ệ xem ể chi ti t ế (có l i ờ gi i ả )
SỞ GD&ĐT HÒA BÌNH KỲ THI TUY N Ể SINH VÀO L P Ớ 10 TRƯ N
Ờ G THPT CHUYÊN HOÀNG VĂN THỤ Đ C Ề HÍNH TH C Ứ NĂM H C 2019-2020 Ọ Đ Ề THI MÔN TOÁN (DÀNH CHO T T Ấ C C Ả ÁC THÍ SINH)
Ngày thi: 12 tháng 6 năm 2019 Th i
ờ gian làm bài: 120 phút (không k gi ể ao đ ) ề (Đề thi g m c ồ ó 01 trang, 05 câu) Câu 1. (2,0 đi m ể ) 1) a) Tìm x bi t ế 4x 2 0 A 5 3 5 3 6 b) Rút g n: ọ 2) Cho đư ng ờ th ng ẳ d : y 2 x 2 a) Vẽ đư ng ờ th ng ẳ d trong h t ệ r c t ụ a ọ đ ộ Oxy b) Tìm m đ đ ể ư ng t ờ h ng
ẳ d ' : y m
1 x 2m song song v i ớ đư ng t ờ h ng ẳ d Câu 2. (2,0 đi m ể ) Cho phư ng t ơ rình 2
2x 6x 2m 5 0 ( m là tham số) 1) Gi i ả phư ng t ơ rình v i ớ m 2 1 1 6 2) Tìm m đ ph ể ư ng t ơ rình có hai nghi m ệ x , x x x 1 2 th a m ỏ ãn: 1 2 Câu 3. (2,0 đi m ể ) Bác Bình dự đ nh t ị r ng 300 cây ồ cam theo nguyên t c ắ tr ng t ồ hành các hàng, m i ỗ hàng có số cây b ng ằ nhau. Nh ng khi ư th c hi ự n bác B ệ ình đã tr ng t ồ hêm 2 hàng, m i ỗ hàng thêm 3 cây so v i ớ dự ki n ban đ ế u nên đã t ầ r ng đ ồ ư c ợ t t ấ c ả 391cây. Tính số cây trên m t ộ hàng mà bác Bình d ki ự n t ế r ng ban ồ đ u ầ Câu 4. (3,0 đi m ể ) Cho đư ng t ờ ròn (O) đư ng kí ờ nh AB,đi m ể I n m ằ gi a ữ hai đi m
ể A và O ( I khác A và O). K đ ẻ ư ng t ờ h ng ẳ vuông góc v i ớ AB t i ạ I, đư ng ờ th ng này c ẳ t ắ đư ng t ờ ròn (O) t i ạ M và N. G i ọ S là giao đi m ể c a ủ hai đư ng t ờ h ng
ẳ BM và AN, qua S k đ ẻ ư ng ờ th ng ẳ song song v i ớ MN, đư ng ờ th ng này c ẳ t ắ các đư ng ờ th ng ẳ AB và AM lần lư t ợ t i ạ K và H 1) Ch ng ứ minh r ng t ằ gi ứ ác SKAM n i ộ ti p ế 2) Ch ng ứ minh r ng ằ S . A SN S . B SM 3) Ch ng ứ mnh r ng ằ KM là ti p t ế uy n c ế a đ ủ ư ng ờ tròn (O) 4) Ch ng ứ minh r ng 3 đi ằ m
ể H , N, B th ng hàng ẳ Câu 5. (1,0 đi m ể ) Cho hai số th c ự dư ng ơ a,b th a
ỏ mãn a b 4 ab M i
ọ thắc mắc vui lòng xin liên hệ hotline: 084 283 45 85
