Đây là bản xem th , vu ử i lòng mua tài li u ệ đ xe ể m chi ti t ế (có l i ờ gi i ả ) S G Ở IÁO D C Ụ VÀ ĐÀO T O Ạ KỲ THI TUY N Ể SINH L P Ớ 10 TRUNG H C Ọ PHỔ H I Ả DƯ N Ơ G THÔNG NĂM H C Ọ 2023-2024 Môn thi: TOÁN Ngày thi: 02/06/2023 Th i
ờ gian làm bài: 120 phút, không tính th i ờ gian phát đề Đề thi có 01 trang Câu 1 (2,0 đi m) ể 2x 1 5 x 1. Giải phư ng t ơ rình: 5 3 3 x y 5 2. Giải h ph ệ ư ng t ơ
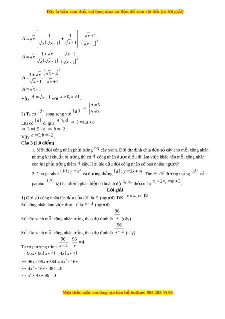
rình: 2x 5y 1 2 Câu 2 (2,0 đi m) ể 1 1 x 1 A x. : 1. Rút g n bi ọ ểu th c ứ : x x
x 1 x 2 x 1 x 0, x 1 v i ớ . d y a x b d 2. Cho đư ng t ờ hẳng :
. Tìm a và b để đư ng
ờ thẳng song song v i ớ đư ng ờ
d y x A 1;3 thẳng :
5 3 và đi qua điểm . Câu 3 (2,0 đi m) ể 1. M t ộ đ i ộ công nhân phải tr ng ồ 96 cây xanh. Đ i ộ d đ ự nh c ị hia đ u s ề c ố ây cho mỗi công nhân nh ng khi ư chuẩn bị tr ng t ồ
hì có 4 công nhân được điều đi làm việc khác nên m i ỗ công nhân còn lại phải tr ng ồ thêm 4 cây. H i ỏ lúc đầu đ i
ộ công nhân có bao nhiêu người? P y x d
y x m d 2. Cho parabol 2 : và đư ng ờ thẳng : 3
. Tìm m để đư ng t ờ hẳng cắt P
parabol tại hai điểm phân biệt có hoành đ ộ x , x x 2x m 3 1 2 th a ỏ mãn 1 2 . Câu 4 (3,0 đi m) ể
Cho tam giác ABC có ba góc nh n và ọ các đư ng
ờ cao AF, BD,CE cắt nhau tại H . 1. Ch ng m ứ inh rằng: DAH DEH . 2. G i
ọ O và M lần lượt là trung đi m ể c a
ủ BC và AH . Ch ng m ứ inh rằng: T gi ứ ác MDOE n i ộ ti p. ế 2 AH 2
MK. AF HF 3. G i
ọ K là giao điểm c a
ủ AH và DE . Ch ng m ứ inh rằng: . Câu 5 (1,0 đi m) ể 2 2 2
a b 2abc c 1 2
ab ac bc
Cho a,b,c là các s t ố hực dư ng. ơ Ch ng m ứ inh rằng: -----------H T Ế ----------- M i
ọ thắc mắc vui lòng xin liên h h
ệ otline: 084 283 45 85
Đây là bản xem th , vu ử i lòng mua tài li u ệ đ xe ể m chi ti t ế (có l i ờ gi i ả ) HƯ N Ớ G D N Ẫ GI I Ả Câu 1 (2,0 đi m) ể 2x 1 5 x 1. Giải phư ng t ơ rình: 5 3 3 x y 5 2. Giải h ph ệ ư ng t ơ
rình: 2x 5y 1 2 L i ờ giải 2x 1 5 x 3 2x 1 5 5 x 1) Ta có 5 3 6x 3 2
5 5x 11x 22 x 2 Vậy phư ng t ơ rình có nghi m ệ x 2 . 3 x y 5 1 5x 5 y 25
2) Ta có 2x 5y 12 2x 5y 1 2 13 x 13 x 1 2x 5y 1 2 y 2 ; x y 1; 2 Vậy h ph ệ ư ng t ơ rình có nghi m ệ . Câu 2 (2,0 đi m) ể 1 1 x 1 A x. : 1. Rút g n bi ọ ểu th c ứ : x x
x 1 x 2 x 1 x 0, x 1 v i ớ . d y a x b d 2. Cho đư ng t ờ hẳng :
. Tìm a và b để đư ng
ờ thẳng song song v i ớ đư ng ờ
d y x A 1;3 thẳng :
5 3 và đi qua điểm . L i ờ giải 1 1 x 1 A x. : 1) V i ớ x 0, x 1 ta có x x
x 1 x 2 x 1 M i
ọ thắc mắc vui lòng xin liên h h
ệ otline: 084 283 45 85
Đây là bản xem th , vu ử i lòng mua tài li u ệ đ xe ể m chi ti t ế (có l i ờ gi i ả ) 1 1 x 1 A x. : x x 1
x 1 x 2 1 1 x x 1 A x. :
