ệ xem ể chi ti t ế (có l i ờ gi i ả ) SỞ GIÁO D C Ụ VÀ ĐÀO T O Ạ KỲ THI TUY N Ể SINH L P Ớ 10 THPT THỪA THIÊN HUẾ NĂM HỌC 2019-2020
Khóa ngày 02 tháng 6 năm 2019 Đ Ề THI CHÍNH TH C Ứ Môn thi:TOÁN Th i
ờ gian làm bài: 120 phút (không k t ể h i ờ gian giáo đề) Câu 1. (1,5 đi m ể ) a) Tìm giá tr c ị a ủ x sao cho bi u t ể h c
ứ A x 1có giá trị dư ng ơ 2 2 2 b) Đ a t ư h a s
ừ ố ra ngoài dấu căn, tính giá tr bi ị u t ể h c ứ B 2 2 .5 3 3 .5 4. 4 .5 2 1 a a 1 a C a 1 a 1 a c) Rút g n bi ọ u t ể h c ứ v i ớ a 0 , a 1 Câu 2. (1,5 di m ể ) 4x y 7 a) Không sử d ng m ụ áy tính c m ầ tay, gi i ả h ph ệ ư ng t ơ
rình: x 3y 5 b) Cho đư ng ờ th ng ẳ d : y a
x b . Tìm các giá tr c ị a
ủ a và b sao cho đư ng ờ th ng ẳ d đi qua đi m ể A 0; 1 và song song v i ớ đư ng ờ th ng
ẳ : y x 2019 Câu 3. (1,0 đi m ể ) Hư ng ở ng ngày ứ Ch nh ủ t ậ xanh do UBND t nh phát ỉ đ ng v ộ i ớ ch đ ủ “H ề ãy hành đ ng ộ đ ể Th a
ừ Thiên Huế thêm Xanh, S ch, Sáng”, ạ m t ộ trư ng ờ THCS đã c h ử c ọ sinh c a ủ hai l p ớ 35
9A và 9B cùng tham gia làm t ng v ổ s ệ inh m t ộ con đư ng, ờ sau 12 gi t ờ hì lầm xong công vi c. ệ N u l ế àm riêng t ng l ừ p t ớ hì th i ờ gian h c s ọ inh l p
ớ 9A làm xong công vi c í ệ t h n t ơ h i ờ gian h c ọ sinh l p 9B ớ là 2 gi . H ờ i ỏ n u m ế ỗi l p l
ớ àm riêng thì sau bao nhiêu giờ s l ẽ àm xong công việc ? Câu 4. (2,0 đi m ể ) 2 2 Cho phư ng
ơ trình x 2 m 2 x m 4m 0 (1) (v i ớ x là ẩn số) a) Gi i ả phư ng ơ trình 1 khi m 1 b) Ch ng m ứ inh r ng ph ằ ư ng ơ trình 1 luôn có hai nghi m ệ phân bi t ệ v i ớ m i ọ giá tr c ị a ủ m c) Tìm các giá tr c ị a ủ m đ ph ể ư ng ơ trình 1 có hai nghiệm phân bi t ệ x , x 1 2 th a ỏ mãn đi u ề 3 3 x x 2 1 kiện x x 1 2 Câu 5. (3,0 đi m ể ) Cho đư ng ờ tròn tâm O đư ng ờ kính A . B Trên đư ng ờ tròn (O) l y đi ấ m ể C không trùng B
sao cho AC BC. Các ti p ế tuy n ế c a đ ủ ư ng ờ tròn (O) t i ạ A và t i ạ C c t ắ nhau t i ạ D. G i ọ H là hình chi u vuông góc c ế a
ủ C trên AB, E là giao đi m ể c a ủ hai đư ng t ờ h ng ẳ OD và AC . M i
ọ thắc mắc vui lòng xin liên hệ hotline: 084 283 45 85
ệ xem ể chi ti t ế (có l i ờ gi i ả ) a) Ch ng m ứ inh OECH là t gi ứ ác n i ộ ti p ế b) G i ọ F là giao đi m ể c a ủ hai đư ng t ờ h ng ẳ CD và AB. Ch ng ứ minh 0 2BCF CFB 9 0 . c) G i ọ M là giao đi m ể c a hai ủ đư ng ờ th ng ẳ BD và CH.Ch ng ứ minh hai đư ng t ờ h ng ẳ
EM và AB song song v i ớ nhau. Câu 6. (1,0 đi m ể ) M t ộ chiếc c c ố th y t
ủ inh có dạng hình trụ ch a ứ đầy nư c
ớ , có chiều cao bằng 6c , m
bán kính đáy bằng 1cm. Người ta thả t t ừ ừ lần lư t ợ vào cốc nư c ớ 1 viên bi hình cầu và m t
ộ vật có dạng hình nón đ u b ề ằng th y ủ tinh (v a ừ khít nh hì ư nh v ) t ẽ hì thấy nư c ớ trong chi c ế c c
ố tràn ra ngoài. Tính th t ể ích của lư ng ợ nư c ớ còn l i ạ trong chiếc c c ố (biết rằng đư ng
ờ kính của viên bi, đư ng kí ờ nh c a ủ đáy hình nón và đư ng kí ờ nh c a ủ đáy c c ố nư c ớ xem nh b ư ng nha ằ u; bỏ qua b dà ề y c a ủ l p v ớ t ỏ h y ủ tinh). M i
ọ thắc mắc vui lòng xin liên hệ hotline: 084 283 45 85
ệ xem ể chi ti t ế (có l i ờ gi i ả ) ĐÁP ÁN Câu 1.
