ệ xem ể chi ti t ế (có l i ờ gi i ả ) SỞ GIÁO D C Ụ VÀ ĐÀO T O Ạ KỲ THI TUY N Ể SINH L P Ớ 10 THPT VĨNH LONG NĂM H C Ọ 2019-2020 Môn thi: TOÁN Đ C Ề HÍNH TH C Ứ Th i
ờ gian làm bài : 120 phút (không k gi ể ao đ ) ề Bài 1. (1,0 đi m ể )Tính giá tr c ị a ủ bi u ể th c ứ a) A 2 48 3 75 2 108
b) B 19 8 3 19 8 3 Bài 2. (2,0 đi m ể )Gi i ả các phư ng ơ trình và h ph ệ ư ng t ơ rình sau: 2 2
a)2x 3x 2 0
b)5x 2x 0
2x y 7 4 2
c)x 4x 5 0 d) 3 x y 27 2 Bài 3. (2,0 đi m ể )Trong m t ặ ph ng t ẳ a ọ đ
ộ Oxy,cho hàm số y x có đồ thị P a) Vẽ đồ th ị P b) Tìm giá tr c ị a ủ m đ đ ể ư ng ờ th ng ẳ d : y 2
x 3m (v i
ớ m là tham số) c t ắ P 2 t i ạ hai đi m ể có hoành đ l ộ à x , x
x x x 3m 2x 6 1 2 2 1 1 2 th a ỏ mãn Bài 4. (1,0 đi m ể ) M t ộ công ty v n ậ t i ả d đ ự nh dùng l ị o i ạ xe l n đ ớ ể v n chuy ậ n 20 ể tấn hàng hóa theo m t ộ h p ợ đồng. Nh ng ư ki vào vi c
ệ công ty không còn xe l n nên ớ ph i ả thay b ng nh ằ ng xe ữ nh . M ỏ ỗi xe nh v ỏ n ậ chuy n đ ể ư c ợ kh i ố lư ng ợ ít h n 1 t ơ n ấ so v i ớ m i ỗ xe l n t ớ heo d đ ự nh. Đ ị đ ể m ả b o ả th i ờ gian đã h p ợ đ ng, công t ồ ph ỷ i ả dùng m t ộ số lư ng xe nhi ợ u h ề n s ơ ố xe d đ ự ịnh là 1 xe. H i ỏ mỗi xe nh v ỏ n ậ chuy n ể
bao nhiêu tấn hàng hóa (Bi t ế các xe cùng lo i ạ thì có kh i ố lư ng ợ v n chuy ậ n nh ể ư nhau). Bài 5. (1,0 đi m
ể )Cho tam giác ABC có AB 4 c , m AC 4 3c , m BC 8 c . m a) Ch ng
ứ minh tam giác ABC vuông
b) Tính số đo B,C và đ dài ộ đư ng ờ cao AH c a ủ AB C. Bài 6. (2,5 đi m ể )Cho đư ng t ờ ròn (O) đư ng kí ờ nh AB và đi m
ể M bất kỳ thu c đ ộ ư ng ờ
tròn sao cho MA MB(M ) A .Kẻ ti p t ế uy n t ế i ạ A c a đ ủ ư ng ờ tròn, ti p t ế uy n này ế c t ắ tia BM N ở . Ti p t ế uy n c ế a ủ đư ng t ờ ròn t i ạ M c t ắ AN D ở . a) Ch ng ứ minh b n đi ố m ể ,
A D,M ,O cùng thu c ộ m t ộ đư ng t ờ ròn b) Ch ng
ứ minh OD song song v i ớ BM . c) Qua O kẻ đư ng t ờ h ng vuông góc ẳ v i ớ AB và c t ắ đư ng t ờ h ng ẳ BM t i ạ I. G i ọ giao đi m ể c a ủ AI và BD là G. Ch ng m ứ
inh N,G,O th ng ẳ hàng. Bài 7. (0,5 đi m ể )
Cho x, y là các số th c ự dư ng t ơ h a ỏ x y 1 M i
ọ thắc mắc vui lòng xin liên hệ hotline: 084 283 45 85
ệ xem ể chi ti t ế (có l i ờ gi i ả ) 2 2 1 A 2
x y x 1 Tìm giá tr nh ị nh ỏ t ấ c a ủ x M i
