Đây là bản xem th , vu ử i lòng mua tài li u ệ đ xe ể m chi ti t ế (có l i ờ gi i ả ) Ngày so n: ạ …/…/… Ngày d y: ạ …/…/… BÀI TẬP CH Đ Ủ Ề 5 I. M C Ụ TIÊU: 1. Ki n t ế h c: ứ H c ôn t ọ p, ậ c ng c ủ ố l i ạ : - Ôn t p, ậ t ng ổ k t ế toàn bộ n i ộ dung ki n ế th c ứ c a ủ cả chủ đề “Chuy n ể đ ng ộ tròn và bi n d ế ng ạ ”. - Luyện t p
ậ các kĩ năng tính toán. 2. Năng l c ự Năng l c chung ự : - Năng l c t ự ch ự ủ và t h ự c t ọ rong tìm tòi khám phá. - Năng l c gi ự ao ti p và ế h p t
ợ ác trong trình bày, th o ả lu n ậ và làm vi c nhóm ệ . - Năng l c gi ự i ả quy t ế v n đ ấ và s ề áng t o t ạ rong th c ự hành, v n d ậ ng. ụ Năng l c ự riêng: Tổng h p, ợ k t ế n i ố các ki n ế th c ứ c a ủ nhi u ề bài h c ọ nh m ằ giúp HS ôn t p ậ toàn b ki ộ n t ế h c c ứ a ủ ch đ ủ . C ề ng ủ c , kh ố c s ắ âu nh ng ki ữ n t ế h c ứ đã h c. ọ 3. Phẩm ch t ấ - Có ý th c ứ h c t ọ p ậ , ý th c t
ứ ìm tòi, khám phá và sáng tạo, có ý th c ứ làm vi c ệ nhóm. - Chăm chỉ tích c c ự xây d ng ự bài, có trách nhi m ệ , ch ủ đ ng ộ chi m ế lĩnh ki n ế th c ứ theo sự hư ng d ớ ẫn c a ủ GV.
- Hình thành tư duy logic, l p ậ lu n ậ ch t ặ ch , ẽ và linh ho t
ạ trong quá trình suy nghĩ; bi t ế tích h p ợ v t ậ lí và cu c ộ s ng. ố M i ọ thắc m c
ắ vui lòng xin liên h h
ệ otline: 084 283 45 85
Đây là bản xem th , vu ử i lòng mua tài li u ệ đ xe ể m chi ti t ế (có l i ờ gi i ả ) II. THIẾT B D Ị ẠY H C Ọ VÀ H C Ọ LI U Ệ
1 – GV: SGK, SGV, Tài li u gi ệ ng d ả y ạ , giáo án PPT,..
2 – HS: SGK, SBT, vở ghi, gi y ấ nháp, đ ồ dùng h c ọ t p ậ (bút, thư c...) ớ , b ng ả nhóm, bút vi t ế b ng ả nhóm, ôn l i ạ các ki n ế th c đã h ứ c t ọ rong ch đ ủ ề. III. TI N Ế TRÌNH D Y Ạ H C Ọ A. HOẠT Đ N Ộ G KH I Ở Đ N Ộ G (M Đ Ở U Ầ ) a) M c t ụ iêu: Giúp HS c ng ủ cố, nhớ l i ạ các ki n t ế h c ứ đã h c t ọ rong ch đ ủ ề b) N i
ộ dung: HS chú ý l ng ắ nghe, ho t ạ đ ng ộ nhóm ti n ế hành th c ự hi n ệ các yêu c u ầ c a ủ GV c) S n ả ph m
ẩ : Sơ đồ tư duy t ng ổ k t ế ki n ế th c
ứ chủ đề V. Chuy n ể đ ng ộ tròn và bi n d ế ng. ạ d) T ch ổ ức thực hi n: ệ Bước 1: Chuy n gi ể ao nhi m ệ v : ụ - GV chia l p ớ thành 4 nhóm ho t ạ đ ng ộ theo kĩ thu t ậ khăn tr i ả bàn hệ th ng ố l i ạ ki n ế th c ứ đã h c ọ c a ủ chư ng ơ và t ng ổ h p ợ ý ki n ế vào gi y
ấ A1 thành sơ đồ tư duy và yêu
cầu các nhóm trình bày rõ các n i ộ dung sau: + Mô tả chuy n đ ể ng ộ tròn. + Đ d ộ ch chuy ị n ể góc và t c ố đ góc. ộ + Tốc độ và v n ậ tốc c a ủ chuy n đ ể ng t ộ ròn đ u. ề + L c h ự ư ng t ớ âm và gia t c h ố ư ng ớ tâm. M i ọ thắc m c
ắ vui lòng xin liên h h
ệ otline: 084 283 45 85