x x 1 x 2 1 x x 2 1 1 A . x 1 x 1 A x 1
Vậy A x 1 v i ớ x 0, x 1 . a 5 d d
2) Ta có song song v i ớ b 3 d A 1;3 Lại có đi qua 3 1 .a b 3 1
.5 b b 2 Vậy a 5 , b 2 . Câu 3 (2,0 đi m) ể 1. M t ộ đ i ộ công nhân phải tr ng ồ 96 cây xanh. Đ i ộ d đ ự nh c ị hia đ u s ề c ố ây cho mỗi công nhân nh ng khi ư chuẩn bị tr ng t ồ
hì có 4 công nhân được điều đi làm việc khác nên m i ỗ công nhân còn lại phải tr ng ồ thêm 4 cây. H i ỏ lúc đầu đ i
ộ công nhân có bao nhiêu người? P y x d
y x m d 2. Cho parabol 2 : và đư ng ờ thẳng : 3
. Tìm m để đư ng t ờ hẳng cắt P
parabol tại hai điểm phân biệt có hoành đ ộ x , x x 2x m 3 1 2 th a ỏ mãn 1 2 . L i ờ giải 1) G i ọ s c ố ông nhân lúc đầu c a ủ đ i ộ là x (ngư i
ờ ). ĐK: x 4, x S c ố ông nhân làm vi c ệ th c
ự tế là x 4 (ngư i ờ ) 96 S c
ố ây xanh mỗi công nhân tr ng ồ theo d đ ự nh ị là x (cây) 96 S c
ố ây xanh mỗi công nhân tr ng ồ theo d đ ự nh ị là x 4 (cây) 96 96 4 Ta có phư ng t ơ rình x 4 x
96x 96 x 4 4
x x 4 2
96x 96x 384 4 x 16x 2
4x 16x 384 0 2
x 4x 96 0 M i
ọ thắc mắc vui lòng xin liên h h
ệ otline: 084 283 45 85
Đây là bản xem th , vu ử i lòng mua tài li u ệ đ xe ể m chi ti t ế (có l i ờ gi i ả ) 2 2 96 1 00 Phư ng ơ trình có hai nghi m ệ phân bi t ệ x 2 100 1 2 x 2 100 8 1 (th a ỏ mãn), 1 (loại) Vậy s c ố ông nhân lúc đầu c a ủ đ i ộ là 12 (ngư i ờ ). P d 2) Phư ng
ơ trình hoành độ giao đi m ể c a ủ và là: 2 2 x 3
x m x 3x m 0 (*) 9 4m P d
Để cắt tại hai điểm phân bi t ệ thì phư ng ơ trình (*) có hai nghi m ệ phân bi t ệ : 9 0 9 4m 0 m 4 x x 3 (1) 1 2
x x m (2) Theo h t ệ h c ứ Vi-ét: 1 2 Theo đ ề x 2x m 3 1 2 (3)
Từ (1), (3) suy ra 3 x m 3 x m x 3 m 2 2 1 m 0 m 0
m 4 m 0
m 3 m m Thay vào (2) ta có 4 m 0 m 4 Vậy m 0 hoặc m 4 . Câu 4 (3,0 đi m) ể
Cho tam giác ABC có ba góc nh n và ọ các đư ng c ờ
ao AF, BD,CE cắt nhau tại H . 1. Ch ng m ứ inh rằng: DAH DEH . 2. G i
ọ O và M lần lượt là trung đi m ể c a
ủ BC và AH . Ch ng m ứ inh rằng: T gi ứ ác MDOE n i ộ ti p. ế 2 AH 2
MK. AF HF 3. G i
ọ K là giao điểm c a
ủ AH và DE . Ch ng m ứ inh rằng: . L i ờ giải M i
ọ thắc mắc vui lòng xin liên h h
ệ otline: 084 283 45 85
Đề thi vào 10 Toán Tỉnh Hải Dương năm 2023-2024
638
319 lượt tải
MUA NGAY ĐỂ XEM TOÀN BỘ TÀI LIỆU
CÁCH MUA:
- B1: Gửi phí vào TK:
1053587071
- NGUYEN VAN DOAN - Ngân hàng Vietcombank (QR) - B2: Nhắn tin tới Zalo VietJack Official ( nhấn vào đây ) để xác nhận thanh toán và tải tài liệu - giáo án
Liên hệ ngay Hotline hỗ trợ: 084 283 45 85
Đề thi được cập nhật liên tục trong gói này từ nay đến hết tháng 3/2024. Chúng tôi đảm bảo đủ số lượng đề đã cam kết hoặc có thể nhiều hơn, tất cả có BẢN WORD, LỜI GIẢI CHI TIẾT và tải về dễ dàng.