ệ xem ể chi ti t ế (có l i ờ gi i ả ) a b 1 Ch ng ứ minh r ng: ằ 2 2
4b 1 4a 1 2 M i
ọ thắc mắc vui lòng xin liên hệ hotline: 084 283 45 85
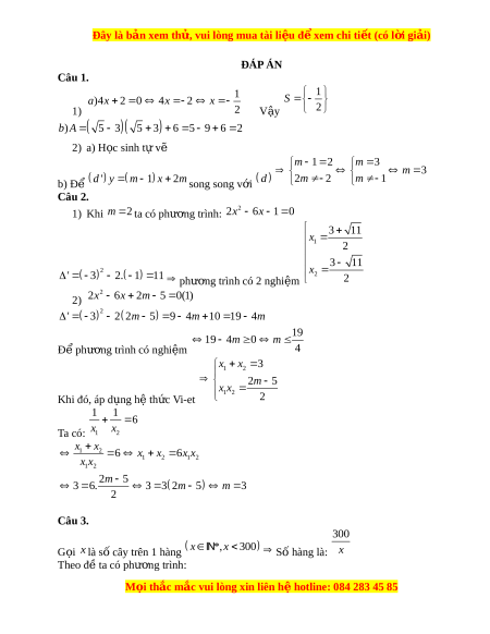
ệ xem ể chi ti t ế (có l i ờ gi i ả ) ĐÁP ÁN Câu 1. 1 1 a)4x 2 0
4x 2 x S 1) 2 V y ậ 2 b) A
5 3 5 3 6 5 9 6 2 2) a) H c ọ sinh t v ự ẽ m 1 2 m 3 m 3 b) Đ
ể d ' y m
1 x 2m song song v i ớ d 2m 2 m 1 Câu 2. 1) Khi m 2 ta có phư ng t ơ rình: 2
2x 6x 1 0 3 11 x1 2 3 11 x 2 ' 3 2. 1 1 1 2 phư ng ơ trình có 2 nghi m ệ 2 2
2) 2x 6x 2m 5 0 (1) 2 '
3 2 2m 5 9 4m 10 1 9 4m 19 19 4m 0 m Để phư ng t ơ rình có nghi m ệ 4 x x 3 1 2 2m 5 x x 1 2 Khi đó, áp d ng ụ h t ệ h c ứ Vi-et 2 1 1 6 Ta có: x x 1 2 x x 1 2 6 x x 6 x x 1 2 1 2 x x 1 2 2m 5 3 6 . 3 3
2m 5 m 3 2 Câu 3. 300 G i
ọ x là số cây trên 1 hàng x *
, x 300 Số hàng là: x Theo đ t ề a có phư ng ơ trình: M i
ọ thắc mắc vui lòng xin liên hệ hotline: 084 283 45 85
ệ xem ể chi ti t ế (có l i ờ gi i ả ) 300 2
x 3 391 x 900 300 2x 6 39 1 x 45 x (ktm) 2 2x 85x 900 0 2 x 20( tm) V y ậ d đ ự nh bác B ị ình tr ng 20 cây/ ồ 1 hàng Câu 4.
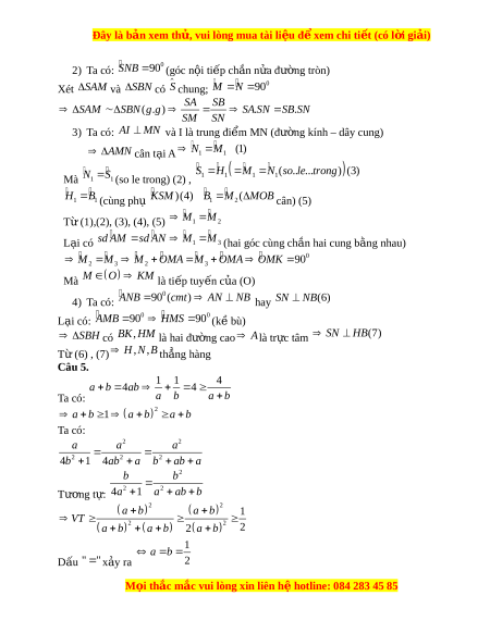
1) Vì MN / /SH mà 0
BI MN BK SH SKA 9 0 0 AMB 9 0 (góc n i ộ ti p ch ế n ắ n a đ ử ư ng ờ tròn ) 0 SMA 9 0 T gi ứ ác SKAM có 0 0 0 K M 9 0 90 1
80 SKAM là t gi ứ ác n i ộ ti p. ế M i
ọ thắc mắc vui lòng xin liên hệ hotline: 084 283 45 85
Đề thi vào 10 môn Toán tỉnh Hòa Bình năm 2020
495
248 lượt tải
MUA NGAY ĐỂ XEM TOÀN BỘ TÀI LIỆU
CÁCH MUA:
- B1: Gửi phí vào TK:
1133836868- CT TNHH DAU TU VA DV GD VIETJACK - Ngân hàng MB (QR) - B2: Nhắn tin tới Zalo VietJack Official ( nhấn vào đây ) để xác nhận thanh toán và tải tài liệu - giáo án
Liên hệ ngay Hotline hỗ trợ: 084 283 45 85
Đề thi được cập nhật liên tục trong gói này từ nay đến hết tháng 6/2023. Chúng tôi đảm bảo đủ số lượng đề đã cam kết hoặc có thể nhiều hơn, tất cả có BẢN WORD, LỜI GIẢI CHI TIẾT và tải về dễ dàng.
Để tải tài liệu gốc về máy bạn click vào nút Tải Xuống ở trên!
