SỞ GIÁO D C Ụ VÀ ĐÀO T O Ạ KỲ THI TUY N Ể SINH VÀO L P Ớ 10 THPT KHÁNH HÒA NĂM H C Ọ 2021 – 2022 Môn thi : TOÁN Đ Ề THI CHÍNH TH C Ứ Ngày thi : 03/6/2021 Th i
ờ gian :120 phút (không k t ể h i ờ gian giao đ ) ề Câu 1. (2,00 đi m
ể ) Không sử d ng m ụ áy tính c m ầ tay 1 A 18 2 8 50 a) Tính giá tr bi ị u t ể h c ứ 5 3 x 2 y 11 b) Gi i ả h ph ệ ư ng t ơ
rình : x 2y 9 Câu 2. (2,50 đi m ể ) Trên m t ặ ph ng t ẳ a ọ đ , cho par ộ abol P 2
: y x và đư ng ờ th ng ẳ d 2 : y 2
x m 2m m là tham số) a) Bi t ế A là m t ộ đi m ể thu c
ộ P và có hoành đ ộ x 2 A . Xác đ nh t ị a ọ đ đi ộ m ể A b) Tìm t t ấ cả các giá t c ị a ủ m đ ể d c t ắ P t i ạ hai đi m ể phân bi t ệ c) Xác đ nh t ị t ấ cả các giá tr c ị a ủ m đ ể d c t ắ P t i ạ hai đi m ể phân bi t ệ có 2 hoành độ lần lư t ợ là x x x 2x 3 m 1 và 2 th a m ỏ ãn đi u ki ề n ệ 1 2 Câu 3. (1,50 đi m
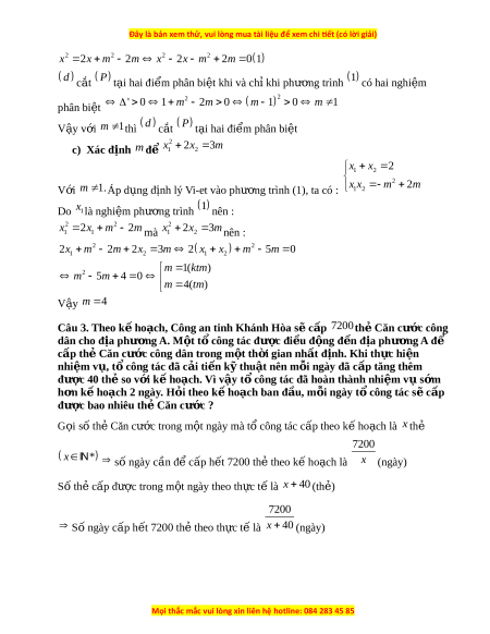
ể ) Theo kế ho ch, C ạ
ông an tinh Khánh Hòa sẽ c p ấ 7200thẻ Căn
cước công dân cho địa phư ng ơ A. M t ộ tổ công tác đư c đi ợ u ề đ ng đ ộ n đ ế a ph ị ư ng ơ A đ c ể ấp th C ẻ ăn cư c ớ công dân trong m t ộ th i ờ gian nh t ấ đ nh. K ị hi th c ự hi n ệ nhiệm v , t ụ ổ công tác đã c i ả ti n k ế t ỹ hu t
ậ nên mỗi ngày đã c p t ấ ăng thêm đư c ợ 40 thẻ so v i ớ k ho ế ch. ạ Vì v y ậ t công t ổ ác đã hoàn thành nhi m ệ v s ụ m ớ h n ơ k ho ế ch ạ 2 ngày. H i ỏ theo k ho ế ch ạ ban đ u, m ầ ỗi ngày t công t ổ ác s c ẽ p đ ấ ư c ợ bao nhiêu thẻ Căn cư c ớ ? Câu 4.(3,00 đi m
ể ) Cho tam giác ABC có ba góc nh n, n ọ i ộ ti p t ế rong đư ng t ờ ròn ;
O R và hai đư ng cao ờ BE,CF c t ắ nhau t i ạ H a) Ch ng ứ minh BCEF là t gi ứ ác n i ộ ti p đ ế ư ng ờ tròn b) Ch ng
ứ minh OA EF
c) Hai đư ng ờ th ng ẳ
BE,CF lần lư t ợ c t ắ đư ng t ờ ròn O t i ạ đi m ể th hai ứ là N và . P Đư ng ờ th ng ẳ AH c t ắ đư ng t ờ ròn O t i ạ đi m ể th hai ứ là M và c t ắ BC AM BN CP t i ạ D. Tính giá tr bi ị u t ể h c ứ AD BE CF Câu 5. (1,00 đi m ể ) 2 2 Gi i ả phư ng t ơ