Để tải tài liệu gốc về máy bạn click vào nút Tải Xuống ở trên!
Thuộc bộ (mua theo bộ để tiết kiệm hơn):
- Tailieugiaovien.com.vn giới thiệu Đề thi chính thức môn Toán vào 10 Tỉnh Hải Dương năm 2023-2024 nhằm giúp Giáo viên có thêm tài liệu tham khảo ra đề thi Toán vào 10.
- File word có lời giải chi tiết 100%.
- Mua trọn bộ sẽ tiết kiệm hơn tải lẻ 50%.
Đánh giá
4.6 / 5(638 )5
4
3
2
1

Trọng Bình
Tài liệu hay
Giúp ích cho tôi rất nhiều

Duy Trần
Tài liệu chuẩn
Rất thích tài liệu bên VJ soạn (bám sát chương trình dạy)
TÀI LIỆU BỘ BÁN CHẠY MÔN Toán Học
Xem thêmTÀI LIỆU BỘ BÁN CHẠY Ôn vào 10
Xem thêmTài liệu bộ mới nhất

Đây là b n xem th , vui lòng mua tài li u đ xem chi ti t (có l i gi i)ả ử ệ ể ế ờ ả
S GIÁO D C VÀ ĐÀO T OỞ Ụ Ạ
H I D NGẢ ƯƠ
KỲ THI TUY N SINH L P 10 TRUNG H C PHỂ Ớ Ọ Ổ
THÔNG
NĂM H C 2023-2024Ọ
Môn thi: TOÁN
Ngày thi: 02/06/2023
Th i gian làm bài: 120 phút, không tính th i gian phát đờ ờ ề
Đ thi có 01 trang ề
Câu 1 (2,0 đi m)ể
1. Gi i ph ng trình: ả ươ
2 1 5
5 3
x x
2. Gi i h ph ng trình: ả ệ ươ
3 5
2 5 12
x y
x y
Câu 2 (2,0 đi m)ể
1. Rút g n bi u th c: ọ ể ứ
1 1 1
. :
1 2 1
x
A x
x x x x x
v i ớ
0, 1x x
.
2. Cho đ ng th ng ườ ẳ
:d y ax b
. Tìm
a
và
b
đ đ ng th ng ể ườ ẳ
d
song song v i đ ng ớ ườ
th ng ẳ
: 5 3d y x
và đi qua đi m ể
1;3A
.
Câu 3 (2,0 đi m)ể
1. M t đ i công nhân ph i tr ng ộ ộ ả ồ
96
cây xanh. Đ i d đ nh chia đ u s cây cho m i công nhânộ ự ị ề ố ỗ
nh ng khi chu n b tr ng thì có ư ẩ ị ồ
4
công nhân đ c đi u đi làm vi c khác nên m i công nhân ượ ề ệ ỗ
còn l i ph i tr ng thêm ạ ả ồ
4
cây. H i lúc đ u đ i công nhân có bao nhiêu ng i?ỏ ầ ộ ườ
2. Cho parabol
2
:P y x
và đ ng th ng ườ ẳ
: 3d y x m
. Tìm
m
đ đ ng th ng ể ườ ẳ
d
c t ắ
parabol
P
t i hai đi m phân bi t có hoành đ ạ ể ệ ộ
1 2
,x x
th a mãn ỏ
1 2
2 3x x m
.