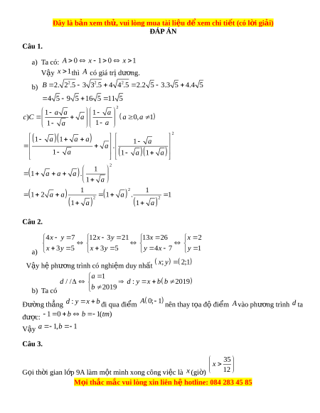
a) Ta có: A 0 x 1 0 x 1 V y
ậ x 1thì A có giá tr d ị ư ng. ơ 2 2 2 b) B 2. 2 .5 3 3 .5 4 4 .5 2. 2 5 3.3 5 4.4 5 4 5 9 5 16 5 1 1 5 2 1 a a 1 a c)C a a 0 , a 1 1 a 1 a 2 1 a 1 a a 1 a a . 1 a
1 a 1 a 2 a a a 1 1 . 1 a a a 1 1 1 2 1 a . 1 2 2 1 a 1 a 2 Câu 2. 4x y 7 12 x 3y 21 13 x 26 x 2 a) x 3y 5 x 3y 5 y 4 x 7 y 1 V y h ậ ệ phư ng ơ trình có nghi m ệ duy nh t ấ ; x y 2; 1 a 1 d / /
d : y x b b 2019 b) Ta có b 2019 Đư ng t ờ h ng
ẳ d : y x b đi qua đi m ể A 0; 1 nên thay t a đ ọ ộ đi m ể A vào phư ng t ơ rình d ta đư c: ợ 1 0
b b 1(tm) V y
ậ a 1,b 1 Câu 3. 35 x G i ọ th i ờ gian l p 9A ớ làm m t ộ mình xong công vi c l ệ à x (gi ) ờ 12 M i
ọ thắc mắc vui lòng xin liên hệ hotline: 084 283 45 85
ệ xem ể chi ti t ế (có l i ờ gi i ả ) G i ọ th i ờ gian l p 9B ớ làm m t ộ mình xong công vi c l ệ à y (gi ) ờ y 2 1 Mỗi gi l ờ p ớ 9A làm đư c ợ ph n công vi ầ c l ệ à x (công việc) 1 Mỗi gi l ờ p ớ 9B làm đư c ợ ph n công vi ầ c l ệ à y (công việc) 35 12 1: Mỗi gi t ờ hì cả hai l p 9A ớ và 9B làm đư c ph ợ n công vi ầ c l ệ à 12 35 (công vi c) ệ 35
Theo đề bài ta có hai l p cùng l ớ àm chung công vi c ệ trong 12 gi t ờ hì xong công vi c nên ệ ta có 1 1 12 (1) phư ng t ơ rình: x y 35 N u l ế àm riêng t ng l ừ p t ớ hì th i ờ gian h c s ọ inh l p 9A ớ làm xong công vi c í ệ t h n ơ th i ờ gian h c s ọ inh l p 9B ớ là 2 gi nên ờ ta có phư ng t ơ
rình y x 2 (2) Th ph ế ư ng ơ trình (2) vào phư ng t ơ rình (1) ta đư c: ợ 1 1 12 1
35 x 2 35x 1
2x x 2 x x 2 35 2
35x 70 35x 1 2x 24x 2
12x 46x 70 0 2
12x 60x 14x 70 0
12x x 5 14 x 5 0 x 5 (tm) x 5 0
x 5 12x 14 7 12x 14 0 x (ktm) 6 V y n ậ u ế làm vi c m ệ t ộ mình thì l p 9A ớ làm xong công vi c t ệ rong 5 gi , ờ l p 9B ớ làm xong công việc trong 5 2 7 giờ Câu 4. M i
ọ thắc mắc vui lòng xin liên hệ hotline: 084 283 45 85
Đề thi vào 10 môn Toán tỉnh Thừa Thiên Huế năm 2020
505
253 lượt tải
MUA NGAY ĐỂ XEM TOÀN BỘ TÀI LIỆU
CÁCH MUA:
- B1: Gửi phí vào TK:
1133836868- CT TNHH DAU TU VA DV GD VIETJACK - Ngân hàng MB (QR) - B2: Nhắn tin tới Zalo VietJack Official ( nhấn vào đây ) để xác nhận thanh toán và tải tài liệu - giáo án
Liên hệ ngay Hotline hỗ trợ: 084 283 45 85
Đề thi được cập nhật liên tục trong gói này từ nay đến hết tháng 6/2023. Chúng tôi đảm bảo đủ số lượng đề đã cam kết hoặc có thể nhiều hơn, tất cả có BẢN WORD, LỜI GIẢI CHI TIẾT và tải về dễ dàng.