rình : x 1 3x 4x 1
8 2x x 1 ĐÁP ÁN Đ Ề THI VÀO L P Ớ 10 T N
Ỉ H KHÁNH HÒA NĂM 2021 Câu 1. a) Tính giá tr bi ị u t ể h c ứ 1 1 A 18 2 8 50 9.2 2 4.2 25.2 5 5 3 2 4 2 2 6 2 V y ậ A 6 2 3 x 2 y 11 b) Giải h p ệ hư ng t ơ
rình x 2 y 9 4x 2 0 3 x 2 y 1 1 x 5 9 x x 2 y 9 y y 2 Ta có : 2 V y ậ h ph ệ ư ng t ơ rình có nghi m ệ duy nh t ấ ; x y 5;2 Câu 2. a) Xác đ nh t ị a đ ọ đi ộ m ể A Thay x 2 P 2 : y x yA 2 2 4 A vào hàm số ta đư c ợ V y ậ A 2;4 b) Tìm t t ấ cả các giá tr c ị a ủ m đ
ể d cắt P tại hai đi m ể phân bi t ệ Phư ng ơ trình hoành đ gi ộ ao đi m ể c a
ủ d và P là :
2 2 2 2 x 2
x m 2m x 2x m 2m 0 1 d c t ắ P t i ạ hai đi m ể phân bi t ệ khi và ch khi ỉ phư ng t ơ rình 1 có hai nghiệm
phân biệt m m m 2 2 ' 0 1 2 0 1 0 m 1 V y ậ v i ớ m 1 thì d c t ắ P t i ạ hai đi m ể phân bi t ệ 2 c) Xác đ nh ị m đ
ể x 2x 3 m 1 2 x x 2 1 2 2 V i ớ m 1 .Áp d ng đ ụ ịnh lý Vi-et vào phư ng t ơ
rình (1), ta có : x x m 2m 1 2 Do x 1 1 là nghi m ệ phư ng t ơ rình nên : 2 2 x 2
x m 2m 2 x 2x 3 m 1 1 mà 1 2 nên : 2
2x m 2m 2x 3
m 2 x x 2 m 5m 0 1 2 1 2 m 1 (ktm) 2
m 5m 4 0 m 4 (tm) V y ậ m 4 Câu 3. Theo k ho ế ch, C ạ
ông an tinh Khánh Hòa s c ẽ p ấ 7200th C ẻ ăn cư c công ớ dân cho đ a ph ị ư ng ơ A. M t ộ t công t ổ ác đư c đi ợ u đ ề ng đ ộ n đ ế a p ị hư ng ơ A đ ể cấp th C ẻ ăn cư c
ớ công dân trong m t ộ th i ờ gian nh t ấ đ n ị h. Khi th c hi ự n ệ nhi m ệ v , t ụ công t ổ ác đã c i ả ti n k ế t ỹ hu t ậ nên m i ỗ ngày đã c p t ấ ăng thêm đư c 40 t ợ h s ẻ o v i ớ k ho ế ạch. Vì v y t ậ công t ổ
ác đã hoàn thành nhi m ệ v s ụ m ớ h n k ơ ho ế ch 2 ngày ạ . H i ỏ theo k ho ế ch ban đ ạ u, m ầ i ỗ ngày t công t ổ ác s c ẽ p ấ đư c bao nhi ợ êu th C ẻ ăn cư c ớ ? G i ọ số th C ẻ ăn cư c ớ trong m t ộ ngày mà t công t ổ ác c p t ấ heo k ho ế ch l ạ à x thẻ 7200
x * số ngày cần đ c ể ấp h t ế 7200 th t ẻ heo k ho ế ch l ạ à x (ngày) Số th c ẻ p đ ấ ược trong m t ộ ngày theo th c t ự l ế à x 40 (th ) ẻ 7200 Số ngày cấp h t ế 7200 th t ẻ heo th c t ự l ế à x 40 (ngày)