ọ thắc mắc vui lòng xin liên hệ hotline: 084 283 45 85
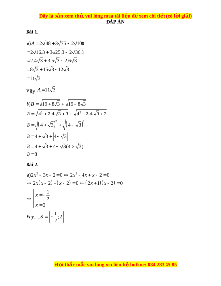
ệ xem ể chi ti t ế (có l i ờ gi i ả ) ĐÁP ÁN Bài 1. a)A 2 48 3 75 2 108 2 16.3 3 25.3 2 36.3 2.4 3 3.5 3 2.6 3 8 3 15 3 12 3 11 3 V y ậ A 1 1 3
b)B 19 8 3 19 8 3 2 2
B 4 2.4. 3 3 4 2.4. 3 3
B 4 32 4 32 B 4 3 4 3 B 4 3 4 3(4 3) B 8 Bài 2. 2 2
a)2x 3x 2 0
2x 4x x 2 0
2x x 2 x 2 0 2x 1 x 2 0 1 x 2 x 2 1 V .... ay .S ;2 2 M i
ọ thắc mắc vui lòng xin liên hệ hotline: 084 283 45 85
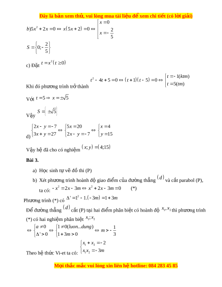
ệ xem ể chi ti t ế (có l i ờ gi i ả ) x 0 2 b)5x 2x 0 x 5x 2 0 2 x 5 2 S 0; 5 2 c) Đ t
ặ t x t 0
t 1(ktm) 2 t 4t 5 0 t 1 t 5 0 Khi đó phư ng ơ trình tr t ở hành t 5 (tm) V i ớ t 5 x 5 S 5 V y ậ
2x y 7 5 x 2 0 x 4 d) 3x y 2 7
2x y 7 y 15 V y ậ h đã cho có nghi ệ m ệ ; x y 4;15 Bài 3. a) H c ọ sinh t v ự đ ẽ t ồ hi (P) b) Xét phư ng
ơ trình hoành độ giao đi m ể c a đ ủ ư ng ờ th ng ẳ d và c t ắ parabol (P), 2 2 ta có: x 2
x 3m x 2x 3m 0 (*) 2 Phư ng ơ trình (*) có ' 1
1. 3m 1 3m Để đư ng t ờ h ng ẳ d c t ắ (P) t i ạ hai đi m ể phân bi t
ệ có hoành độ x , x 1 2 thì phư ng t ơ rình (*) có hai nghi m ệ phân bi t ệ x ; x 1 2 a 0 1 0( l . uon ..dung) 1 m ' 0 1 3m 0 3
x x 2 1 2 Theo h t ệ h c
ứ Vi-et ta có: x x 3m 1 2 M i
ọ thắc mắc vui lòng xin liên hệ hotline: 084 283 45 85
Đề thi vào 10 môn Toán tỉnh Vĩnh Long năm 2020
626
313 lượt tải
MUA NGAY ĐỂ XEM TOÀN BỘ TÀI LIỆU
CÁCH MUA:
- B1: Gửi phí vào TK:
1133836868- CT TNHH DAU TU VA DV GD VIETJACK - Ngân hàng MB (QR) - B2: Nhắn tin tới Zalo VietJack Official ( nhấn vào đây ) để xác nhận thanh toán và tải tài liệu - giáo án
Liên hệ ngay Hotline hỗ trợ: 084 283 45 85
Đề thi được cập nhật liên tục trong gói này từ nay đến hết tháng 6/2023. Chúng tôi đảm bảo đủ số lượng đề đã cam kết hoặc có thể nhiều hơn, tất cả có BẢN WORD, LỜI GIẢI CHI TIẾT và tải về dễ dàng.
Để tải tài liệu gốc về máy bạn click vào nút Tải Xuống ở trên!
Thuộc bộ (mua theo bộ để tiết kiệm hơn):
- Tailieugiaovien.com.vn giới thiệu bộ 63 đề thi vào 10 môn Toán hệ không chuyên năm 2020 nhằm giúp Giáo viên có thêm tài liệu tham khảo đề luyện thi Toán ôn luyện
- File word có lời giải chi tiết 100%.
- Mua trọn bộ sẽ tiết kiệm hơn tải lẻ 50%.
