SỞ GIÁO D C Ụ VÀ ĐÀO T O Ạ KỲ THI TUY N Ể SINH VÀO L P Ớ 10 THPT TUYÊN QUANG
NĂM HỌC 2020 – 2021 MÔN THI: TOÁN Đ C Ề HÍNH TH C Ứ Th i
ờ gian làm bài : 90 phút Ngày thi: 22/07/2020 PHẦN I. TRẮC NGHI M Ệ KHÁCH QUAN 2x y 1 ax 2 y 3
Câu 1. Hai hệ phư ng
ơ trình x y 2 và x by 3 tư ng ơ đư ng v ơ i ớ nhau khi và ch ỉ khi : . A a 5 ,b 2 .
B a 5,b 2 C.a 5 ,b 2 . D a 5,b 2
Câu 2.Trong các hệ phư ng t ơ rình dư i ớ đay, h ph ệ ư ng t ơ rình nào là h hai ệ phư ng t ơ rình b c ậ nhất hai n ? ẩ 2 x y 1 x y 1 x y 1
x y z 1 . A . B C. . D 2 2x 3y 0 2x 3y 0 2x 3y 0 2x 3y 0
Câu 3. Cho hai đư ng t ờ
ròn O ;5cm & O ;6cm . O O 1 c . m 1 2 Bi t ế 1 2 Kh ng ẳ đ nh nào d ị ư i ớ đây đúng ? .
A O & O . B O & O 1 2 c t ắ nhau
1 2 ti p xúc ngoài ế v i ớ nhau
C. O & O . D O & O 1 2 không giao nhau 1 2 ti p xúc t ế rong v i ớ nhau
Câu 4.Cho hàm số y a
x b có đồ thị nh hì ư nh vẽ. Kh ng ẳ đ nh nào d ị ư i ớ đây đúng . A a 1 ,b 2 .
B a 1,b 2 C.a 2 ,b 2 .
D a 2,b 2
x y 0 Câu 5. Nghi m ệ c a ủ h ph ệ ư ng
ơ trình x 2y 3 là: x 3 x 3 x 3 x 3 . A . B C. . D y 3 y 3 y 3 y 3 Câu 6.Trong m t ộ đư ng t ờ ròn, kh ng ẳ đ nh nào d ị ư i ớ đây đúng ? A. Góc n i ộ ti p có s ế đo b ố ng ằ góc t ở âm cùng ch n ắ 1 cung B. Góc t ở âm có s đo b ố ng ằ m t ộ n a s ử đo c ố a ủ cung b ch ị n ắ C. Góc n i ộ ti p có s ế đo b ố ng ằ s đo c ố a cun b ủ ch ị n ắ D. Góc t ở âm có s đo b ố ng ằ s đo c ố a cung b ủ ch ị n ắ Câu 7. Đư ng ờ th ng ẳ y 2m 1 x 3 (v i
ớ m là tham số) song song v i ớ đư ng ờ th ng ẳ y 2
x khi và chỉ khi: 2 1 3 . A m . B m C.m . D m 2 3 2 2 1 2 y x
Câu 8. Đồ thị hàm số 3 đi qua đi m ể nào dư i ớ đây ? . A P 3; 3 . B Q 3; 1 C.N 3; 1 . D M 3;3
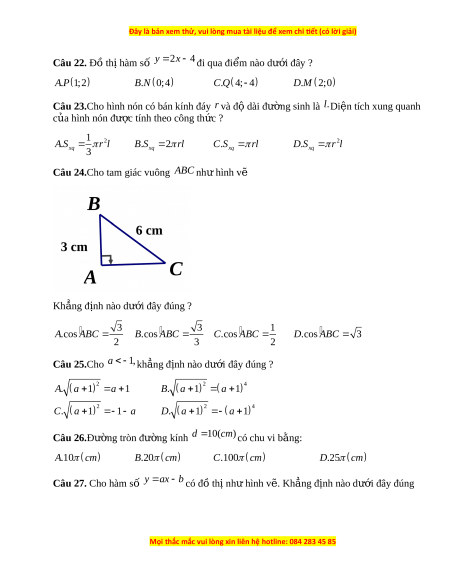
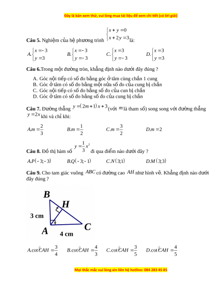
Câu 9. Cho tam giác vuông ABC có đư ng cao ờ AH nh hì ư nh vẽ. Kh ng đ ẳ ịnh nào dư i ớ đây đúng ? 3 4 3 4 . A cot CAH . B cot CAH C.cotCAH . D cotCAH 4 3 5 5
Câu 10. Cho tam giác ABC có đư ng cao ờ AH nh hì ư nh vẽ. Kh ng đ ẳ ịnh nào dư i ớ đây đúng . A BH 1 ,8cm . B BH 1 ,7cm C.BH 2 cm . D BH 1 ,9cm
Câu 11. Cho tam giác vuông ABC nh hì ư nh vẽ. Kh ng đ ẳ ịnh nào dư i ớ đây đúng ? AC 4( cm) . B AC 2 7( ) cm
