SỞ GIÁO D C Ụ VÀ ĐÀO T O Ạ KỲ THI TUY N Ể SINH L P Ớ 10 THPT NĂM 2020 T N Ỉ H QU N Ả G NINH
Môn thi: Toán (Dành cho m i ọ thí sinh) Đ Ề THI CHÍNH TH C Ứ Th i
ờ gan làm bài : 120 phút, không k gi ể ao đề Câu 1. (2,0 đi m ể ) 1) Th c hi ự n phép t ệ ính: 2 9 1 1 5 B : 2) Rút g n bi ọ u t ể h c ứ x 2 x 7 x 7 v i ớ x 0 x 2 y 4 3) Gi i ả h ph ệ ư ng t ơ rình x 2y 0 Câu 2. (2,0 đi m ể ) 2 Cho phư ng t ơ
rình x 4x 3m 2 0 , v i ớ m là tham số 1) Gi i ả phư ng t ơ rình v i ớ m 1 2) Tìm giá tr c ị a ủ m đ ph ể ư ng ơ trình đã cho có m t ộ nghi m ệ x 2 3) Tìm các giá tr c ị a ủ m đ ph ể ư ng t ơ rình đã cho có hai nghi m ệ phân bi t ệ x , x x 2x 1 1 2 sao cho 1 2 Câu 3. (2,0 đi m ể ) Kho ng cách ả gi a hai ữ b n s
ế ông A và B là 32k . m M t ộ ca nô xuôi dòng t b ừ n ế A đ n b ế n ế B r i ồ l p ậ t c quay v ứ b ề n ế A. K t ể l ừ úc kh i ở hành đ n l ế úc v t ề i ớ b n ế A h t ế t t ấ c 6 gi ả . ờ Tính v n ậ tốc c a ủ ca nô khi nư c ớ yên l ng, ặ bi t ế v n ậ tốc dòng nư c l ớ à 4km / h Câu 4. (3,5 đi m ể ) Cho đư ng t ờ ròn ;
O R và Alà m t ộ đi m ể n m ằ bên ngoài đư ng t ờ ròn. T ừ đi m ể A kẻ hai ti p t ế uy n ế AB, AC v i ớ đư ng
ờ tròn O (B,C là hai ti p đi ế m ể ). G i ọ H là giao đi m ể c a
ủ AO và BC.Kẻ đư ng kí ờ nh BD c a ủ đư ng t ờ
ròn O , AD c t ắ đư ng ờ tròn t i ạ đi m ể thứ hai là E a) Ch ng ứ minh ABOC là t gi ứ ác n i ộ ti p ế b) Tính đ dài ộ AH , bi t ế R 3 cm, AB 4 cm c) Ch ng
ứ minh AE.AD AH.AO d) Tia CE c t ắ AH t i ạ F. Ch ng ứ t ỏ F là trung đi m ể c a ủ AH Câu 5. (0,5 điêm)
Cho x, y là các số th c ự dư ng t ơ h a
ỏ mãn x y 3 . Tìm giá tr nh ị ỏ nh t ấ c a ủ 2 2 16
Q x y 9x 12y 25 bi u t ể h c ứ 2x y ĐÁP ÁN Câu 1. 1)2 9 2 3 5 2) Đi u ki ề n ệ x 0 1 1 5 x 7 x 2 x 7 B : . x 2 x 7 x 7
x 2 x 7 5 5 1 5. x 2 x 2 3) Gi i ả h ph ệ ư ng ơ trình: x 2 y 4 2x 4 x 2 x 2y 0 x 2 y y 1 V y ậ h ph ệ ư ng t ơ rình có nghi m ệ duy nh t ấ : ; x y 2; 1 Câu 2.