Đánh giá
4.6 / 5(626 )5
4
3
2
1
Trọng Bình
Tài liệu hay
Giúp ích cho tôi rất nhiều
Duy Trần
Tài liệu chuẩn
Rất thích tài liệu bên VJ soạn (bám sát chương trình dạy)
TÀI LIỆU BỘ BÁN CHẠY MÔN Toán Học
Xem thêmTÀI LIỆU BỘ BÁN CHẠY Ôn vào 10
Xem thêmTài liệu bộ mới nhất

Đây là b nả xem thử, vui lòng mua tài li u đ xem chi ti t (có l i gi i)ệ ể ế ờ ả
S GIÁO D C VÀ ĐÀO T OỞ Ụ Ạ
VĨNH LONG
Đ CHÍNH TH CỀ Ứ
KỲ THI TUY N SINH L P 10 THPT Ể Ớ
NĂM H C 2019-2020Ọ
Môn thi: TOÁN
Th i gian làm bài : 120 phút (không k giao đ )ờ ể ề
Bài 1. (1,0 đi m)ể Tính giá tr c a bi u th cị ủ ể ứ
a)
2 48 3 75 2 108A
b)
19 8 3 19 8 3B
Bài 2. (2,0 đi m)ể Gi i các ph ng trình và h ph ng trình sau:ả ươ ệ ươ
2 2
4 2
)2 3 2 0 )5 2 0
2 7
) 4 5 0 )
3 27
a x x b x x
x y
c x x d
x y
Bài 3. (2,0 đi m)ể Trong m t ph ng t a đ ặ ẳ ọ ộ
,Oxy
cho hàm s ố
2
y x
có đ th ồ ị
P
a) V đ th ẽ ồ ị
P
b) Tìm giá tr c a ị ủ
m
đ đ ng th ng ể ườ ẳ
: 2 3d y x m
(v i ớ
m
là tham s ) c t ố ắ
P
t i hai đi m có hoành đ là ạ ể ộ
1 2
,x x
th a mãn ỏ
2
1 2 2 1
3 2 6x x x m x
Bài 4. (1,0 đi m)ể M t công ty v n t i d đ nh dùng lo i xe l n đ v n chuy n 20 ộ ậ ả ự ị ạ ớ ể ậ ể
t n hàng hóa theo m t h p đ ng. Nh ng ki vào vi c công ty không còn xe l n nên ấ ộ ợ ồ ư ệ ớ
ph i thay b ng nh ng xe nh . M i xe nh v n chuy n đ c kh i l ng ít h n 1 t n ả ằ ữ ỏ ỗ ỏ ậ ể ượ ố ượ ơ ấ
so v i m i xe l n theo d đ nh. Đ đ m b o th i gian đã h p đ ng, công t ph i ớ ỗ ớ ự ị ể ả ả ờ ợ ồ ỷ ả
dùng m t s l ng xe nhi u h n s xe d đ nh là 1 xe. H i m i xe nh v n chuy n ộ ố ượ ề ơ ố ự ị ỏ ỗ ỏ ậ ể
bao nhiêu t n hàng hóa (Bi t các xe cùng lo i thì có kh i l ng v n chuy n nh ấ ế ạ ố ượ ậ ể ư
nhau).
Bài 5. (1,0 đi m)ể Cho tam giác
ABC
có
4 , 4 3 , 8 .AB cm AC cm BC cm
a) Ch ng minh tam giác ứ
ABC
vuông
b) Tính s đo ố
,B C
và đ dài đ ng cao ộ ườ
AH
c a ủ
.ABC
Bài 6. (2,5 đi m)ể Cho đ ng tròn (O) đ ng kính ườ ườ
AB
và đi m ể
M
b t kỳ thu c đ ngấ ộ ườ
tròn sao cho
( ).MA MB M A
K ti p tuy n t i A c a đ ng tròn, ti p tuy n này ẻ ế ế ạ ủ ườ ế ế
c t tia BM N. Ti p tuy n c a đ ng tròn t i M c t AN D.ắ ở ế ế ủ ườ ạ ắ ở
a) Ch ng minh b n đi m ứ ố ể
, , ,A D M O
cùng thu c m t đ ng trònộ ộ ườ
b) Ch ng minh ứ
OD
song song v i ớ
.BM
c) Qua
O
k đ ng th ng vuông góc v i ẻ ườ ẳ ớ
AB
và c t đ ng th ng ắ ườ ẳ
BM
t i I. G i ạ ọ
giao đi m c a AI và BD là G. Ch ng minh ể ủ ứ
, ,N G O
th ng hàng.ẳ
Bài 7. (0,5 đi m)ể
Cho
,x y
là các s th c d ng th a ố ự ươ ỏ
1x y
M iọ th c m c vui lòng xin liên hắ ắ ệ hotline: 084 283 45 85

Đây là b nả xem thử, vui lòng mua tài li u đ xem chi ti t (có l i gi i)ệ ể ế ờ ả
Tìm giá tr nh nh t c a ị ỏ ấ ủ
2 2
1
2 1A x y x
x
M iọ th c m c vui lòng xin liên hắ ắ ệ hotline: 084 283 45 85

Đây là b nả xem thử, vui lòng mua tài li u đ xem chi ti t (có l i gi i)ệ ể ế ờ ả
ĐÁP ÁN
Bài 1.