Vì tổ công tác đã hoàn thành nhi m ệ vụ s m ớ h n k ơ ế ho ch 2 ngày nên ạ ta có phư ng ơ 7200 7200 3600 3600 2 1 trình: x x 40 x x 40
3600 x 40 3600x x x 40 2
3600x 144000 360x x 40 x 3 60(tm) 2
x 40x 144000 0
x 400(ktm) V y ậ theo k ho ế ch ạ ban đ u, m ầ i ỗ ngày t công t ổ ác sẽ c p đ ấ ư c ợ 360 thẻ căn cước
Đề thi vào 10 môn Toán tỉnh Khánh Hòa năm 2022
530
265 lượt tải
MUA NGAY ĐỂ XEM TOÀN BỘ TÀI LIỆU
CÁCH MUA:
- B1: Gửi phí vào TK:
1133836868- CT TNHH DAU TU VA DV GD VIETJACK - Ngân hàng MB (QR) - B2: Nhắn tin tới Zalo VietJack Official ( nhấn vào đây ) để xác nhận thanh toán và tải tài liệu - giáo án
Liên hệ ngay Hotline hỗ trợ: 084 283 45 85
Đề thi được cập nhật liên tục trong gói này từ nay đến hết tháng 6/2023. Chúng tôi đảm bảo đủ số lượng đề đã cam kết hoặc có thể nhiều hơn, tất cả có BẢN WORD, LỜI GIẢI CHI TIẾT và tải về dễ dàng.
Để tải tài liệu gốc về máy bạn click vào nút Tải Xuống ở trên!
Thuộc bộ (mua theo bộ để tiết kiệm hơn):
- Tailieugiaovien.com.vn giới thiệu bộ 63 đề thi chính thức vào 10 môn Toán năm 2022 nhằm giúp Giáo viên có thêm tài liệu tham khảo đề luyện thi Toán vào 10.
- File word có lời giải chi tiết 100%.
- Mua trọn bộ sẽ tiết kiệm hơn tải lẻ 50%.
Đánh giá
4.6 / 5(530 )5
4
3
2
1
Trọng Bình
Tài liệu hay
Giúp ích cho tôi rất nhiều
Duy Trần
Tài liệu chuẩn
Rất thích tài liệu bên VJ soạn (bám sát chương trình dạy)
TÀI LIỆU BỘ BÁN CHẠY MÔN Toán Học
Xem thêmTÀI LIỆU BỘ BÁN CHẠY Ôn vào 10
Xem thêmTài liệu bộ mới nhất

Đây là bản xem thử, vui lòng mua tài liệu để xem chi ết (có lời giải)
S GIÁO D C VÀ ĐÀO T OỞ Ụ Ạ
KHÁNH HÒA
Đ THI CHÍNH TH CỀ Ứ
KỲ THI TUY N SINH VÀO L P 10 THPT Ể Ớ
NĂM H C 2021 – 2022 Ọ
Môn thi : TOÁN
Ngày thi : 03/6/2021
Th i gian :120 phút (không k th i gian giao đ )ờ ể ờ ề
Câu 1. (2,00 đi m) ể Không s d ng máy tính c m tayử ụ ầ
a) Tính giá tr bi u th c ị ể ứ
1
18 2 8 50
5
A
b) Gi i h ph ng trình : ả ệ ươ
3 2 11
2 9
x y
x y
Câu 2. (2,50 đi m)ể
Trên m t ph ng t a đ , cho parabol ặ ẳ ọ ộ