1) Thay m 1vào phư ng t ơ rình đã cho ta có: 2 x 4x 5 0 x 1
a b c 0 Phư ng ơ trình có d ng ạ x 5 V y
ậ khi m 1thì t p nghi ậ m ệ c a ph ủ ư ng ơ trình là S 1; 5 2) Tìm giá tr m ị Vì x 2 là m t ộ nghi m ệ c a ủ phư ng t ơ rình nên thay x 2 vào phư ng t ơ rình ta có: 10 2
2 4.2 3m 2 0 m 3
10 m V y ậ khi 3 thì phư ng t ơ rình đã cho có nghi m ệ x 2 3) Tìm m đ
ể x 2x 1 1 2 2 Ta có: '
2 3m 2 4 3m 2 6 3m Để phư ng t ơ rình đã cho có hai nghi m ệ phân bi t
ệ ' 0 6 3m 0 m 2
x x 4 1 2 * Khi đó áp d ng ụ đ nh l ị ý Vi-et ta có: x x 3 m 2 1 2
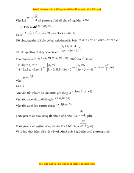
Theo bài ra ta có: x 2x 1 x 1 2x * 1 2 1 2 . Th vào ế ta có: 1
2x x 4 x 5 2 2 2 x 5 2 43 m (tm) 1 2x x 3 m 2 1 2.5 .5 3 m 2 3m 2 45 3 2 2 43 m V y ậ 3 Câu 3. G i ọ v n t ậ ốc c a ca ủ nô khi nư c yên l ớ ng
ặ là x km / h x 4 V n
ậ tốc cano khi xuôi dòng là x 4(km / h) V n
ậ tốc ca nô khi ngư c dòng: ợ
x 4(km / h) 32 Th i
ờ gian ca nô xuôi dòng t b ừ n ế A đ n b ế n ế B là x 4 (gi ) ờ 32 Th i ờ gian ca nô ngư c ợ dòng t b ừ n B ế v b ề n ế A là x 4 (gi ) ờ Vì t l ừ úc kh i ở hành đ n l ế úc v t ề i ớ b n ế A m t ấ 6 gi nên t ờ a có phư ng ơ trình:
32 32
32 x 4 32 x 4 6 6 x 4 x 4
x 4 x 4
32x 128 32x 128 6 2 x 16 2 2
6x 64x 96 0
3x 32x 48 0 2
3x 36x 4x 48 0
3x x 12 4 x 12 0 x 1 2(tm)
x 12 3x 4 0 4 x (ktm) 3 V y ậ v n t ậ ốc c a ủ ca nô khi nư c yên ớ l ng l ặ à 12km / h Câu 4.
a) Chứng minh ABOC là t gi ứ ác n i ộ ti p ế 0 0 Xét đư ng
ờ tròn O có AB, AC là các ti p t ế uy n ế ABO 90 ; ACO 90
Xét tứ giác ABOC có 0 0 0 ABO ACO 9 0 90 1
80 ABOC là t gi ứ ác n i ộ ti p ế
b) Tính độ dài AH bi t ế R 3 cm, AB 4 cm Xét đư ng
ờ tròn O có AB, AC là hai ti p t ế uy n ế c t ắ nhau t i ạ A
Đề thi vào 10 môn Toán tỉnh Quảng Ninh (Hệ không chuyên) năm 2021
642
321 lượt tải
MUA NGAY ĐỂ XEM TOÀN BỘ TÀI LIỆU
CÁCH MUA:
- B1: Gửi phí vào TK:
1133836868- CT TNHH DAU TU VA DV GD VIETJACK - Ngân hàng MB (QR) - B2: Nhắn tin tới Zalo VietJack Official ( nhấn vào đây ) để xác nhận thanh toán và tải tài liệu - giáo án
Liên hệ ngay Hotline hỗ trợ: 084 283 45 85
Đề thi được cập nhật liên tục trong gói này từ nay đến hết tháng 6/2023. Chúng tôi đảm bảo đủ số lượng đề đã cam kết hoặc có thể nhiều hơn, tất cả có BẢN WORD, LỜI GIẢI CHI TIẾT và tải về dễ dàng.
Để tải tài liệu gốc về máy bạn click vào nút Tải Xuống ở trên!
Thuộc bộ (mua theo bộ để tiết kiệm hơn):
- Tailieugiaovien.com.vn giới thiệu bộ 69 đề thi vào 10 môn Toán hệ không chuyên mới nhất năm 2021 nhằm giúp Giáo viên có thêm tài liệu tham khảo đề luyện thi Toán ôn luyện vào 1
- File word có lời giải chi tiết 100%.
- Mua trọn bộ sẽ tiết kiệm hơn tải lẻ 50%.
