Ngày soạn: …/…/… Ngày dạy: …/…/…
BÀI: BÀI TẬP CUỐI CHƯƠNG II (2 TIẾT) I. MỤC TIÊU:
1. Kiến thức: Học ôn tập, củng cố lại:
‒ Ôn tập, tổng kết toàn bộ nội dung kiến thức của cả chương
‒ Luyện tập các kĩ năng tính toán 2. Năng lực
Năng lực chung:
‒ Năng lực tự chủ và tự học trong tìm tòi khám phá
‒ Năng lực giao tiếp và hợp tác trong trình bày, thảo luận và làm việc nhóm
‒ Năng lực giải quyết vấn đề và sáng tạo trong thực hành, vận dụng.
Năng lực riêng: tư duy và lập luận toán học, mô hình hóa toán học, sử dụng công cụ,
phương tiện học toán; giải quyết vấn đề toán học.
‒ Tổng hợp, kết nối các kiến thức của nhiều bài học nhằm giúp HS ôn tập toàn bộ kiến thức của chương.
→ củng cố, khắc sâu những kiến thức đã học. 3. Phẩm chất
‒ Có ý thức học tập, ý thức tìm tòi, khám phá và sáng tạo, có ý thức làm việc nhóm. 1
‒ Chăm chỉ tích cực xây dựng bài, có trách nhiệm, chủ động chiếm lĩnh kiến thức
theo sự hướng dẫn của GV.
‒ Hình thành tư duy logic, lập luận chặt chẽ, và linh hoạt trong quá trình suy nghĩ;
biết tích hợp toán học và cuộc sống.
II. THIẾT BỊ DẠY HỌC VÀ HỌC LIỆU
1. Giáo viên: SGK, SGV, Tài liệu giảng dạy, giáo án PPT,..
2. Học sinh: SGK, SBT, vở ghi, giấy nháp, đồ dùng học tập (bút, thước...), bảng
nhóm, bút viết bảng nhóm, ôn lại các kiến thức đã học trong chương
III. TIẾN TRÌNH DẠY HỌC
A. HOẠT ĐỘNG KHỞI ĐỘNG (MỞ ĐẦU)
a) Mục tiêu: Giúp HS củng cố, nhớ lại các kiến thức đã học trong chương.
b) Nội dung: HS chú ý lắng nghe, hoạt động nhóm tiến hành thực hiện các yêu cầu của GV
c) Sản phẩm: Sơ đồ tư duy tổng kết kiến thức chương II. Số thực
d) Tổ chức thực hiện:
Bước 1: Chuyển giao nhiệm vụ:
GV chia lớp thành 4 nhóm hoạt động theo kĩ thuật khăn trải bàn hệ thống lại kiến
thức đã học của chương và tổng hợp ý kiến vào giấy A1 thành sơ đồ tư duy và yêu
cầu các nhóm trình bày rõ các nội dung sau: Nhóm A: 1,2,3,4
+ Số hữu tỉ. Căn bậc hai số học
+ Tập hợp R các số thực
+ Giá trị tuyệt đối của một số thực 2
+ Làm trong và ước lượng Nhóm B: 5, 6, 7,8 + Tỉ lệ thức
+ Dãy tỉ số bằng nhau
+ Đại lượng tỉ lệ thuận, đại lượng tỉ lệ nghịch.
Bước 2: Thực hiện nhiệm vụ: HS chú ý, thảo luận nhóm hoàn thành yêu cầu.
Bước 3: Báo cáo, thảo luận: Sau khi hoàn thành thảo luận: Các nhóm treo phần bài
làm của mình trên bảng và sau khi tất cả các nhóm kết thúc phần thảo luận của mình