C.AC 34(cm) . D AC 6( cm) 2 Câu 12.Bi t ế đồ th hàm ị s ố y a x đi qua đi m
ể A 2;2 , giá trị c a ủ a b ng: ằ 1 1 .1 A . B C. 1 . D 2 2 Câu 13.Tích t t ấ c các ả nghi m ệ c a ủ phư ng t ơ rình 2 x 3x 2 0 b ng: ằ . A 3 . B 2 C.2 . D 3 Câu 14.Trong m t ộ đư ng t ờ ròn, kh ng ẳ đ nh nào d ị ư i ớ đây sai ? A. Hai dây cách đ u t ề âm thì b ng ằ nhau B. Dây nào g n t ầ âm h n t ơ hì dây đó nh h ỏ n ơ C. Dây nào g n t ầ âm h n t ơ hì dây đó l n h ớ n ơ D. Hai dây b ng nhau ằ thì cách đ u t ề âm
Câu 15. Bi u ể th c ứ
x 5 xác định khi và ch khi ỉ . A x 5 . B x 5 C.x 5 . D x 5 Câu 16.Đư ng ờ tròn ngo i ạ ti p hì ế nh vuông c nh ạ
6 cm có bán kính b ng ằ . A 3 2 cm . B 3(cm) C.6(cm) . D 6 2 cm Câu 17.Cho đư ng t ờ ròn (O) nh hì ư nh v , B ẽ i t ế cung 0 AmB 1 10 .Số đo c a góc ủ OAB b ng ằ 0 0 0 0 . A 40 . B 35 C.25 . D 30
Câu 18.Cho a 0,b 0.Kh ng đ ẳ ịnh nào dư i ớ đây đúng ? 2 2 . A b a ba . B b a ba
C.b a b a . D b a b a
Câu 19. Trong các hàm số dư i
ớ dây, hàm số nào là hàm số bậc nhất? 2 2 2 . A y 20 21x .
B y 2020x 7 C.y 10 . D y 2020 x x 1 Câu 20. Th t
ể ích hình c u có bán kí ầ nh r b ng: ằ 4 4 2 3 2 3 .4 A r .4 B r C. r . D r 3 3 Câu 21. Căn b c ậ hai s h ố c c ọ a ủ 16 là : . A 4 . B 4 & 4 C.4 . D 256
Đề thi vào 10 môn Toán tỉnh Tuyên Quang (Hệ không chuyên) năm 2021
591
296 lượt tải
MUA NGAY ĐỂ XEM TOÀN BỘ TÀI LIỆU
CÁCH MUA:
- B1: Gửi phí vào TK:
1133836868- CT TNHH DAU TU VA DV GD VIETJACK - Ngân hàng MB (QR) - B2: Nhắn tin tới Zalo VietJack Official ( nhấn vào đây ) để xác nhận thanh toán và tải tài liệu - giáo án
Liên hệ ngay Hotline hỗ trợ: 084 283 45 85
Đề thi được cập nhật liên tục trong gói này từ nay đến hết tháng 6/2023. Chúng tôi đảm bảo đủ số lượng đề đã cam kết hoặc có thể nhiều hơn, tất cả có BẢN WORD, LỜI GIẢI CHI TIẾT và tải về dễ dàng.
Để tải tài liệu gốc về máy bạn click vào nút Tải Xuống ở trên!
Thuộc bộ (mua theo bộ để tiết kiệm hơn):
- Tailieugiaovien.com.vn giới thiệu bộ 69 đề thi vào 10 môn Toán hệ không chuyên mới nhất năm 2021 nhằm giúp Giáo viên có thêm tài liệu tham khảo đề luyện thi Toán ôn luyện vào 1
- File word có lời giải chi tiết 100%.
- Mua trọn bộ sẽ tiết kiệm hơn tải lẻ 50%.
