ệ xem ể chi ti t ế (có l i ờ gi i ả ) SỞ GIÁO D C Ụ VÀ ĐÀO T O Ạ KỲ THI TUY N Ể SINH L P Ớ 10 THPT SÓC TRĂNG Năm h c ọ : 2019-2020 Môn: TOÁN (Th i
ờ gian làm bài : 120 phút , không k t ể h i ờ gian phát đ ) ề 3 18 2 8 A Bài 1. (1,0 đi m ể ) Rút g n bi ọ u t ể h c ứ 50 Bài 2. (2,0 đi m ể ) Gi i ả phư ng t ơ rình và h ph ệ ư ng t ơ rình : x 2 y 4 4 2
a)x 8x 16 0
b) 2x y 3 2 Bài 3. (2,0 đi m
ể ) Cho hai hàm số : y x (P) và y x 2(d ) a) Vẽ đồ th ( ị P) và (d) trên cùng m t ộ m t ặ ph ng ẳ t a đ ọ ộ b) Tìm t a đ ọ gi ộ ao đi m ể c a ủ hai đ t ồ h t ị rên b ng ph ằ ư ng ơ pháp đ i ạ s . ố Bài 4. (1,5 đi m ể ) Năm h c ọ 2019 2020, b n ạ An trúng tuy n vào l ể p ớ 10 trư ng ờ THPT X. Đ chu ể n b ẩ cho năm ị h c m ọ i ớ , lúc đ u ầ An d đ ự nh m ị ua 30 quy n t ể p ậ và 10 cây vi t ế cùng lo i ạ v i ớ tổng số ti n ph ề i ả trả 340 nghìn đ ng. ồ Tuy nhiên, vì đ t ạ danh hi u h ệ c s ọ inh gi i ỏ , nên An nh n ậ đư c phi ợ u gi ế m ả giá 10% v i ớ t p và ậ 5% v i ớ vi t ế . Do đó An quy t ế đ nh m ị ua 50 quy n t ể p và ậ 20 cây vi t ế v i ớ t ng s ổ ố ti n ph ề i ả trả sau gi m
ả giá là 526 nghìn đồng. H i ỏ giá ti n m ề i ỗ quy n t ể p ậ và m i ỗ cây vi t ế là bao nhiêu ? Bài 5. (3 đi m ể ) Cho đư ng t ờ ròn (O) đư ng kí ờ nh AB, trên đư ng t ờ ròn (O) l y ấ đi m ể M không trùng v i ớ A ho c ặ B. Hai ti p t ế uy n c ế a ủ đư ng t ờ ròn (O) t i ạ A và M c t ắ nhau t i ạ đi m ể C. a) Ch ng ứ minh t gi ứ ác OACM n i ộ ti p ế b) Ch ng ứ minh M . A MO M . B MC c) G i ọ D là giao đi m ể c a ủ AC và BM. Ch ng ứ minh AC . CD M i
ọ thắc mắc vui lòng xin liên hệ hotline: 084 283 45 85
ệ xem ể chi ti t ế (có l i ờ gi i ả ) Bài 6.(0,5 đi m
ể ) Bóng đèn huỳnh quang dài 1,2m đư c ợ xem nh l ư à m t ộ hình tr ụ v i ớ đư ng ờ kính đáy b ng 4 cm ằ . Tính th t ể ích kh i ố lư ng khí ợ ch a ứ bên trong bóng đèn . (đ dày c ộ a ủ l p v ớ t ỏ h y t
ủ inh xem như không đáng k ) ể . M i
ọ thắc mắc vui lòng xin liên hệ hotline: 084 283 45 85
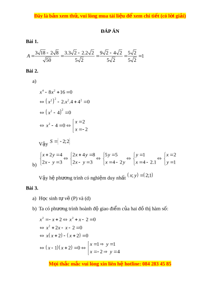
ệ xem ể chi ti t ế (có l i ờ gi i ả ) ĐÁP ÁN Bài 1. 3 18 2 8 3.3 2 2.2 2 9 2 4 2 5 2 A 1 50 5 2 5 2 5 2 Bài 2. a) 4 2 x 8x 16 0 x 2 2 2 2 2.x .4 4 0 x 4 2 2 0 x 2 2 x 4 0 x 2 V y ậ S 2; 2 x 2 y 4 2x 4 y 8 5 y 5 y 1 x 2 b) 2x y 3 2x y 3 x 4 2 y x 4 2.1 y 1 V y ậ h ph ệ ư ng t ơ rình có nghi m ệ duy nh t ấ ; x y 2; 1 Bài 3. a) H c ọ sinh t v ự ( ẽ P) và (d) b) Ta có phư ng