Câu 4 (3,0 đi m) ể
Cho tam giác
ABC
có ba góc nh n và các đ ng cao ọ ườ
, ,AF BD CE
c t nhau t i ắ ạ
H
.
1. Ch ng minh r ng: ứ ằ
DAH DEH
.
2. G i ọ
O
và
M
l n l t là trung đi m c a ầ ượ ể ủ
BC
và
AH
. Ch ng minh r ng: T giác ứ ằ ứ
MDOE
n i ti p.ộ ế
3. G i ọ
K
là giao đi m c a ể ủ
AH
và
DE
. Ch ng minh r ng: ứ ằ
2
2 .AH MK AF HF
.
Câu 5 (1,0 đi m) ể
Cho
, ,a b c
là các s th c d ng. Ch ng minh r ng: ố ự ươ ứ ằ
2 2 2
2 1 2a b abc c ab ac bc
-----------H T-----------Ế
M i th c m c vui lòng xin liên h hotline: 084 283 45 85ọ ắ ắ ệ

Đây là b n xem th , vui lòng mua tài li u đ xem chi ti t (có l i gi i)ả ử ệ ể ế ờ ả
H NG D N GI IƯỚ Ẫ Ả
Câu 1 (2,0 đi m)ể
1. Gi i ph ng trình: ả ươ
2 1 5
5 3
x x
2. Gi i h ph ng trình: ả ệ ươ
3 5
2 5 12
x y
x y
L i gi iờ ả
1) Ta có
2 1 5
5 3
x x
3 2 1 5 5x x
6 3 25 5x x
11 22x
2x
V y ph ng trình có nghi m ậ ươ ệ
2x
.
2) Ta có
3 5
2 5 12
x y
x y
15 5 25
2 5 12
x y
x y
13 13
2 5 12
x
x y
1
2
x
y
V y h ph ng trình có nghi m ậ ệ ươ ệ
; 1;2x y
.
Câu 2 (2,0 đi m)ể
1. Rút g n bi u th c: ọ ể ứ
1 1 1
. :
1 2 1
x
A x
x x x x x
v i ớ
0, 1x x
.
2. Cho đ ng th ng ườ ẳ
:d y ax b
. Tìm
a
và
b
đ đ ng th ng ể ườ ẳ
d
song song v i đ ng ớ ườ
th ng ẳ
: 5 3d y x
và đi qua đi m ể
1;3A
.
L i gi iờ ả
1) V i ớ
0, 1x x
ta có
1 1 1
. :
1 2 1
x
A x
x x x x x
M i th c m c vui lòng xin liên h hotline: 084 283 45 85ọ ắ ắ ệ

Đây là b n xem th , vui lòng mua tài li u đ xem chi ti t (có l i gi i)ả ử ệ ể ế ờ ả
2
1 1 1
. :
1
1
1
x
A x
x
x x
x
2
1 1
. :
1
1
x x
A x
x x
x
2
1
1
.
1 1
x
x
A
x x
1A x
V y ậ
1A x
v i ớ
0, 1x x
.
2) Ta có
d
song song v i ớ
d
5
3
a
b
L i có ạ
d
đi qua
1;3A
3 1.a b
3 1.5 b
2b
V y ậ
5, 2a b
.
Câu 3 (2,0 đi m)ể
1. M t đ i công nhân ph i tr ng ộ ộ ả ồ
96
cây xanh. Đ i d đ nh chia đ u s cây cho m i công nhânộ ự ị ề ố ỗ
nh ng khi chu n b tr ng thì có ư ẩ ị ồ
4
công nhân đ c đi u đi làm vi c khác nên m i công nhân ượ ề ệ ỗ
còn l i ph i tr ng thêm ạ ả ồ
4
cây. H i lúc đ u đ i công nhân có bao nhiêu ng i?ỏ ầ ộ ườ
2. Cho parabol
2
:P y x
và đ ng th ng ườ ẳ
: 3d y x m
. Tìm
m
đ đ ng th ng ể ườ ẳ
d
c t ắ
parabol
P
t i hai đi m phân bi t có hoành đ ạ ể ệ ộ
1 2
,x x
th a mãn ỏ
1 2
2 3x x m
.