Đánh giá
4.6 / 5(642 )5
4
3
2
1
Trọng Bình
Tài liệu hay
Giúp ích cho tôi rất nhiều
Duy Trần
Tài liệu chuẩn
Rất thích tài liệu bên VJ soạn (bám sát chương trình dạy)
TÀI LIỆU BỘ BÁN CHẠY MÔN Toán Học
Xem thêmTÀI LIỆU BỘ BÁN CHẠY Ôn vào 10
Xem thêmTài liệu bộ mới nhất

Đây là bản xem thử, vui lòng mua tài liệu để xem chi ết (có lời giải)
S GIÁO D C VÀ ĐÀO T O Ở Ụ Ạ
T NH QU NG NINHỈ Ả
Đ THI CHÍNH TH CỀ Ứ
KỲ THI TUY N SINH L P 10 THPT NĂM 2020Ể Ớ
Môn thi: Toán (Dành cho m i thí sinh)ọ
Th i gan làm bài : 120 phút, không k giao đờ ể ề
Câu 1. (2,0 đi m)ể
1) Th c hi n phép tính: ự ệ
2 9
2) Rút g n bi u th c ọ ể ứ
1 1 5
:
2 7 7
B
x x x
v i ớ
0x
3) Gi i h ph ng trình ả ệ ươ
2 4
2 0
x y
x y
Câu 2. (2,0 đi m)ể
Cho ph ng trình ươ
2
4 3 2 0,x x m
v i ớ
m
là tham số
1) Gi i ph ng trình v i ả ươ ớ
1m
2) Tìm giá tr c a ị ủ
m
đ ph ng trình đã cho có m t nghi m ể ươ ộ ệ
2x
3) Tìm các giá tr c a ị ủ
m
đ ph ng trình đã cho có hai nghi m phân bi tể ươ ệ ệ
1 2
,x x
sao cho
1 2
2 1x x
Câu 3. (2,0 đi m) ể Kho ng cách gi a hai b n sông A và B là ả ữ ế
32 .km
M t ca nô ộ
xuôi dòng t b n ừ ế
A
đ n b n B r i l p t c quay v b n A. K t lúc kh i hành ế ế ồ ậ ứ ề ế ể ừ ở
đ n lúc v t i b n ế ề ớ ế
A
h t t t c 6 gi . Tính v n t c c a ca nô khi n c yên l ng,ế ấ ả ờ ậ ố ủ ướ ặ
bi t v n t c dòng n c là ế ậ ố ướ
4 /km h
Câu 4. (3,5 đi m)ể
Cho đ ng tròn ườ
;O R
và
A
là m t đi m n m bên ngoài đ ng tròn. T ộ ể ằ ườ ừ
đi m ể
A
k hai ti p tuy n ẻ ế ế
,AB AC
v i đ ng tròn ớ ườ
( ,O B C
là hai ti p đi m). G iế ể ọ
H
là giao đi m c a ể ủ
AO
và
.BC
K đ ng kính ẻ ườ
BD
c a đ ng tròn ủ ườ
,O AD
c t ắ
đ ng tròn t i đi m th hai là ườ ạ ể ứ
E
a) Ch ng minh ứ
ABOC
là t giác n i ti pứ ộ ế
b) Tính đ dài ộ
,AH
bi t ế
3 , 4R cm AB cm
c) Ch ng minh ứ
. .AE AD AH AO
d) Tia
CE
c t ắ
AH
t i F. Ch ng t ạ ứ ỏ
F
là trung đi m c a ể ủ
AH
Câu 5. (0,5 điêm)
Mọi thắc mắc vui lòng xin liên hệ hotline: 084 283 45 85

Đây là bản xem thử, vui lòng mua tài liệu để xem chi ết (có lời giải)
Cho
,x y
là các s th c d ng th a mãn ố ự ươ ỏ
3.x y
Tìm giá tr nh nh t c a ị ỏ ấ ủ
bi u th c ể ứ
2 2
16
9 12 25
2
Q x y x y
x y
ĐÁP ÁN
Câu 1.
1)2 9 2 3 5
2) Đi u ki n ề ệ
0x
1 1 5 7 2 7
: .
5
2 7 7
2 7
5 1
2
5. 2
x x x
B
x x x
x x
x
x
3) Gi i h ph ng trình:ả ệ ươ
2 4 2 4 2
2 0 2 1
x y x x
x y x y y
V y h ph ng trình có nghi m duy nh t : ậ ệ ươ ệ ấ
; 2;1x y
Câu 2.
1) Thay
1m
vào ph ng trình đã cho ta có:ươ
2
4 5 0x x
Ph ng trình có d ng ươ ạ
1
0
5
x
a b c
x
V y khi ậ
1m
thì t p nghi m c a ph ng trình là ậ ệ ủ ươ
1; 5S
2) Tìm giá tr mị
Vì
2x
là m t nghi m c a ph ng trình nên thay ộ ệ ủ ươ
2x
vào ph ng trình ta có:ươ
2
10
2 4.2 3 2 0
3
m m
Mọi thắc mắc vui lòng xin liên hệ hotline: 084 283 45 85

Đây là bản xem thử, vui lòng mua tài liệu để xem chi ết (có lời giải)
V y khi ậ
10
3
m
thì ph ng trình đã cho có nghi m ươ ệ
2x
3) Tìm m đ ể
1 2
2 1x x
Ta có:
2
' 2 3 2 4 3 2 6 3m m m
Đ ph ng trình đã cho có hai nghi m phân bi t ể ươ ệ ệ
' 0 6 3 0 2m m
Khi đó áp d ng đ nh lý Vi-et ta có: ụ ị
1 2
1 2
4
*
3 2
x x
x x m
Theo bài ra ta có:
1 2 1 2
2 1 1 2x x x x
. Th vào ế
*
ta có:
2 2 2
2
2 2
1 2 4 5
5
43
( )
1 2 3 2 1 2.5 .5 3 2
33 2 45
x x x
x
m tm
x x m m
m
V y ậ
43
3
m
Câu 3.