Đây là bản xem th , vu ử i lòng mua tài li u ệ đ xe ể m chi ti t ế (có l i ờ gi i ả ) + Bi n d ế ng ạ nén, bi n d ế ng ạ kéo. + Đ c ặ tính c a ủ lò xo. + Định lu t ậ Hooke và ng d ứ ng. ụ
Bước 2: Thực hi n nhi ệ m ệ v : ụ HS chú ý, th o l ả u n
ậ nhóm hoàn thành yêu c u. ầ
Bước 3: Báo cáo, th o ả lu n
ậ : Sau khi hoàn thành th o ả lu n: ậ Các nhóm treo ph n ầ bài làm c a ủ mình trên b ng ả và sau khi t t ấ c ả các nhóm k t ế thúc ph n ầ th o ả lu n ậ c a ủ mình GV g i ọ b t
ấ kì HS nào trong nhóm đ i ạ di n t ệ rình bày. Bước 4: K t ế lu n, ậ nh n ậ đ n
ị h: GV đánh giá k t ế quả c a ủ các nhóm HS, trên c ơ s ở đó
cho các em hoàn thành bài t p. ậ
B. HÌNH THÀNH KI N Ế TH C Ứ M I Ớ C. HOẠT Đ N Ộ G LUY N Ệ T P Ậ a) M c t ụ iêu: - Ôn t p n ậ i ộ dung ki n ế th c c ứ a c ủ ch ả đ ủ . ề - Luyện t p, ậ c ng c ủ
ố các kĩ năng tính toán. b) N i ộ dung: GV chi u ế các câu h i ỏ , HS v n ậ d ng ụ các ki n ế th c ứ đã h c ọ để l a ự ch n ọ đáp án đúng. c) S n ph ả m ẩ h c ọ t p: ậ Câu tr l ả i ờ c a ủ HS. d) T ch ổ ức thực hi n: ệ Bước 1: Chuy n gi ể ao nhi m ệ v : ụ - GV chi u ế các câu h i ỏ : M i ọ thắc m c
ắ vui lòng xin liên h h
ệ otline: 084 283 45 85
Đây là bản xem th , vu ử i lòng mua tài li u ệ đ xe ể m chi ti t ế (có l i ờ gi i ả ) Câu 1: M t ộ chi c ế tàu th y ủ neo t i ạ m t ộ n i ơ trên đư ng ờ xích đ o. ạ Tính t c ố độ góc và tốc độ c a ủ tàu th y ủ trong hệ quy chi u ế g n ắ v i ớ tâm Trái Đ t ấ . Coi Trái Đ t ấ hình c u ầ có
bán kính R = 6400 km và chu kỳ t quay c ự a ủ Trái Đ t ấ T = 24 giờ Câu 2: H a ỏ tinh quay quanh M t ặ Tr i ờ m t ộ vòng h t ế 687 ngày, ở kho ng ả cách 2,3.1011 m . Khối lư ng c ợ a ủ H a ỏ Tinh. Kh i ố lư ng c ợ a ủ H a
ỏ Tinh là 6,4.1023 kg. Tính: a. Tốc độ trên qu đ ỹ o ạ c a H ủ a ỏ Tinh. b. Gia tốc hư ng ớ tâm c a H ủ a ỏ Tinh. c. L c h ự ấp dẫn mà M t ặ Tr i ờ tác d ng l ụ ên H a ỏ Tinh. Câu 3: M t ộ viên đá có kh i ố lư ng ợ 0,2 kg đư c ợ bu c ộ vào s i ợ dây dài 30 cm và quay thành hình tròn trong m t ặ ph ng ẳ ngang. Bi t ế r ng, ằ s i ợ dây đ t ứ khi căng dây vư t ợ quá 0,8 N. Tính tốc đ t
ộ ối đa mà viên đá đư c ợ quay mà s i ợ dây v n ch ẫ a b ư đ ị t ứ . Câu 4: M t ộ v t ậ chuy n ể đ ng ộ tròn v i ớ t c ố đ ộ không đ i ổ . Các đ i ạ lư ng: ợ t c ố đ , ộ đ ng ộ năng, đ ng ộ lư ng, ợ l c ự hư ng ớ tâm, gia t c ố hư ng ớ tâm (theo cả độ l n ớ và chi u) ề thay đổi nh t ư h nào khi ế v t ậ chuy n đ ể ng t ộ rên đư ng t ờ ròn qu đ ỹ o? ạ Câu 5: M t ộ lò xo có đ ộ c ng ứ 25 N/m. Đ t ặ lò xo th ng ẳ đ ng. ứ C ố đ nh ị đ u ầ dư i ớ c a ủ lò xo. Đ u ầ trên c a ủ lò xo g n ầ v i ớ v t ậ có kh i ố lư ng ợ xác đ nh. ị Lò xo bị nén 4 cm. Tìm khối lư ng c ợ a ủ v t ậ . L y g = 9,8 m ấ /s2.