Để tải tài liệu gốc về máy bạn click vào nút Tải Xuống ở trên!
Thuộc bộ (mua theo bộ để tiết kiệm hơn):
- Tailieugiaovien.com.vn giới thiệu bộ 63 đề thi vào 10 môn Toán hệ không chuyên năm 2020 nhằm giúp Giáo viên có thêm tài liệu tham khảo đề luyện thi Toán ôn luyện
- File word có lời giải chi tiết 100%.
- Mua trọn bộ sẽ tiết kiệm hơn tải lẻ 50%.
Đánh giá
4.6 / 5(505 )5
4
3
2
1
Trọng Bình
Tài liệu hay
Giúp ích cho tôi rất nhiều
Duy Trần
Tài liệu chuẩn
Rất thích tài liệu bên VJ soạn (bám sát chương trình dạy)
TÀI LIỆU BỘ BÁN CHẠY MÔN Toán Học
Xem thêmTÀI LIỆU BỘ BÁN CHẠY Ôn vào 10
Xem thêmTài liệu bộ mới nhất

Đây là b nả xem thử, vui lòng mua tài li u đ xem chi ti t (có l i gi i)ệ ể ế ờ ả
S GIÁO D C VÀ ĐÀO T OỞ Ụ Ạ
TH A THIÊN HUỪ Ế
Đ THI CHÍNH TH C Ề Ứ
KỲ THI TUY N SINH L P 10 THPTỂ Ớ
NĂM H C 2019-2020Ọ
Khóa ngày 02 tháng 6 năm 2019
Môn thi:TOÁN
Th i gian làm bài: 120 phút ờ (không k th i gian giáoể ờ
đ )ề
Câu 1. (1,5 đi m)ể
a) Tìm giá tr c a ị ủ
x
sao cho bi u th c ể ứ
1A x
có giá tr d ngị ươ
b) Đ a th a s ra ngoài d u căn, tính giá tr bi u th c ư ừ ố ấ ị ể ứ
2 2 2
2 2 .5 3 3 .5 4. 4 .5B
c) Rút g n bi u th c ọ ể ứ
2
1 1
1
1
a a a
C a
a
a
v i ớ
0, 1a a
Câu 2. (1,5 di m)ể
a) Không s d ng máy tính c m tay, gi i h ph ng trình: ử ụ ầ ả ệ ươ
4 7
3 5
x y
x y
b) Cho đ ng th ng ườ ẳ
:d y ax b
. Tìm các giá tr c a ị ủ
a
và
b
sao cho đ ng th ng ườ ẳ
d
đi
qua đi m ể
0; 1A
và song song v i đ ng th ng ớ ườ ẳ
: 2019y x
Câu 3. (1,0 đi m) ể
H ng ng ngày Ch nh t xanh do UBND t nh phát đ ng v i ch đ “Hãy hành đ ngưở ứ ủ ậ ỉ ộ ớ ủ ề ộ
đ Th a Thiên Hu thêm Xanh, S ch, Sáng”, m t tr ng THCS đã c h c sinh c a hai l p ể ừ ế ạ ộ ườ ử ọ ủ ớ
9A và 9B cùng tham gia làm t ng v sinh m t con đ ng, sau ổ ệ ộ ườ
35
12
gi thì l m xong công vi c.ờ ầ ệ
N u làm riêng t ng l p thì th i gian h c sinh l p ế ừ ớ ờ ọ ớ
9A
làm xong công vi c ít h n th i gian h cệ ơ ờ ọ
sinh l p 9B là ớ
2
gi . H i n u m i l p làm riêng thì sau bao nhiêu gi s làm xong công ờ ỏ ế ỗ ớ ờ ẽ
vi c ?ệ
Câu 4. (2,0 đi m)ể