G i v n t c c a ca nô khi n c yên l ng là ọ ậ ố ủ ướ ặ
/ 4x km h x
V n t c cano khi xuôi dòng là ậ ố
4( / )x km h
V n t c ca nô khi ng c dòng: ậ ố ượ
4( / )x km h
Th i gian ca nô xuôi dòng t b n A đ n b n B là ờ ừ ế ế ế
32
4x
(gi )ờ
Th i gian ca nô ng c dòng t b n B v b n A là ờ ượ ừ ế ề ế
32
4x
(gi )ờ
Vì t lúc kh i hành đ n lúc v t i b n A m t 6 gi nên ta có ph ng trình:ừ ở ế ề ớ ế ấ ờ ươ
Mọi thắc mắc vui lòng xin liên hệ hotline: 084 283 45 85

Đây là bản xem thử, vui lòng mua tài liệu để xem chi ết (có lời giải)
2
2 2
2
32 4 32 4
32 32
6 6
4 4 4 4
32 128 32 128 6 16
6 64 96 0 3 32 48 0
3 36 4 48 0 3 12 4 12 0
12( )
12 3 4 0
4
( )
3
x x
x x x x
x x x
x x x x
x x x x x x
x tm
x x
x ktm
V y v n t c c a ca nô khi n c yên l ng là ậ ậ ố ủ ướ ặ
12 /km h
Câu 4.
a) Ch ng minh ứ
ABOC
là t giác n i ti pứ ộ ế
Xét đ ng tròn ườ
O
có
,AB AC
là các ti p tuy n ế ế
0 0
90 ; 90ABO ACO
Xét t giác ứ
ABOC
có
0 0 0
90 90 180ABO ACO ABOC
là t giác n i ti pứ ộ ế
b) Tính đ dài ộ
AH
bi t ế
3 , 4R cm AB cm
Xét đ ng tròn ườ
O
có
,AB AC
là hai ti p tuy n c t nhau t i ế ế ắ ạ
A
Mọi thắc mắc vui lòng xin liên hệ hotline: 084 283 45 85

Đây là bản xem thử, vui lòng mua tài liệu để xem chi ết (có lời giải)
Suy ra
AB AC
(tính ch t) mà ấ
OB OC R AO
là đ ng trung tr c c a ườ ự ủ
đo n th ng ạ ẳ
BC
Do đó
OA BC
t i ạ
H
Xét tam giác
ABO
vuông t i ạ
,B
theo đ nh lý Pytago ta có:ị
2 2 2 2 2
4 3 25 25 5AO AB OB OA cm
Xét
ABO
vuông t i B có ạ
BH
là đ ng cao, theo h th c l ng trong tam giác ườ ệ ứ ượ
vuông, ta có:
2 2
2
4
. 3,2( )
5
AB
AB AH AO AH cm
AO
V y ậ
3,2AH cm
c) Xét
ABO
vuông t i B có ạ
BH
là đ ng cao, theo h th c l ng trong tam ườ ệ ứ ượ
giác vuông, ta có:
2
. (1)AB AH AO
Xét
AEB
và
ABD
có:
BAE
chung;
ABE BDE
(cùng ch n ắ
)BE
2
( ) . 2
AE AB
AEB ABD g g AE AD AB
AB AD
T (1) và (2) suy ra : ừ
. .AE AD AH AO
d) Ch ng t ứ ỏ
F
là trung đi m c a ể ủ
AH
Xét đ ng tròn (O) có ườ
0
90BCD
(góc n i ti p ch n n a đ ng tròn)ộ ế ắ ử ườ
BC CD
L i có: ạ
/ /AO BC CD AO ADC OAD
(so le trong)
Xét
O
có
ACE EDC
(góc n i ti p và góc t o b i ti p tuy n dây cung cùng ộ ế ạ ở ế ế
ch n ắ
)EC
Suy ra
ACE FAE CDE
Xét
AFE
và
CFA
có:
AFE
chung;
( ) ( )ACE FAE cmt AFE CFA g g
Mọi thắc mắc vui lòng xin liên hệ hotline: 084 283 45 85