Bước 2: Thực hi n nhi ệ m ệ v : ụ - HS ti p nh ế n nhi ậ m ệ v , hoàn t ụ hành yêu c u. ầ
Bước 3: Báo cáo, thảo lu n ậ : - HS đ a r ư a đáp án:
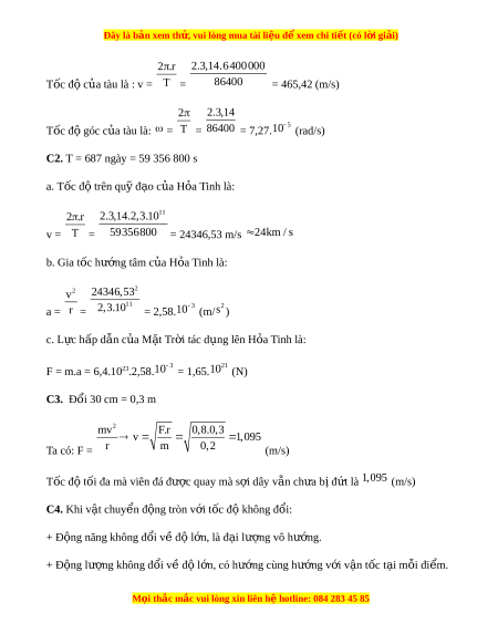
C1. Đổi 6400 km = 6 400 000 m; 24h = 86400 s M i ọ thắc m c
ắ vui lòng xin liên h h
ệ otline: 084 283 45 85
Giáo án Bài tập chủ đề 5 Vật lí 10 Cánh diều (2024)
476
238 lượt tải
MUA NGAY ĐỂ XEM TOÀN BỘ TÀI LIỆU
CÁCH MUA:
- B1: Gửi phí vào TK:
1053587071
- NGUYEN VAN DOAN - Ngân hàng Vietcombank (QR) - B2: Nhắn tin tới Zalo VietJack Official ( nhấn vào đây ) để xác nhận thanh toán và tải tài liệu - giáo án
Liên hệ ngay Hotline hỗ trợ: 084 283 45 85
Bộ giáo án Vật lí 10 Cánh diều đã cập nhật đủ Cả năm.
Để tải tài liệu gốc về máy bạn click vào nút Tải Xuống ở trên!
Thuộc bộ (mua theo bộ để tiết kiệm hơn):
- Bộ giáo án Vật lí 10 Cánh diều năm 2024 mới, chuẩn nhất được thiết kế theo phong cách hiện đại, đẹp mắt, trình bày chi tiết cho từng bài học và bám sát chương trình Sách giáo khoa Vật lí 10 Cánh diều.
- Mua trọn bộ sẽ tiết kiệm hơn tải lẻ 50%.