) 2 48 3 75 2 108
2 16.3 3 25.3 2 36.3
2.4 3 3.5 3 2.6 3
8 3 15 3 12 3
11 3
a A
V y ậ
11 3A
2 2
2 2
) 19 8 3 19 8 3
4 2.4. 3 3 4 2.4. 3 3
4 3 4 3
4 3 4 3
4 3 4 3(4 3)
8
b B
B
B
B
B
B
Bài 2.
2 2
)2 3 2 0 2 4 2 0
2 2 2 0 2 1 2 0
1
2
2
1
..... ;2
2
a x x x x x
x x x x x
x
x
Vay S
M iọ th c m c vui lòng xin liên hắ ắ ệ hotline: 084 283 45 85

Đây là b nả xem thử, vui lòng mua tài li u đ xem chi ti t (có l i gi i)ệ ể ế ờ ả
2
0
)5 2 0 5 2 0
2
5
2
0;
5
x
b x x x x
x
S
c) Đ t ặ
2
0t x t
Khi đó ph ng trình tr thành ươ ở
2
1( )
4 5 0 1 5 0
5( )
t ktm
t t t t
t tm
V i ớ
5 5t x
V y ậ
5S
d)
2 7 5 20 4
3 27 2 7 15
x y x x
x y x y y
V y h đã cho có nghi m ậ ệ ệ
; 4;15x y
Bài 3.
a) H c sinh t v đ thi (P)ọ ự ẽ ồ
b) Xét ph ng trình hoành đ giao đi m c a đ ng th ng ươ ộ ể ủ ườ ẳ
d
và c t parabol (P), ắ
ta có:
2 2
2 3 2 3 0 (*)x x m x x m
Ph ng trình (*) có ươ
2
' 1 1. 3 1 3m m
Đ đ ng th ng ể ườ ẳ
d
c t (P) t i hai đi m phân bi t có hoành đ ắ ạ ể ệ ộ
1 2
,x x
thì ph ng trìnhươ
(*) có hai nghi m phân bi t ệ ệ
1 2
;x x
0 1 0( ... )
1
' 0 1 3 0
3
a luon dung
m
m
Theo h th c Vi-et ta có: ệ ứ
1 2
1 2
2
3
x x
x x m
M iọ th c m c vui lòng xin liên hắ ắ ệ hotline: 084 283 45 85

Đây là b nả xem thử, vui lòng mua tài li u đ xem chi ti t (có l i gi i)ệ ể ế ờ ả
Theo bài ra ta có:
2
1 2 2 1
3 2 6x x x x
1 2 2 2 1 2
2 2
3 2 6
3 3 2 3 6
6 6
1
x x x mx x x
mx mx m
m
m
V y ậ
1m
là giá tr c n tìmị ầ
Bài 4.
G i s t n hàng hóa m i xe nh v n chuy n là ọ ố ấ ỗ ỏ ậ ể
x
(t n) ấ
0x
M i lo i xe l n v n chuy n đ c s t n hàng: ỗ ạ ớ ậ ể ượ ố ấ
1x
(t n)ấ
Khi đó s l ng xe nh d đ nh ph i dùng đ ch h t ố ượ ỏ ự ị ả ể ở ế
20
t n hàng hóa : ấ
20
x
(xe)
S xe l n d đ nh ph i dùng đ ch h t ố ớ ự ị ả ể ở ế
20
t n hàng hóa là: ấ
20
1x
(xe)
Vì th c t s xe nh dùng nhi u h n d đ nh là ự ế ố ỏ ề ơ ự ị
1
xe.
2 2
20 20 20 20 20
1 1
1 1
20 20 0
5( )
4( )
x x
x x x x
x x x x
x ktm
x tm
V y m i xe nh v n chuy n đ c ậ ỗ ỏ ậ ể ượ
4
t n hàng hóa.ấ
M iọ th c m c vui lòng xin liên hắ ắ ệ hotline: 084 283 45 85