GV gọi bất kì HS nào trong nhóm đại diện trình bày.
Bước 4: Kết luận, nhận định: GV đánh giá kết quả của các nhóm HS, trên cơ sở đó
cho các em hoàn thành bài tập.
B. HOẠT ĐỘNG LUYỆN TẬP a) Mục tiêu :
‒ Ôn tập nội dung kiến thức của cả chương
‒ Luyện tập, củng cố các kĩ năng tính toán
b) Nội dung : GV giao bài tập, HS vận dụng các kiến thức đã học để hoàn thành các
câu hỏi bài tập GV giao.
c) Sản phẩm học tập : Nội dung thảo luận trả lời các câu hỏi BT1 BT8 (SGK – tr69)
d) Tổ chức thực hiện :
Bước 1: Chuyển giao nhiệm vụ:
‒ GV yêu cầu HS chữa BT1 BT8 (SGK – tr42) ( đã giao về nhà từ buổi trước)
‒ HS tiếp nhận nhiệm vụ, hoàn thành yêu cầu. 3
Bước 2: Thực hiện nhiệm vụ:
‒ HS thực hiện hoàn thành các bài tập theo yêu cầu của GV.
‒ GV quan sát, hỗ trợ HS hoàn thành các bài tập vảo vở.
Bước 3: Báo cáo, thảo luận:
‒ Đại diện 1 -2 HS/ bài tập trình bày bảng.
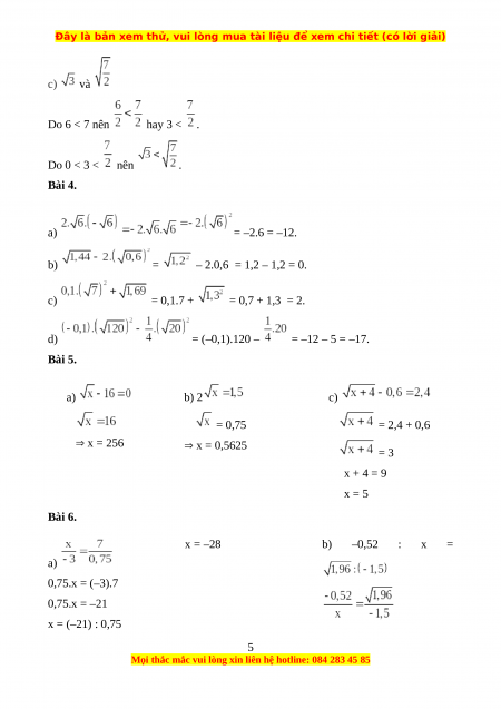
‒ Các HS khác chú ý hoàn thành bài, theo dõi nhận xét bài các bạn trên bảng. K ết quả : Bài 1.
–6,123(456) là số thập phân vô hạn tuần hoàn có chu kì là 456 nên nó không là số vô tỉ.
là số nguyên âm nên nó không phải số vô tỉ.
là được viết dưới dạng phân số nên nó không phải số vô tỉ.
là số thập phân vô hạn không tuần hoàn nên nó là số vô tỉ.
là số thập phân vô hạn không tuần hoàn nên nó là số vô tỉ.
Vậy trong các số đã cho có hai số vô tỉ là Bài 2. a) 4,9(18) và 4,928…
Ta có: 4,9(18) = 4,91818… Mà 4,91818…< 4,928… => 4,9(18) < 4,928 b) -4,315 và -4,318...
Ta có: Vì 4,315 < 4,318… ⇒ -4,315 > - 4,318… 4
Giáo án Bài tập cuối chương 2 Toán 7 Cánh diều
556
278 lượt tải
MUA NGAY ĐỂ XEM TOÀN BỘ TÀI LIỆU
CÁCH MUA:
- B1: Gửi phí vào TK:
1053587071
- NGUYEN VAN DOAN - Ngân hàng Vietcombank (QR) - B2: Nhắn tin tới Zalo VietJack Official ( nhấn vào đây ) để xác nhận thanh toán và tải tài liệu - giáo án
Liên hệ ngay Hotline hỗ trợ: 084 283 45 85
Bộ giáo án học kì 1 Toán 7 Cánh diều được cập nhật liên tục trong gói này từ nay đến hết tháng 6/2023.
Để tải tài liệu gốc về máy bạn click vào nút Tải Xuống ở trên!
Thuộc bộ (mua theo bộ để tiết kiệm hơn):
- Bộ giáo án học kì 1 Toán 7 Cánh diều năm 2023 mới, chuẩn nhất được thiết kế theo phong cách hiện đại, đẹp mắt, trình bày chi tiết cho từng bài học và bám sát chương trình Sách giáo khoa Toán 7 Cánh diều.
- Mua trọn bộ sẽ tiết kiệm hơn tải lẻ 50%.
Đánh giá
4.6 / 5(556 )5
4
3
2
1