Đánh giá
4.6 / 5(476 )5
4
3
2
1

Trọng Bình
Tài liệu hay
Giúp ích cho tôi rất nhiều

Duy Trần
Tài liệu chuẩn
Rất thích tài liệu bên VJ soạn (bám sát chương trình dạy)
TÀI LIỆU BỘ BÁN CHẠY MÔN Vật Lý
Xem thêmTÀI LIỆU BỘ BÁN CHẠY Lớp 10
Xem thêmTài liệu bộ mới nhất

Đây là b n xem th , vui lòng mua tài li u đ xem chi ti t (có l i gi i)ả ử ệ ể ế ờ ả
Ngày so n:…/…/…ạ
Ngày d y:…/…/…ạ
BÀI T PẬ CH Đ 5Ủ Ề
I. M C TIÊUỤ :
1. Ki n th c:ế ứ H c ôn t p, c ng c l i:ọ ậ ủ ố ạ
- Ôn t p, t ng k t toàn b n i dung ki n th c c a cậ ổ ế ộ ộ ế ứ ủ ả ch đ ủ ề “Chuy n đ ng tròn vàể ộ
bi n d ng”.ế ạ
- Luy n t p các kĩ năng tính toán. ệ ậ
2. Năng l c ự
Năng l c chung:ự
- Năng l c t ch và t h c trong tìm tòi khám pháự ự ủ ự ọ .
- Năng l c giao ti p và h p tác trong trình bày, th o lu n và làm vi c nhómự ế ợ ả ậ ệ .
- Năng l c gi i quy t v n đ và sáng t o trong th c hành, v n d ng.ự ả ế ấ ề ạ ự ậ ụ
Năng l c riêng: ự T ng h p, k t n i các ki n th c c a nhi u bài h c nh m giúp HS ônổ ợ ế ố ế ứ ủ ề ọ ằ
t p toàn b ki n th c c a ch đ . C ng c , kh c sâu nh ng ki n th c đã h c.ậ ộ ế ứ ủ ủ ề ủ ố ắ ữ ế ứ ọ
3. Ph m ch tẩ ấ
- Có ý th c ứ h c t pọ ậ , ý th c tìm tòi, khám phá và sáng tứ ạo, có ý th c làm vi c nhóm.ứ ệ
- Chăm ch tích c c xây d ng bài, có trách nhi m, ch đ ng chi m lĩnh ki n th c theoỉ ự ự ệ ủ ộ ế ế ứ
s h ng d n c a GV.ự ướ ẫ ủ
- Hình thành t duy logic, l p lu n ch t ch , và linh ho t trong quá trình suy nghĩ; bi tư ậ ậ ặ ẽ ạ ế
tích h p v t lí và cu c s ng.ợ ậ ộ ố
M i th c m c vui lòng xin liên h hotline: 084 283 45 85ọ ắ ắ ệ

Đây là b n xem th , vui lòng mua tài li u đ xem chi ti t (có l i gi i)ả ử ệ ể ế ờ ả
II. THI T B D Y H C VÀ H C LI UẾ Ị Ạ Ọ Ọ Ệ
1 – GV: SGK, SGV, Tài li u gi ng d y, giáo án PPT,..ệ ả ạ
2 – HS: SGK, SBT, v ghi, gi y nháp, đ dùng h c t p (bút, th c...), b ng nhóm, bútở ấ ồ ọ ậ ướ ả
vi t b ng nhóm, ôn l i các ki n th c đã h c trong ch đế ả ạ ế ứ ọ ủ ề.