Thuộc bộ (mua theo bộ để tiết kiệm hơn):
- Tailieugiaovien.com.vn giới thiệu bộ 63 đề thi vào 10 môn Toán hệ không chuyên năm 2020 nhằm giúp Giáo viên có thêm tài liệu tham khảo đề luyện thi Toán ôn luyện
- File word có lời giải chi tiết 100%.
- Mua trọn bộ sẽ tiết kiệm hơn tải lẻ 50%.
Đánh giá
4.6 / 5(495 )5
4
3
2
1
Trọng Bình
Tài liệu hay
Giúp ích cho tôi rất nhiều
Duy Trần
Tài liệu chuẩn
Rất thích tài liệu bên VJ soạn (bám sát chương trình dạy)
TÀI LIỆU BỘ BÁN CHẠY MÔN Toán Học
Xem thêmTÀI LIỆU BỘ BÁN CHẠY Ôn vào 10
Xem thêmTài liệu bộ mới nhất

Đây là b nả xem thử, vui lòng mua tài li u đ xem chi ti t (có l i gi i)ệ ể ế ờ ả
S GD&ĐT HÒA BÌNHỞ
Đ CHÍNH TH CỀ Ứ
KỲ THI TUY N SINH VÀO L P 10Ể Ớ
TR NG THPT CHUYÊN HOÀNG VĂN THƯỜ Ụ
NĂM H C 2019-2020Ọ
Đ THI MÔN TOÁNỀ
(DÀNH CHO T T C CÁC THÍ SINH)Ấ Ả
Ngày thi: 12 tháng 6 năm 2019
Th i gian làm bài: 120 phút (không k giao đ )ờ ể ề
(Đ thi g m có 01 trang, 05 câu)ề ồ
Câu 1. (2,0 đi m)ể
1) a) Tìm
x
bi t ế
4 2 0x
b) Rút g n: ọ
5 3 5 3 6A
2) Cho đ ng th ng ườ ẳ
: 2 2d y x
a) V đ ng th ng ẽ ườ ẳ
d
trong h tr c t a đ ệ ụ ọ ộ
Oxy
b) Tìm
m
đ đ ng th ng ể ườ ẳ
' : 1 2d y m x m
song song v i đ ng th ng ớ ườ ẳ
d
Câu 2. (2,0 đi m)ể
Cho ph ng trình ươ
2
2 6 2 5 0x x m
(
m
là tham s )ố
1) Gi i ph ng trình v i ả ươ ớ
2m
2) Tìm
m
đ ph ng trình có hai nghi m ể ươ ệ
1 2
,x x
th a mãn: ỏ
1 2
1 1
6
x x
Câu 3. (2,0 đi m)ể
Bác Bình d đ nh tr ng 300 cây cam theo nguyên t c tr ng thành các hàng, m i ự ị ồ ắ ồ ỗ
hàng có s cây b ng nhau. Nh ng khi th c hi n bác Bình đã tr ng thêm 2 hàng, m i ố ằ ư ự ệ ồ ỗ
hàng thêm 3 cây so v i d ki n ban đ u nên đã tr ng đ c t t c ớ ự ế ầ ồ ượ ấ ả
391
cây. Tính s cây ố
trên m t hàng mà bác Bình d ki n tr ng ban đ uộ ự ế ồ ầ
Câu 4. (3,0 đi m)ể
Cho đ ng tròn (O) đ ng kính ườ ườ
,AB
đi m I n m gi a hai đi m ể ằ ữ ể
A
và O (
I
khác A
và O). K đ ng th ng vuông góc v i ẻ ườ ẳ ớ
AB
t i I, đ ng th ng này c t đ ng tròn (O) t iạ ườ ẳ ắ ườ ạ
M và N. G i ọ
S
là giao đi m c a hai đ ng th ng ể ủ ườ ẳ
BM
và AN, qua S k đ ng th ng ẻ ườ ẳ
song song v i ớ
,MN
đ ng th ng này c t các đ ng th ng ườ ẳ ắ ườ ẳ
AB
và AM l n l t t i ầ ượ ạ
K
và
H
1) Ch ng minh r ng t giác ứ ằ ứ
SKAM
n i ti pộ ế
2) Ch ng minh r ng ứ ằ
. .SA SN SB SM
3) Ch ng mnh r ng ứ ằ
KM
là ti p tuy n c a đ ng tròn (O)ế ế ủ ườ
4) Ch ng minh r ng 3 đi m ứ ằ ể
, ,H N B
th ng hàngẳ
Câu 5. (1,0 đi m) ể Cho hai s th c d ng ố ự ươ
,a b
th a mãn ỏ
4a b ab
M iọ th c m c vui lòng xin liên hắ ắ ệ hotline: 084 283 45 85

Đây là b nả xem thử, vui lòng mua tài li u đ xem chi ti t (có l i gi i)ệ ể ế ờ ả
Ch ng minh r ng: ứ ằ
2 2
1
4 1 4 1 2
a b
b a
M iọ th c m c vui lòng xin liên hắ ắ ệ hotline: 084 283 45 85

Đây là b nả xem thử, vui lòng mua tài li u đ xem chi ti t (có l i gi i)ệ ể ế ờ ả
ĐÁP ÁN
Câu 1.