Cho ph ng trình ươ
2 2
2 2 4 0 (1)x m x m m
(v i ớ
x
là n s )ẩ ố
a) Gi i ph ng trình ả ươ
1
khi
1m
b) Ch ng minh r ng ph ng trình ứ ằ ươ
1
luôn có hai nghi m phân bi t v i m i giá tr c a ệ ệ ớ ọ ị ủ
m
c) Tìm các giá tr c a ị ủ
m
đ ph ng trình ể ươ
1
có hai nghi m phân bi t ệ ệ
1 2
,x x
th a mãn đi u ỏ ề
ki n ệ
2 1
1 2
3 3
x x
x x
Câu 5. (3,0 đi m)ể
Cho đ ng tròn tâm O đ ng kính ườ ườ
.AB
Trên đ ng tròn (O) l y đi m C không trùng B ườ ấ ể
sao cho
.AC BC
Các ti p tuy n c a đ ng tròn (O) t i A và t i C c t nhau t i D. G i H là ế ế ủ ườ ạ ạ ắ ạ ọ
hình chi u vuông góc c a C trên AB, E là giao đi m c a hai đ ng th ng ế ủ ể ủ ườ ẳ
OD
và
AC
.
M iọ th c m c vui lòng xin liên hắ ắ ệ hotline: 084 283 45 85

Đây là b nả xem thử, vui lòng mua tài li u đ xem chi ti t (có l i gi i)ệ ể ế ờ ả
a) Ch ng minh ứ
OECH
là t giác n i ti pứ ộ ế
b) G i ọ
F
là giao đi m c a hai đ ng th ng CD và AB. Ch ng minh ể ủ ườ ẳ ứ
0
2 90 .BCF CFB
c) G i M là giao đi m c a hai đ ng th ng ọ ể ủ ườ ẳ
BD
và
.CH
Ch ng minh hai đ ng th ngứ ườ ẳ
EM
và
AB
song song v i nhau.ớ
Câu 6. (1,0 đi m)ể
M t chi c c c th y tinh có d ng hình tr ch a đ y n c, có chi u cao b ng ộ ế ố ủ ạ ụ ứ ầ ướ ề ằ
6 ,cm
bán kính đáy b ng 1cm. Ng i ta th t t l n l t vào c c n c 1 viên bi hình ằ ườ ả ừ ừ ầ ượ ố ướ
c u và m t v t có d ng hình nón đ u b ng th y tinh (v a khít nh hình v ) thì ầ ộ ậ ạ ề ằ ủ ừ ư ẽ
th y n c trong chi c c c tràn ra ngoài. Tính th tích c a l ng n c còn l i trongấ ướ ế ố ể ủ ượ ướ ạ
chi c c c (bi t r ng đ ng kính c a viên bi, đ ng kính c a đáy hình nón và ế ố ế ằ ườ ủ ườ ủ
đ ng kính c a đáy c c n c xem nh b ng nhau; b qua b dày c a l p v th y ườ ủ ố ướ ư ằ ỏ ề ủ ớ ỏ ủ
tinh).
M iọ th c m c vui lòng xin liên hắ ắ ệ hotline: 084 283 45 85

Đây là b nả xem thử, vui lòng mua tài li u đ xem chi ti t (có l i gi i)ệ ể ế ờ ả
ĐÁP ÁN
Câu 1.
a) Ta có:
0 1 0 1A x x
V y ậ
1x
thì
A
có giá tr d ng.ị ươ
b)
2 2 2
2. 2 .5 3 3 .5 4 4 .5 2.2 5 3.3 5 4.4 5B
4 5 9 5 16 5 11 5
2
2
2
2
2 2
1 1
) 0, 1
1
1
1 1
1
.
1
1 1
1
1 .