ơ trình hoành độ giao đi m ể c a hai ủ đ t ồ h hàm ị s : ố 2 2
x x 2 x x 2 0 2
x 2x x 2 0
x x 2 x 2 0 x 1 y 1 x 1 x 2 0
x 2 y 4 M i
ọ thắc mắc vui lòng xin liên hệ hotline: 084 283 45 85
ệ xem ể chi ti t ế (có l i ờ gi i ả ) V y ậ đư ng t ờ h ng
ẳ d và (P) c t ắ nhau t i ạ hai đi m ể phân bi t ệ 1; 1 ; 2;4 Bài 4. G i ọ số ti n 1 quy ề n t ể p l ậ úc ch a ư gi m
ả giá là x (nghìn đồng ) x 0 G i ọ số ti n 1 cây vi ề t ế lúc ch a ư gi m
ả giá là y (nghìn đồng) y 0 Lúc đ u ầ An d đ ự nh m ị ua 30 quy n t ể p ậ và 10 cây vi t ế h t ế 340 nghìn đ ng nên t ồ a có phư ng
ơ trình:30x 10y 3 40 (1) Số ti n m ề ua 1 quy n t ể p s ậ au khi đư c ợ gi m
ả giá 10% là x . x 10% 9 0%x (nghìn đồng) Số ti n m ề ua 1 cây vi t ế sau khi đư c gi ợ m ẩ 5% là: y . y 5% 9
5% y (nghìn đồng) An mua 50 quy n ể t p và 20 cây ậ vi t ế v i ớ giá đã đư c ợ gi m ả h t ế 526 nghìn đ ng ồ nên ta đư c ph ợ ư ng
ơ trình 50.90%x 20.95% y 5
26 45x 19 y 5 26(2) T ( ừ 1) và (2) ta có h ph ệ ư ng t ơ rình : 30 x 10y 34 0 3 x y 34 x 10( tm) 45x 19y 526 45x 19y 526 y 4( tm) V y ậ giá ti n m ề i ỗ quy n ể t p l ậ úc ch a ư gi m
ả giá là 10 nghìn đ ng, m ồ i ỗ cây vi t ế lúc ch a ư gi m ả giá là 4 nghìn đ ng ồ Bài 5. M i
ọ thắc mắc vui lòng xin liên hệ hotline: 084 283 45 85
Đề thi vào 10 môn Toán tỉnh Sóc Trăng năm 2020
542
271 lượt tải
MUA NGAY ĐỂ XEM TOÀN BỘ TÀI LIỆU
CÁCH MUA:
- B1: Gửi phí vào TK:
1133836868- CT TNHH DAU TU VA DV GD VIETJACK - Ngân hàng MB (QR) - B2: Nhắn tin tới Zalo VietJack Official ( nhấn vào đây ) để xác nhận thanh toán và tải tài liệu - giáo án
Liên hệ ngay Hotline hỗ trợ: 084 283 45 85
Đề thi được cập nhật liên tục trong gói này từ nay đến hết tháng 6/2023. Chúng tôi đảm bảo đủ số lượng đề đã cam kết hoặc có thể nhiều hơn, tất cả có BẢN WORD, LỜI GIẢI CHI TIẾT và tải về dễ dàng.
Để tải tài liệu gốc về máy bạn click vào nút Tải Xuống ở trên!
Thuộc bộ (mua theo bộ để tiết kiệm hơn):
- Tailieugiaovien.com.vn giới thiệu bộ 63 đề thi vào 10 môn Toán hệ không chuyên năm 2020 nhằm giúp Giáo viên có thêm tài liệu tham khảo đề luyện thi Toán ôn luyện
- File word có lời giải chi tiết 100%.
- Mua trọn bộ sẽ tiết kiệm hơn tải lẻ 50%.