Đánh giá
4.6 / 5(591 )5
4
3
2
1
Trọng Bình
Tài liệu hay
Giúp ích cho tôi rất nhiều
Duy Trần
Tài liệu chuẩn
Rất thích tài liệu bên VJ soạn (bám sát chương trình dạy)
TÀI LIỆU BỘ BÁN CHẠY MÔN Toán Học
Xem thêmTÀI LIỆU BỘ BÁN CHẠY Ôn vào 10
Xem thêmTài liệu bộ mới nhất

Đây là bản xem thử, vui lòng mua tài liệu để xem chi ết (có lời giải)
S GIÁO D C VÀ ĐÀO T OỞ Ụ Ạ
TUYÊN QUANG
Đ CHÍNH TH CỀ Ứ
KỲ THI TUY N SINH VÀO L P 10 THPTỂ Ớ
NĂM H C 2020 – 2021 Ọ
MÔN THI: TOÁN
Th i gian làm bài : 90 phút ờ
Ngày thi: 22/07/2020
PH N I. TR C NGHI M KHÁCH QUANẦ Ắ Ệ
Câu 1. Hai h ph ng trình ệ ươ
2 1
2
x y
x y
và
2 3
3
ax y
x by
t ng đ ng v i nhau khi và ch ươ ươ ớ ỉ
khi :
. 5, 2 . 5, 2 . 5, 2 . 5, 2A a b B a b C a b D a b
Câu 2.Trong các h ph ng trình d i đay, h ph ng trình nào là h hai ph ng trình ệ ươ ướ ệ ươ ệ ươ
b c nh t hai n ?ậ ấ ẩ
2
2
1
1 1
1
. . . .
2 3 0 2 3 0
2 3 0 2 3 0
x y
x y x y z
x y
A B C D
x y x y
x y x y
Câu 3. Cho hai đ ng tròn ườ
1 2
;5 & ;6 .O cm O cm
Bi t ế
1 2
1 .O O cm
Kh ng đ nh nào d i ẳ ị ướ
đây đúng ?
1 2
. &A O O
c t nhau ắ
1 2
. &B O O
ti p xúc ngoài v i nhauế ớ
1 2
. &C O O
không giao nhau
1 2
. &D O O
ti p xúc trong v i nhauế ớ
Câu 4.Cho hàm s ố
y ax b
có đ th nh hình v . Kh ng đ nh nào d i đây đúngồ ị ư ẽ ẳ ị ướ
. 1, 2 . 1, 2 . 2, 2 . 2, 2A a b B a b C a b D a b
Mọi thắc mắc vui lòng xin liên hệ hotline: 084 283 45 85

Đây là bản xem thử, vui lòng mua tài liệu để xem chi ết (có lời giải)
Câu 5. Nghi m c a h ph ng trình ệ ủ ệ ươ
0
2 3
x y
x y
là:
3 3 3 3
. . . .
3 3 3 3
x x x x
A B C D
y y y y
Câu 6.Trong m t đ ng tròn, kh ng đ nh nào d i đây đúng ?ộ ườ ẳ ị ướ
A. Góc n i ti p có s đo b ng góc tâm cùng ch n 1 cungộ ế ố ằ ở ắ
B. Góc tâm có s đo b ng m t n a s đo c a cung b ch nở ố ằ ộ ử ố ủ ị ắ
C. Góc n i ti p có s đo b ng s đo c a cun b ch nộ ế ố ằ ố ủ ị ắ
D. Góc tâm có s đo b ng s đo c a cung b ch nở ố ằ ố ủ ị ắ
Câu 7. Đ ng th ng ườ ẳ
2 1 3y m x
(v i ớ
m
là tham s ) song song v i đ ng th ngố ớ ườ ẳ
2y x
khi và ch khi:ỉ
2 1 3
. . . . 2
3 2 2
A m B m C m D m
Câu 8. Đ th hàm s ồ ị ố
2
1
3
y x
đi qua đi m nào d i đây ?ể ướ
. 3; 3 . 3; 1 . 3;1 . 3;3A P B Q C N D M
Câu 9. Cho tam giác vuông
ABC
có đ ng cao ườ
AH
nh hình v . Kh ng đ nh nào d i ư ẽ ẳ ị ướ
đây đúng ?