L i gi iờ ả
1) G i s công nhân lúc đ u c a đ i là ọ ố ầ ủ ộ
x
(ng i). ĐK: ườ
4,x x
S công nhân làm vi c th c t là ố ệ ự ế
4x
(ng i)ườ
S cây xanh m i công nhân tr ng theo d đ nh là ố ỗ ồ ự ị
96
x
(cây)
S cây xanh m i công nhân tr ng theo d đ nh là ố ỗ ồ ự ị
96
4x
(cây)
Ta có ph ng trình ươ
96 96
4
4x x
96 96 4 4 4x x x x
2
96 96 384 4 16x x x x
2
4 16 384 0x x
2
4 96 0x x
M i th c m c vui lòng xin liên h hotline: 084 283 45 85ọ ắ ắ ệ

Đây là b n xem th , vui lòng mua tài li u đ xem chi ti t (có l i gi i)ả ử ệ ể ế ờ ả
2
2 96 100
Ph ng trình có hai nghi m phân bi t ươ ệ ệ
1
2 100 12x
(th a mãn), ỏ
1
2 100 8x
(lo i)ạ
V y s công nhân lúc đ u c a đ i là ậ ố ầ ủ ộ
12
(ng i).ườ
2) Ph ng trình hoành đ giao đi m c a ươ ộ ể ủ
P
và
d
là:
2 2
3 3 0x x m x x m
(*)
9 4m
Đ ể
P
c t ắ
d
t i hai đi m phân bi t thì ph ng trình (*) có hai nghi m phân bi t: ạ ể ệ ươ ệ ệ
9
0 9 4 0
4
m m
Theo h th c Vi-ét: ệ ứ
1 2
1 2
3 (1)
(2)
x x
x x m
Theo đ ề
1 2
2 3x x m
(3)
T (1), (3) suy ra ừ
2 2 1
3 3 3x m x m x m
Thay vào (2) ta có
3m m m
0 0
4 0
4 0 4
m m
m m
m m
V y ậ
0m
ho c ặ
4m
.
Câu 4 (3,0 đi m) ể Cho tam giác
ABC
có ba góc nh n và các đ ng cao ọ ườ
, ,AF BD CE
c t nhau t i ắ ạ
H
.
1. Ch ng minh r ng: ứ ằ
DAH DEH
.
2. G i ọ
O
và
M
l n l t là trung đi m c a ầ ượ ể ủ
BC
và
AH
. Ch ng minh r ng: T giác ứ ằ ứ
MDOE
n i ti p.ộ ế
3. G i ọ
K
là giao đi m c a ể ủ
AH
và
DE
. Ch ng minh r ng: ứ ằ
2
2 .AH MK AF HF
.
L i gi iờ ả
M i th c m c vui lòng xin liên h hotline: 084 283 45 85ọ ắ ắ ệ

Đây là b n xem th , vui lòng mua tài li u đ xem chi ti t (có l i gi i)ả ử ệ ể ế ờ ả
1) Vì
,BD CE
là đ ng cao nên ườ
90BDA CEA
T giác ứ
ADHE
có
90 90 180HDA HEA
nên
ADHE
n i ti p đ ng tròn, suy raộ ế ườ
DAH DEH
(hai góc n i ti p cùng ch n cung ộ ế ắ
HE
)
V y ậ
DAH DEH
.
2) Tam giác
ADH
vuông t i ạ
D
có
DM
là trung tuy n (là trung đi m ế ể
AH
), suy ra
2
AH
MD MA MH
T ng t : ươ ự
2
AH
ME MA MH
Suy ra
MD MA MH ME
MAD
cân t i ạ
M
, suy ra
MDA MAD
.
T ng t : ươ ự
ODC OCD
Do đó:
90MDA ODC MAD OCD
Suy ra
90MDO
T ng t : ươ ự
90MEO
T giác ứ
MDOE
có
90 90 180MDO MEO
nên
MDOE
n i ti p đ ng tròn.ộ ế ườ
3)
Ta có
2
2 .AH MK AF HF
(1)
2
2 .AH MK AH HF HF
2
4 2 . 2 2MH MK HM HF
2
. .MH MK HM MK HF
2
. .MH MK HM MK HF
. .MH MH MK MK HF
M i th c m c vui lòng xin liên h hotline: 084 283 45 85ọ ắ ắ ệ