III. TI N TRÌNH D Y H CẾ Ạ Ọ
A. HO T Đ NG KH I Đ NG (M Đ U)Ạ Ộ Ở Ộ Ở Ầ
a) M c tiêu:ụ Giúp HS c ng củ ố, nh l i các ki n th c đã h c trong ch đ ớ ạ ế ứ ọ ủ ề
b) N i dung: ộ HS chú ý l ng ngheắ , ho t đ ng nhóm ti n hành th c hi n các yêu c uạ ộ ế ự ệ ầ
c a GVủ
c) S n ph m: ả ẩ S đ t duy t ng k t ki n th c ơ ồ ư ổ ế ế ứ ch đủ ề V. Chuy n đ ng tròn vàể ộ
bi n d ng.ế ạ
d) T ch c th c hi n: ổ ứ ự ệ
B c 1: Chuy n giao nhi m v :ướ ể ệ ụ
- GV chia l p thành 4 nhóm ho t đ ng theo kĩ thu t khăn tr i bàn h th ng l i ki nớ ạ ộ ậ ả ệ ố ạ ế
th c đã h c c a ch ng và t ng h p ý ki n vào gi y A1 thành s đ t duy và yêuứ ọ ủ ươ ổ ợ ế ấ ơ ồ ư
c u các nhóm trình bày rõ các n i dung sau:ầ ộ
+ Mô t chuy n đ ng tròn.ả ể ộ
+ Đ d ch chuy n góc và t c đ góc. ộ ị ể ố ộ
+ T c đ và v n t c c a chuy n đ ng tròn đ u.ố ộ ậ ố ủ ể ộ ề
+ L c h ng tâm và gia t c h ng tâm.ự ướ ố ướ
M i th c m c vui lòng xin liên h hotline: 084 283 45 85ọ ắ ắ ệ

Đây là b n xem th , vui lòng mua tài li u đ xem chi ti t (có l i gi i)ả ử ệ ể ế ờ ả
+ Bi n d ng nén, bi n d ng kéo.ế ạ ế ạ
+ Đ c tính c a lò xo.ặ ủ
+ Đ nh lu t Hooke và ng d ng.ị ậ ứ ụ
B c 2: Th c hi n nhi m v : ướ ự ệ ệ ụ HS chú ý, th o lu n nhóm hoàn thành yêu c u.ả ậ ầ
B c 3: Báo cáo, th o lu n: ướ ả ậ Sau khi hoàn thành th o lu n: Các nhóm treo ph n bàiả ậ ầ
làm c a mình trên b ng và sau khi t t c các nhóm k t thúc ph n th o lu n c a mìnhủ ả ấ ả ế ầ ả ậ ủ
GV g i b t kì HS nào trong nhóm đ i di n trình bày.ọ ấ ạ ệ
B c 4: K t lu n, nh n đ nh: ướ ế ậ ậ ị GV đánh giá k t qu c a các nhóm HS, trên c s đóế ả ủ ơ ở
cho các em hoàn thành bài t p.ậ
B. HÌNH THÀNH KI N TH C M IẾ Ứ Ớ
C. HO T Đ NG LUY N T PẠ Ộ Ệ Ậ
a) M c tiêu:ụ
- Ôn t p n i dung ki n th c c a c ch đ .ậ ộ ế ứ ủ ả ủ ề
- Luy nệ t p, c ng c các kĩ năng tính toán.ậ ủ ố
b) N i dung: ộ GV chi u các câu h i, HS v n d ng các ki n th c đã h c đ l a ch nế ỏ ậ ụ ế ứ ọ ể ự ọ
đáp án đúng.
c) S n ph m h c t p: ả ẩ ọ ậ Câu tr l i c a HS.ả ờ ủ
d) T ch c th c hi n: ổ ứ ự ệ
B c 1: Chuy n giao nhi m v :ướ ể ệ ụ
- GV chi uế các câu h i:ỏ
M i th c m c vui lòng xin liên h hotline: 084 283 45 85ọ ắ ắ ệ

Đây là b n xem th , vui lòng mua tài li u đ xem chi ti t (có l i gi i)ả ử ệ ể ế ờ ả
Câu 1: M t chi c tàu th y neo t i m t n i trên đ ng xích đ o. Tính t c đ góc vàộ ế ủ ạ ộ ơ ườ ạ ố ộ
t c đ c a tàu th y trong h quy chi u g n v i tâm Trái Đ t. Coi Trái Đ t hình c u cóố ộ ủ ủ ệ ế ắ ớ ấ ấ ầ
bán kính R = 6400 km và chu kỳ t quay c a Trái Đ t T = 24 giự ủ ấ ờ