1
1 1
1 2 1 . 1
1 1
a a a
c C a a a
a
a
a a a
a
a
a
a a
a a a
a
a a a
a a
Câu 2.
a)
4 7 12 3 21 13 26 2
3 5 3 5 4 7 1
x y x y x x
x y x y y x y
V y h ph ng trình có nghi m duy nh t ậ ệ ươ ệ ấ
; 2;1x y
b) Ta có
1
/ / : 2019
2019
a
d d y x b b
b
Đ ng th ng ườ ẳ
:d y x b
đi qua đi m ể
0; 1A
nên thay t a đ đi m ọ ộ ể
A
vào ph ng trình ươ
d
ta
đ c: ượ
1 0 1( )b b tm
V y ậ
1, 1a b
Câu 3.
G i th i gian l p 9A làm m t mình xong công vi c là ọ ờ ớ ộ ệ
x
(gi ) ờ
35
12
x
M iọ th c m c vui lòng xin liên hắ ắ ệ hotline: 084 283 45 85

Đây là b nả xem thử, vui lòng mua tài li u đ xem chi ti t (có l i gi i)ệ ể ế ờ ả
G i th i gian l p 9B làm m t mình xong công vi c là ọ ờ ớ ộ ệ
y
(gi ) ờ
2y
M i gi l p ỗ ờ ớ
9A
làm đ c ph n công vi c là ượ ầ ệ
1
x
(công vi c)ệ
M i gi l p ỗ ờ ớ
9B
làm đ c ph n công vi c là ượ ầ ệ
1
y
(công vi c)ệ
M i gi thì c hai l p 9A và 9B làm đ c ph n công vi c là ỗ ờ ả ớ ượ ầ ệ
35 12
1:
12 35
(công vi c)ệ
Theo đ bài ta có hai l p cùng làm chung công vi c trong ề ớ ệ
35
12
gi thì xong công vi c nên ta có ờ ệ
ph ng trình: ươ
1 1 12
(1)
35x y
N u làm riêng t ng l p thì th i gian h c sinh l p 9A làm xong công vi c ít h n th i gian ế ừ ớ ờ ọ ớ ệ ơ ờ
h c sinh l p 9B là 2 gi nên ta có ph ng trình ọ ớ ờ ươ
2 (2)y x
Th ph ng trình (2) vào ph ng trình (1) ta đ c:ế ươ ươ ượ
2
2
2
1 1 12
1 35 2 35 12 2
2 35
35 70 35 12 24
12 46 70 0
12 60 14 70 0
12 5 14 5 0
5( )
5 0
5 12 14
7
12 14 0
( )
6
x x x x
x x
x x x x
x x
x x x
x x x
x tm
x
x x
x
x ktm
V y n u làm vi c m t mình thì l p 9A làm xong công vi c trong 5 gi , l p 9B làm xong ậ ế ệ ộ ớ ệ ờ ớ
công vi c trong ệ
5 2 7
giờ
Câu 4.
M iọ th c m c vui lòng xin liên hắ ắ ệ hotline: 084 283 45 85

Đây là b nả xem thử, vui lòng mua tài li u đ xem chi ti t (có l i gi i)ệ ể ế ờ ả
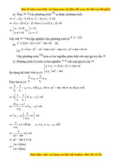
a) Thay
1m
vào ph ng trình ươ
1
ta đ c ph ng trình:ượ ươ
2 2
2 3 0 3 3 0
3 3 0 1 3 0
3 0 3
1 0 1
x x x x x
x x x x x
x x
x x
V y v i ậ ớ
1m
thì t p nghi m c a ph ng trình là ậ ệ ủ ươ
1;3S
b)
2 2
2 2 4 0 (1)x m x m m
Có
2
2 2 2
' 2 4 4 4 4 4 0m m m m m m m
V y ph ng trình ậ ươ
1
luôn có hai nghi m phân bi t v i m i giá tr c a ệ ệ ớ ọ ị ủ
m
c) Ph ng trình (1) luôn có hai nghi m ươ ệ
1 2
,x x
v i m i giá tr c a ớ ọ ị ủ
.m
Áp d ng h th c Viet ta có: ụ ệ ứ
1 2
2
1 2
2 2 2 4
4
x x m m
x x m m
Theo bài ta có:
2 1
1 2
3 3
x x
x x
2
1 2 1 2
1 2
2 1
1 2
2 1
2 1
1 2
2 1
1 2
1 2 2 1
1 2
3 3
0 0 4 0 0, 4
1 1
3 0
3
0
3
1 0
3
1 0 0
x x x x m m m m
x x
x x
x x
x x
x x
x x
x x
x x
do x x x x
x x
2
2
3
1 0
4
4 3 0
3( )
1( )
m m
m m
m tm
m tm
M iọ th c m c vui lòng xin liên hắ ắ ệ hotline: 084 283 45 85