Đánh giá
4.6 / 5(542 )5
4
3
2
1
Trọng Bình
Tài liệu hay
Giúp ích cho tôi rất nhiều
Duy Trần
Tài liệu chuẩn
Rất thích tài liệu bên VJ soạn (bám sát chương trình dạy)
TÀI LIỆU BỘ BÁN CHẠY MÔN Toán Học
Xem thêmTÀI LIỆU BỘ BÁN CHẠY Ôn vào 10
Xem thêmTài liệu bộ mới nhất

Đây là b nả xem thử, vui lòng mua tài li u đ xem chi ti t (có l i gi i)ệ ể ế ờ ả
S GIÁO D C VÀ ĐÀO T OỞ Ụ Ạ
SÓC TRĂNG
KỲ THI TUY N SINH L P 10 THPTỂ Ớ
Năm h c: 2019-2020ọ
Môn: TOÁN
(Th i gian làm bài : 120 phút , không k th i gian phát đ )ờ ể ờ ề
Bài 1. (1,0 đi m) ể Rút g n bi u th c ọ ể ứ
3 18 2 8
50
A
Bài 2. (2,0 đi m) ể Gi i ph ng trình và h ph ng trình :ả ươ ệ ươ
4 2
2 4
) 8 16 0 )
2 3
x y
a x x b
x y
Bài 3. (2,0 đi m) ể Cho hai hàm s : ố
2
( )y x P
và
2( )y x d
a) V đ th (P) và (d) trên cùng m t m t ph ng t a đẽ ồ ị ộ ặ ẳ ọ ộ
b) Tìm t a đ giao đi m c a hai đ th trên b ng ph ng pháp đ i s .ọ ộ ể ủ ồ ị ằ ươ ạ ố
Bài 4. (1,5 đi m) ể Năm h c ọ
2019 2020,
b n An trúng tuy n vào l p 10 tr ng ạ ể ớ ườ
THPT X. Đ chu n b cho năm h c m i, lúc đ u An d đ nh mua 30 quy n t p ể ẩ ị ọ ớ ầ ự ị ể ậ
và 10 cây vi t cùng lo i v i t ng s ti n ph i tr 340 nghìn đ ng. Tuy nhiên, vì ế ạ ớ ổ ố ề ả ả ồ
đ t danh hi u h c sinh gi i, nên An nh n đ c phi u gi m giá ạ ệ ọ ỏ ậ ượ ế ả
10%
v i t p vàớ ậ
5%
v i vi t. Do đó An quy t đ nh mua 50 quy n t p và 20 cây vi t v i t ng s ớ ế ế ị ể ậ ế ớ ổ ố
ti n ph i tr sau gi m giá là ề ả ả ả
526
nghìn đ ng. H i giá ti n m i quy n t p và m iồ ỏ ề ỗ ể ậ ỗ
cây vi t là bao nhiêu ?ế
Bài 5. (3 đi m) ể Cho đ ng tròn (O) đ ng kính AB, trên đ ng tròn (O) l y ườ ườ ườ ấ
đi m M không trùng v i A ho c B. Hai ti p tuy n c a đ ng tròn (O) t i A và ể ớ ặ ế ế ủ ườ ạ
M c t nhau t i đi m C.ắ ạ ể
a) Ch ng minh t giác ứ ứ
OACM
n i ti p ộ ế
b) Ch ng minh ứ
. .MA MO MB MC
c) G i D là giao đi m c a ọ ể ủ
AC
và BM. Ch ng minh ứ
.AC CD
M iọ th c m c vui lòng xin liên hắ ắ ệ hotline: 084 283 45 85

Đây là b nả xem thử, vui lòng mua tài li u đ xem chi ti t (có l i gi i)ệ ể ế ờ ả
Bài 6.(0,5 đi m) ể Bóng đèn huỳnh quang dài
1,2m
đ c xem nh là m t hình tr ượ ư ộ ụ
v i đ ng kính đáy b ng 4 cm. Tính th tích kh i l ng khí ch a bên trong ớ ườ ằ ể ố ượ ứ
bóng đèn . (đ dày c a l p v th y tinh xem nh không đáng k ).ộ ủ ớ ỏ ủ ư ể
M iọ th c m c vui lòng xin liên hắ ắ ệ hotline: 084 283 45 85

Đây là b nả xem thử, vui lòng mua tài li u đ xem chi ti t (có l i gi i)ệ ể ế ờ ả
ĐÁP ÁN
Bài 1.