2
:P y x
và đ ng th ngườ ẳ
2
: 2 2d y x m m
m
là tham s )ố
a) Bi t ế
A
là m t đi m thu c ộ ể ộ
P
và có hoành đ ộ
2
A
x
. Xác đ nh t a đ đi m ị ọ ộ ể
A
b) Tìm t t c các giá t c a ấ ả ị ủ
m
đ ể
d
c t ắ
P
t i hai đi m phân bi tạ ể ệ
c) Xác đ nh t t c các giá tr c a ị ấ ả ị ủ
m
đ ể
d
c t ắ
P
t i hai đi m phân bi t có ạ ể ệ
hoành đ l n l t là ộ ầ ượ
1
x
và
2
x
th a mãn đi u ki n ỏ ề ệ
2
1 2
2 3x x m
Câu 3. (1,50 đi m) ể Theo k ho ch, Công an tinh Khánh Hòa s c p ế ạ ẽ ấ
7200
th Căn ẻ
c c công dân cho đ a ph ng A. M t t công tác đ c đi u đ ng đ n đ a ph ng ướ ị ươ ộ ổ ượ ề ộ ế ị ươ
A đ c p th Căn c c công dân trong m t th i gian nh t đ nh. Khi th c hi n ể ấ ẻ ướ ộ ờ ấ ị ự ệ
nhi m v , t công tác đã c i ti n k thu t nên m i ngày đã c p tăng thêm đ c 40 ệ ụ ổ ả ế ỹ ậ ỗ ấ ượ
th so v i k ho ch. Vì v y t công tác đã hoàn thành nhi m v s m h n k ho ch ẻ ớ ế ạ ậ ổ ệ ụ ớ ơ ế ạ
2 ngày. H i theo k ho ch ban đ u, m i ngày t công tác s c p đ c bao nhiêu thỏ ế ạ ầ ỗ ổ ẽ ấ ượ ẻ
Căn c c ?ướ
Câu 4.(3,00 đi m) ể Cho tam giác
ABC
có ba góc nh n, n i ti p trong đ ng trònọ ộ ế ườ
;O R
và hai đ ng cao ườ
,BE CF
c t nhau t i Hắ ạ
a) Ch ng minh ứ
BCEF
là t giác n i ti p đ ng trònứ ộ ế ườ
b) Ch ng minh ứ
OA EF
Mọi thắc mắc vui lòng xin liên hệ hotline: 084 283 45 85

Đây là bản xem thử, vui lòng mua tài liệu để xem chi ết (có lời giải)
c) Hai đ ng th ng ườ ẳ
,BE CF
l n l t c t đ ng tròn ầ ượ ắ ườ
O
t i đi m th hai là ạ ể ứ
N
và
.P
Đ ng th ng ườ ẳ
AH
c t đ ng tròn ắ ườ
O
t i đi m th hai là ạ ể ứ
M
và c t ắ
BC
t i D. Tính giá tr bi u th c ạ ị ể ứ
AM BN CP
AD BE CF
Câu 5. (1,00 đi m)ể
Gi i ph ng trình : ả ươ
2 2
1 3 4 1 8 2 1x x x x x
ĐÁP ÁN Đ THI VÀO L P 10 T NH KHÁNH HÒA NĂM 2021Ề Ớ Ỉ
Câu 1.
a) Tính giá tr bi u th c ị ể ứ
1 1
18 2 8 50 9.2 2 4.2 25.2
5 5
3 2 4 2 2 6 2
A
V y ậ
6 2A
b) Gi i h ph ng trình ả ệ ươ
3 2 11
2 9
x y
x y
Ta có :
4 20
3 2 11 5
9
2 9 2
2
x
x y x
x
x y y
y
V y h ph ng trình có nghi m duy nh t ậ ệ ươ ệ ấ
; 5;2x y
Câu 2.