Câu 2: H a tinh quay quanh M t Tr i m t vòng h t 687 ngày, kho ng cáchỏ ặ ờ ộ ế ở ả
2,3.10
11
m . Kh i l ng c a H a Tinh. Kh i l ng c a H a Tinh là 6,4.10ố ượ ủ ỏ ố ượ ủ ỏ
23
kg. Tính:
a. T c đ trên qu đ o c a H a Tinh.ố ộ ỹ ạ ủ ỏ
b. Gia t c h ng tâm c a H a Tinh.ố ướ ủ ỏ
c. L c h p d n mà M t Tr i tác d ng lên H a Tinh.ự ấ ẫ ặ ờ ụ ỏ
Câu 3: M t viên đá có kh i l ng 0,2 kg đ c bu c vào s i dây dài 30 cm và quayộ ố ượ ượ ộ ợ
thành hình tròn trong m t ph ng ngang. Bi t r ng, s i dây đ t khi căng dây v t quáặ ẳ ế ằ ợ ứ ượ
0,8 N. Tính t c đ t i đa mà viên đá đ c quay mà s i dây v n ch a b đ t.ố ộ ố ượ ợ ẫ ư ị ứ
Câu 4: M t v t chuy n đ ng tròn v i t c đ không đ i. Các đ i l ng: t c đ , đ ngộ ậ ể ộ ớ ố ộ ổ ạ ượ ố ộ ộ
năng, đ ng l ng, l c h ng tâm, gia t c h ng tâm (theo c đ l n và chi u) thayộ ượ ự ướ ố ướ ả ộ ớ ề
đ i nh th nào khi v t chuy n đ ng trên đ ng tròn qu đ o?ổ ư ế ậ ể ộ ườ ỹ ạ
Câu 5: M t lò xo có đ c ng 25 N/m. Đ t lò xo th ng đ ng. C đ nh đ u d i c a lòộ ộ ứ ặ ẳ ứ ố ị ầ ướ ủ
xo. Đ u trên c a lò xo g n v i v t có kh i l ng xác đ nh. Lò xo b nén 4 cm. Tìmầ ủ ầ ớ ậ ố ượ ị ị
kh i l ng c a v t. L y g = 9,8 m/số ượ ủ ậ ấ
2
.
B c 2: Th c hi n nhi m v : ướ ự ệ ệ ụ
- HS ti p nh n nhi m v , hoàn thành yêu c u.ế ậ ệ ụ ầ
B c 3: Báo cáo, th o lu n: ướ ả ậ
- HS đ a ra đáp án: ư
C1. Đ i 6400 km = 6 400 000 mổ ; 24h = 86400 s
M i th c m c vui lòng xin liên h hotline: 084 283 45 85ọ ắ ắ ệ

Đây là b n xem th , vui lòng mua tài li u đ xem chi ti t (có l i gi i)ả ử ệ ể ế ờ ả
T c đ c a tàu là : v = ố ộ ủ
2 .r
T
=
2.3,14. 6 400 000
86400
= 465,42 (m/s)
T c đ góc c a tàu là:ố ộ ủ
=
2
T
=
2.3,14
86400
= 7,27.
5
10
(rad/s)
C2. T = 687 ngày = 59 356 800 s
a. T c đ trên qu đ o c a H a Tinh là:ố ộ ỹ ạ ủ ỏ
v =
2 .r
T
=
11
2.3,14.2,3.1 0
59 356 800
= 24346,53 m/s
24km / s
b. Gia t c h ng tâm c a H a Tinh là:ố ướ ủ ỏ
a =
2
v
r
=
2
11
24346,53
2,3.1 0
= 2,58.
3
10
(m/
2
s
)
c. L c h p d n c a M t Tr i tác d ng lên H a Tinh là:ự ấ ẫ ủ ặ ờ ụ ỏ
F = m.a = 6,4.10
23
.2,58.
3
10
= 1,65.
21
10
(N)
C3. Đ i 30 cm = 0,3 mổ
Ta có: F =
2
mv F.r 0,8.0,3
v 1,095
r m 0,2
(m/s)
T c đ t i đa mà viên đá đ c quay mà s i dây v n ch a b đ t là ố ộ ố ượ ợ ẫ ư ị ứ
1,095
(m/s)
C4. Khi v t chuy n đ ng tròn v i t c đ không đ i:ậ ể ộ ớ ố ộ ổ
+ Đ ng năng không đ i v đ l n, là đ i l ng vô h ng.ộ ổ ề ộ ớ ạ ượ ướ
+ Đ ng l ng không đ i v đ l n, có h ng cùng h ng v i v n t c t i m i đi m.ộ ượ ổ ề ộ ớ ướ ướ ớ ậ ố ạ ỗ ể
M i th c m c vui lòng xin liên h hotline: 084 283 45 85ọ ắ ắ ệ