C là các ti p đi m). Trên n a m t ph ng b l đ ng th ng AO ch a đi m B v ế ể ử ặ ẳ ờ ầ ườ ẳ ứ ể ẽ
cát tuy n ế
AMN
v i đ ng tròn (O) (ớ ườ
,AM AN MN
không đi qua O). G i I là trung ọ
đi m c a ể ủ
MN
1) Ch ng minh: T giác ứ ứ
AIOC
là t giác n i ti pứ ộ ế
2) G i H là giao đi m c a ọ ể ủ
AO
và BC. Ch ng minh ứ
. .AH AO AM AN
và t giácư
MNOH
là t giác n i ti pứ ộ ế
3) Qua M k đ ng th ng song song v i ẻ ườ ẳ ớ
,BN
c t ắ
AB
và BC theo th t t i E và F. ứ ự ạ
Ch ng minh r ng ứ ằ
M
là trung đi m c a ể ủ
.EF
Câu 5. (1,0 đi m)ể
M iọ th c m c vui lòng xin liên hắ ắ ệ hotline: 084 283 45 85

Đây là b nả xem thử, vui lòng mua tài li u đ xem chi ti t (có l i gi i)ệ ể ế ờ ả
Cho các s d ng ố ươ
, ,a b c
th a mãn đi u ki n: ỏ ề ệ
2019a b c
Tìm giá tr nh nh t c a bi u th c:ị ỏ ấ ủ ể ứ
2 2 2 2 2 2
2 2 2 2 2 2P a ab b b bc c c ca a
M iọ th c m c vui lòng xin liên hắ ắ ệ hotline: 084 283 45 85

Đây là b nả xem thử, vui lòng mua tài li u đ xem chi ti t (có l i gi i)ệ ể ế ờ ả
ĐÁP ÁN
Câu 1.
2 2
1) 4 4 9 3 4 4 9 9
0
4 1 0
1
x x x x
x
x x
x
V y ậ
0;1S
3 5 3 5 2 5 5 2
2)
2 0 2 0 3 5 2 1
x y x y x y y x
y x y x x y x y y
V y h ph ng trình có nghi m duy nh t ậ ệ ươ ệ ấ
; 2;1x y
Câu 2.
1) Do
2 4
nên
1
d
và
2
d
luôn c t nhau.ắ
Giao đi m c a ể ủ
1
d
v i tr c ớ ụ
Ox
là đi m ể
5
;0
2
M
Giao đi m c a ể ủ
2
d
v i tr c Ox là đi m ớ ụ ể
;0
4
m
N
Đ ể
1
d
và
2
d
c t nhau t i m t đi m trên tr c ắ ạ ộ ể ụ
Ox
thì
5
10
4 2
m
m
V y ậ
10m
th a mãn đ bài.ỏ ề
3 2 1 2 3
2) :
3 3 . 3
3 5
:
3 3 . 3
. 3 . 3
.
5 5
3 3
x x x x x
P
x x x x
x x x
x x x x
x x x x
x
x x
x x
V y ậ
5
x
P
x
v i ớ
0, 9, 25x x x
Câu 3.
1) G i ọ
x
là s b qu n áo mà x ng may ph i may trong m t ngày theo k ho ch ố ộ ầ ưở ả ộ ế ạ
M iọ th c m c vui lòng xin liên hắ ắ ệ hotline: 084 283 45 85

Đây là b nả xem thử, vui lòng mua tài li u đ xem chi ti t (có l i gi i)ệ ể ế ờ ả
0 360,x x
Suy ra s ngày mà x ng may ph i hoàn thành theo k ho ch là ố ưở ả ế ạ
360
x
(ngày)
S b qu n áo mà x ng th c t đã may trong m t ngày là ố ộ ầ ưở ự ế ọ
4x
(b )ộ
S ngày th c t mà x ng may đã hoàn thành là ố ự ế ưở
360
4x
(ngày)
Theo bài ta có ph ng trình: ươ
360 360
1 (1)
4x x
2
36( )
1 4 1440 0
40( )
x tm
x x
x ktm
V y theo k ho ch m i ngày x ng ph i may ậ ế ạ ỗ ưở ả
36
b qu n áoộ ầ
2. Xét ph ng trình ươ
2
2 1 3 0x m x
có
2
2
2 1 4. 3 2 1 12 0m m
0
ph ng trình đã cho luôn có hai nghi m phân bi t ươ ệ ệ
1 2
,x x
v i m i ớ ọ
m
Theo đ nh lý Vi-et ta có: ị
1 2
1 2
2 1
3
x x m
x x
Vì
1 2
3 0x x
nên
1 2
,x x
trái d u nhau mà ấ
1 2
x x
nên
1 2
0 & 0x x
Khi đó ta có
1 2 1 2 1 2 1 2
5 5 5 5x x x x x x x x
2 1 5 3m m
V y ậ
3m
th a mãn đ bài. ỏ ề
M iọ th c m c vui lòng xin liên hắ ắ ệ hotline: 084 283 45 85

Đây là b nả xem thử, vui lòng mua tài li u đ xem chi ti t (có l i gi i)ệ ể ế ờ ả
Câu 4.
1) Vì I là trung đi m c a MN nên ể ủ
0
90OI MN OIA
Vì AC là ti p tuy n c a đ ng tròn ế ế ủ ườ
O
t i C nên ạ
0
90AC OC OCA
Xét t giác ứ
AIOC
có:
0 0 0
90 90 180AIO AC O
Mà hai góc này v trí đ i nhau nên suy ra t giác ở ị ố ứ
AIOC
là t giác n i ti pứ ộ ế
2) Vì
,AB A C
là hai ti p tuy n c a đ ng tròn (O)ế ế ủ ườ
AB AC
và AO là tia phân giác
c a ủ
BAC ABC
cân t i O có AO là đ ng phân giác nên AO cũng là đ ng ạ ườ ườ
cao c a ủ
ABC AO BC
hay
.AH BC
Vì AB là ti p tuy n c a đ ng tròn ế ế ủ ườ
O
t i B nênạ
0
90AB OB OBA ABO
vuông t i Bạ
Xét
ABO
vuông t i B có ạ
BH
là đ ng cao ườ
2
. (1)AB AH AO
Xét đ ng tròn (O) có ườ
ABM
là góc t o b i ti p tuy n và dây cung ch n cungạ ở ế ế ắ
,BM ANB
là góc n i ti p ch n cung BMộ ế ắ
ABM ANB
M iọ th c m c vui lòng xin liên hắ ắ ệ hotline: 084 283 45 85