3 18 2 8 3.3 2 2.2 2 9 2 4 2 5 2
1
50 5 2 5 2 5 2
A
Bài 2.
a)
4 2
2
2 2 2
2
2
2
8 16 0
2. .4 4 0
4 0
2
4 0
2
x x
x x
x
x
x
x
V y ậ
2;2S
b)
2 4 2 4 8 5 5 1 2
2 3 2 3 4 2 4 2.1 1
x y x y y y x
x y x y x y x y
V y h ph ng trình có nghi m duy nh t ậ ệ ươ ệ ấ
; 2;1x y
Bài 3.
a) H c sinh t v (P) và (d)ọ ự ẽ
b) Ta có ph ng trình hoành đ giao đi m c a hai đ th hàm s :ươ ộ ể ủ ồ ị ố
2 2
2
2 2 0
2 2 0
2 2 0
1 1
1 2 0
2 4
x x x x
x x x
x x x
x y
x x
x y
M iọ th c m c vui lòng xin liên hắ ắ ệ hotline: 084 283 45 85

Đây là b nả xem thử, vui lòng mua tài li u đ xem chi ti t (có l i gi i)ệ ể ế ờ ả
V y đ ng th ng ậ ườ ẳ
d
và (P) c t nhau t i hai đi m phân bi t ắ ạ ể ệ
1;1 ; 2;4
Bài 4.
G i s ti n 1 quy n t p lúc ch a gi m giá là ọ ố ề ể ậ ư ả
x
(nghìn đ ng ) ồ
0x
G i s ti n 1 cây vi t lúc ch a gi m giá là ọ ố ề ế ư ả
y
(nghìn đ ng) ồ
0y
Lúc đ u An d đ nh mua 30 quy n t p và 10 cây vi t h t 340 nghìn đ ng nên ta ầ ự ị ể ậ ế ế ồ
có ph ng trình:ươ
30 10 340 (1)x y
S ti n mua 1 quy n t p sau khi đ c gi m giá ố ề ể ậ ượ ả
10%
là
.10% 90%x x x
(nghìn
đ ng)ồ
S ti n mua 1 cây vi t sau khi đ c gi m ố ề ế ượ ẩ
5%
là:
.5% 95%y y y
(nghìn đ ng)ồ
An mua 50 quy n t p và 20 cây vi t v i giá đã đ c gi m h t 526 nghìn đ ng ể ậ ế ớ ượ ả ế ồ
nên ta đ c ph ng trình ượ ươ
50.90% 20.95% 526 45 19 526(2)x y x y
T (1) và (2) ta có h ph ng trình :ừ ệ ươ
30 10 340 3 34 10( )
45 19 526 45 19 526 4( )
x y x y x tm
x y x y y tm
V y giá ti n m i quy n t p lúc ch a gi m giá là 10 nghìn đ ng, m i cây vi t ậ ề ỗ ể ậ ư ả ồ ỗ ế
lúc ch a gi m giá là 4 nghìn đ ng ư ả ồ
Bài 5.
M iọ th c m c vui lòng xin liên hắ ắ ệ hotline: 084 283 45 85

Đây là b nả xem thử, vui lòng mua tài li u đ xem chi ti t (có l i gi i)ệ ể ế ờ ả
a) Ta có:
CM
là ti p tuy n c a (O) t i Mế ế ủ ạ
0
90OM MC OMC
AC là ti p tuy n c a (O) t i A ế ế ủ ạ
0
90OA CA OAC
Xét t giác ứ
OACM
ta có:
0 0 0
90 90 180CAO OMC
mà hai góc này là hai
góc đ i di n nên ố ệ
OACM
là t giác n i ti p ứ ộ ế
b) Ta có:
AMC ABM
(góc n i ti p và góc t o b i ti p tuy n dây cung cùngộ ế ạ ở ế ế
ch n cung AM)ắ
Xét
OMB
ta có:
OM OB R OMB
là tam giác cân t i O.ạ
OMB OBM
Xét
CAM
ta có:
CA CM
(tính ch t hai ti p tuy n c t nhau)ấ ế ế ắ
CAM
là tam giác cân t i Cạ
M iọ th c m c vui lòng xin liên hắ ắ ệ hotline: 084 283 45 85