3 4 3 4
.cot .cot .cot .cot
4 3 5 5
A CAH B CAH C C AH D CAH
Mọi thắc mắc vui lòng xin liên hệ hotline: 084 283 45 85

Đây là bản xem thử, vui lòng mua tài liệu để xem chi ết (có lời giải)
Câu 10. Cho tam giác
ABC
có đ ng cao ườ
AH
nh hình v . Kh ng đ nh nào d i đây ư ẽ ẳ ị ướ
đúng
. 1,8 . 1,7 . 2 . 1,9A BH cm B BH cm C BH cm D BH cm
Câu 11. Cho tam giác vuông
ABC
nh hình v . Kh ng đ nh nào d i đây đúng ?ư ẽ ẳ ị ướ
4( ) . 2 7( ) . 34( ) . 6( )AC cm B AC cm C AC cm D AC cm
Câu 12.Bi t đ th hàm s ế ồ ị ố
2
y ax
đi qua đi m ể
2;2A
, giá tr c a ị ủ
a
b ng:ằ
1 1
.1 . . 1 .
2 2
A B C D
Câu 13.Tích t t c các nghi m c a ph ng trình ấ ả ệ ủ ươ
2
3 2 0x x
b ng:ằ
. 3 . 2 .2 .3A B C D
Câu 14.Trong m t đ ng tròn, kh ng đ nh nào d i đây sai ?ộ ườ ẳ ị ướ
A. Hai dây cách đ u tâm thì b ng nhau ề ằ B. Dây nào g n tâm h n thì dây đó nh h nầ ơ ỏ ơ
C. Dây nào g n tâm h n thì dây đó l n h n D. Hai dây b ng nhau thì cách đ u tâmầ ơ ớ ơ ằ ề
Mọi thắc mắc vui lòng xin liên hệ hotline: 084 283 45 85

Đây là bản xem thử, vui lòng mua tài liệu để xem chi ết (có lời giải)
Câu 15. Bi u th c ể ứ
5x
xác đ nh khi và ch khi ị ỉ
. 5 . 5 . 5 . 5A x B x C x D x
Câu 16.Đ ng tròn ngo i ti p hình vuông c nh ườ ạ ế ạ
6 cm
có bán kính b ng ằ
.3 2 .3( ) .6( ) .6 2A cm B cm C cm D cm
Câu 17.Cho đ ng tròn (O) nh hình v , Bi t cung ườ ư ẽ ế
0
110 .AmB
S đo c a góc ố ủ
OAB
b ngằ
0 0 0 0
.40 .35 .25 .30A B C D
Câu 18.Cho
0, 0.a b
Kh ng đ nh nào d i đây đúng ?ẳ ị ướ
2 2
. . . .A b a ba B b a ba C b a b a D b a b a
Câu 19. Trong các hàm s d i dây, hàm s nào là hàm s b c nh t?ố ướ ố ố ậ ấ
2 2
2
. 2021 . 2020 7 . 10 . 2020
1
A y x B y x C y D y x
x
Câu 20. Th tích hình c u có bán kính ể ầ
r
b ng:ằ
2 3 2 3
4 4
.4 .4 . .
3 3
A r B r C r D r
Câu 21. Căn b c hai s h c c a 16 là :ậ ố ọ ủ
. 4 . 4 & 4 .4 .256A B C D
Mọi thắc mắc vui lòng xin liên hệ hotline: 084 283 45 85

Đây là bản xem thử, vui lòng mua tài liệu để xem chi ết (có lời giải)
Câu 22. Đ th hàm s ồ ị ố
2 4y x
đi qua đi m nào d i đây ?ể ướ
. 1;2 . 0;4 . 4; 4 . 2;0A P B N C Q D M
Câu 23.Cho hình nón có bán kính đáy
r
và đ dài đ ng sinh là ộ ườ
.l
Di n tích xung quanh ệ
c a hình nón đ c tính theo công th c ?ủ ượ ứ
2 2
1
. . 2 . .
3
xq xq xq xq
A S r l B S rl C S rl D S r l
Câu 24.Cho tam giác vuông
ABC
nh hình v ư ẽ
Kh ng đ nh nào d i đây đúng ?ẳ ị ướ
3 3 1
.cos .cos .cos .cos 3
2 3 2
A ABC B ABC C ABC D ABC
Câu 25.Cho
1,a
kh ng đ nh nào d i đây đúng ?ẳ ị ướ
2 2 4
2 2 4
. 1 1 . 1 1
. 1 1 . 1 1
A a a B a a
C a a D a a
Câu 26.Đ ng tròn đ ng kính ườ ườ
10( )d cm
có chu vi b ng:ằ
.10 .20 .100 .25A cm B cm C cm D cm
Câu 27. Cho hàm s ố
y ax b
có đ th nh hình v . Kh ng đ nh nào d i đây đúng ồ ị ư ẽ ẳ ị ướ
Mọi thắc mắc vui lòng xin liên hệ hotline: 084 283 45 85