1)
1
)4 2 0 4 2
2
a x x x
V y ậ
1
2
S
) 5 3 5 3 6 5 9 6 2b A
2) a) H c sinh t vọ ự ẽ
b) Đ ể
' 1 2d y m x m
song song v i ớ
d
1 2 3
3
2 2 1
m m
m
m m
Câu 2.
1) Khi
2m
ta có ph ng trình: ươ
2
2 6 1 0x x
2
' 3 2. 1 11
ph ng trình có 2 nghi m ươ ệ
1
2
3 11
2
3 11
2
x
x
2)
2
2 6 2 5 0(1)x x m
2
' 3 2 2 5 9 4 10 19 4m m m
Đ ph ng trình có nghi m ể ươ ệ
19
19 4 0
4
m m
Khi đó, áp d ng h th c Vi-et ụ ệ ứ
1 2
1 2
3
2 5
2
x x
m
x x
Ta có:
1 2
1 1
6
x x
1 2
1 2 1 2
1 2
6 6
2 5
3 6. 3 3 2 5 3
2
x x
x x x x
x x
m
m m
Câu 3.
G i ọ
x
là s cây trên 1 hàng ố
*, 300x x
S hàng là: ố
300
x
Theo đ ta có ph ng trình:ề ươ
M iọ th c m c vui lòng xin liên hắ ắ ệ hotline: 084 283 45 85

Đây là b nả xem thử, vui lòng mua tài li u đ xem chi ti t (có l i gi i)ệ ể ế ờ ả
2
300
2 3 391
900
300 2 6 391
45
( )
2 85 900 0
2
20( )
x
x
x
x
x ktm
x x
x tm
V y d đ nh bác Bình tr ng 20 cây/ 1 hàngậ ự ị ồ
Câu 4.
1) Vì
/ /MN SH
mà
0
90BI MN BK SH SKA
0
90AMB
(góc n i ti p ch n n a đ ng tròn )ộ ế ắ ử ườ
0
90SMA
T giác ứ
SKAM
có
0 0 0
90 90 180K M SKAM
là t giác n i ti p.ứ ộ ế
M iọ th c m c vui lòng xin liên hắ ắ ệ hotline: 084 283 45 85

Đây là b nả xem thử, vui lòng mua tài li u đ xem chi ti t (có l i gi i)ệ ể ế ờ ả
2) Ta có:
0
90SNB
(góc n i ti p ch n n a đ ng tròn)ộ ế ắ ử ườ
Xét
SAM
và
SBN
có
S
chung;
0
90M N
( . ) . .
SA SB
SAM SBN g g SA SN SB SN
SM SN
3) Ta có:
AI MN
và I là trung đi m MN (đ ng kính – dây cung)ể ườ
AMN
cân t i Aạ
1 1
(1)N M
Mà
1 1
N S
(so le trong) (2) ,
1 1 1 1
( .. ... ) (3)S H M N so le trong
1 1
H B
(cùng ph ụ
)(4)KSM
1 2
(B M MOB
cân) (5)
T (1),(2), (3), (4), (5) ừ
1 2
M M
L i có ạ
1 3
sd AM sd AN M M
(hai góc cùng ch n hai cung b ng nhau)ắ ằ
0
2 3 2 3
90M M M OMA M OMA OMK
Mà
M O KM
là ti p tuy n c a (O)ế ế ủ
4) Ta có:
0
90 ( )ANB cmt AN NB
hay
(6)SN NB
L i có: ạ
0 0
90 90AMB HMS
(k bù)ề
SBH
có
,BK HM
là hai đ ng caoườ
A
là tr c tâm ự
(7)SN HB
T (6) , (7)ừ
, ,H N B
th ng hàngẳ
Câu 5.
Ta có:
1 1 4
4 4a b ab
a b a b
2
1a b a b a b
Ta có:
2 2
2 2 2
4 1 4
a a a
b ab a b ab a
T ng t : ươ ự
2
2 2
4 1
b b
a a ab b
2 2
2 2
1
2
2
a b a b
VT
a b a b a b
D u ấ
" "
x y ra ả
1
2
a b
M iọ th c m c vui lòng xin liên hắ ắ ệ hotline: 084 283 45 85