a) Xác đ nh t a đ đi m Aị ọ ộ ể
Thay
2
A
x
vào hàm s ố
2
:P y x
ta đ c ượ
2
2 4
A
y
V y ậ
2;4A
b) Tìm t t c các giá tr c a ấ ả ị ủ
m
đ ể
d
c t ắ
P
t i hai đi m phân bi tạ ể ệ
Ph ng trình hoành đ giao đi m c a ươ ộ ể ủ
d
và
P
là :
Mọi thắc mắc vui lòng xin liên hệ hotline: 084 283 45 85

Đây là bản xem thử, vui lòng mua tài liệu để xem chi ết (có lời giải)
2 2 2 2
2 2 2 2 0 1x x m m x x m m
d
c t ắ
P
t i hai đi m phân bi t khi và ch khi ph ng trình ạ ể ệ ỉ ươ
1
có hai nghi m ệ
phân bi t ệ
2
2
' 0 1 2 0 1 0 1m m m m
V y v i ậ ớ
1m
thì
d
c t ắ
P
t i hai đi m phân bi tạ ể ệ
c) Xác đ nh ị
m
đ ể
2
1 2
2 3x x m
V i ớ
1.m
Áp d ng đ nh lý Vi-et vào ph ng trình (1), ta có : ụ ị ươ
1 2
2
1 2
2
2
x x
x x m m
Do
1
x
là nghi m ph ng trình ệ ươ
1
nên :
2 2
1 1
2 2x x m m
mà
2
1 2
2 3x x m
nên :
2 2
1 2 1 2
2
2 2 2 3 2 5 0
1( )
5 4 0
4( )
x m m x m x x m m
m ktm
m m
m tm
V y ậ
4m
Câu 3. Theo k ho ch, Công an tinh Khánh Hòa s c p ế ạ ẽ ấ
7200
th Căn c c côngẻ ướ
dân cho đ a ph ng A. M t t công tác đ c đi u đ ng đ n đ a ph ng A đ ị ươ ộ ổ ượ ề ộ ế ị ươ ể
c p th Căn c c công dân trong m t th i gian nh t đ nh. Khi th c hi n ấ ẻ ướ ộ ờ ấ ị ự ệ
nhi m v , t công tác đã c i ti n k thu t nên m i ngày đã c p tăng thêm ệ ụ ổ ả ế ỹ ậ ỗ ấ
đ c 40 th so v i k ho ch. Vì v y t công tác đã hoàn thành nhi m v s m ượ ẻ ớ ế ạ ậ ổ ệ ụ ớ
h n k ho ch 2 ngày. H i theo k ho ch ban đ u, m i ngày t công tác s c p ơ ế ạ ỏ ế ạ ầ ỗ ổ ẽ ấ
đ c bao nhiêu th Căn c c ?ượ ẻ ướ
G i s th Căn c c trong m t ngày mà t công tác c p theo k ho ch là ọ ố ẻ ướ ộ ổ ấ ế ạ
x
thẻ
*x
s ngày c n đ c p h t 7200 th theo k ho ch là ố ầ ể ấ ế ẻ ế ạ
7200
x
(ngày)
S th c p đ c trong m t ngày theo th c t là ố ẻ ấ ượ ộ ự ế
40x
(th )ẻ
S ngày c p h t 7200 th theo th c t là ố ấ ế ẻ ự ế
7200
40x
(ngày)
Mọi thắc mắc vui lòng xin liên hệ hotline: 084 283 45 85

Đây là bản xem thử, vui lòng mua tài liệu để xem chi ết (có lời giải)
Vì t công tác đã hoàn thành nhi m v s m h n k ho ch 2 ngày nên ta có ph ng ổ ệ ụ ớ ơ ế ạ ươ
trình:
7200 7200 3600 3600
2 1
40 40x x x x
2
2
3600 40 3600 40
3600 144000 360 40
360( )
40 144000 0
400( )
x x x x
x x x
x tm
x x
x ktm
V y theo k ho ch ban đ u, m i ngày t công tác s c p đ c ậ ế ạ ầ ỗ ổ ẽ ấ ượ
360
th căn c cẻ ướ
Mọi thắc mắc vui lòng xin liên hệ hotline: 084 283 45 85

Đây là bản xem thử, vui lòng mua tài liệu để xem chi ết (có lời giải)
Câu 4.
a) Ch ng minh r ng ứ ằ
BCEF
là t giác n i ti p ứ ộ ế
T giác ứ
BCEF
có
90BFC BEC gt
Suy ra t giác ứ
BCEF
n i ti p (T giác có hai đ nh k cùng nhìn m t c nh d i các ộ ế ứ ỉ ề ộ ạ ướ
góc b ng nhau)ằ
b) Ch ng minh ứ
OA EF
K ti p tuy n ẻ ế ế
Ax
c a ủ
O
Ta có :
CAx CBA
(góc n i ti p và góc t o b i ti p tuy n dây cung cùng ch n ộ ế ạ ở ế ế ắ
cung
)AC
mà
CBA CBF AEF
(góc ngoài và góc trong t i đ nh đ i di n c a ạ ỉ ố ệ ủ
t giác n i ti p ứ ộ ế
)BCEF
CAx AEF
Mà 2 góc này v trí so le trong ở ị
/ /Ax EF
Mọi thắc mắc vui lòng xin liên hệ hotline: 084 283 45 85