Trọng Bình
Tài liệu hay
Giúp ích cho tôi rất nhiều

Duy Trần
Tài liệu chuẩn
Rất thích tài liệu bên VJ soạn (bám sát chương trình dạy)
TÀI LIỆU BỘ BÁN CHẠY MÔN Toán Học
Xem thêmTÀI LIỆU BỘ BÁN CHẠY Lớp 7
Xem thêmTài liệu bộ mới nhất

Đây là bản xem thử, vui lòng mua tài liệu để xem chi tiết (có lời giải)
BÀI: BÀI TẬP CUỐI CHƯƠNG II
(2 TIẾT)
I.MỤC TIÊU
1. Kiến thức:
!"#$%"&'
(!)*+,-"*
2. Năng lực
Năng lực chung:
,.."/."0123"*2"*
,.$/"4*001""%!/2/)"52
,.%6!/789/*0".""/:;
Năng lực riêng: &!/!*"2"1""5$*"<::
"&')"*=%6!/789*";
>"4*"#$"9!""?2@A
"#$"&';
→
"BC!"D"#8E";
3. Phẩm chất
F5 G"#"G"#123"*2"*/*5G"#2/)"52;
H
Mọi thắc mắc vui lòng xin liên hệ hotline: 084 283 45 85

Đây là bản xem thử, vui lòng mua tài liệu để xem chi tiết (có lời giải)
F",2"I-".JC.50*"")2"8 "2+""#
"K."&LM$NO;
1"""&!!"P"Q/""06!*01"!"+=
-""4*"/! ;
II. THIẾT BỊ DẠY HỌC VÀ HỌC LIỆU
1. Giáo viên: ANRANO>)!%**SS>;;
2. Học sinhANRAT>/U"7"*8VW"X@"&L;;;Y%
"52@/%"52*"#8E"0"&'
III. TIẾN TRÌNH DẠY HỌC
A. HOẠT ĐỘNG KHỞI ĐỘNG (MỞ ĐẦU)
a) Mục tiêu:N@A"L*"#8E"0"&';
b) Nội dung: A"@GB"K"8 "52""".")*Z![!
$NO
c) Sản phẩm: A'8V&!"#"&'\\;A".
d) Tổ chức thực hiện:
Bước 1: Chuyển giao nhiệm vụ:
NO"$L""]"52"8 "K+"!",0%")"
"#8E"$"&'/"4G/7^H""'8V&!/Z!
[!*"5201"0_* !$!
"52^H`a]
+ Số hữu tỉ. Căn bậc hai số học
+ Tập hợp R các số thực
+ Giá trị tuyệt đối của một số thực
`
Mọi thắc mắc vui lòng xin liên hệ hotline: 084 283 45 85

Đây là bản xem thử, vui lòng mua tài liệu để xem chi tiết (có lời giải)
+ Làm trong và ước lượng
"52Tbcde
+ Tỉ lệ thức
+ Dãy tỉ số bằng nhau
+ Đại lượng tỉ lệ thuận, đại lượng tỉ lệ nghịch.
Bước 2: Thực hiện nhiệm vụ: A"@G"%!"52"""Z
Đây là bản xem thử, vui lòng mua tài liệu để xem chi tiết (có lời giải)
Bước 2: Thực hiện nhiệm vụ:
A".")"""*"KZ![!$NO;
NO6!$*"k04A"""*/%/U;
Bước 3: Báo cáo, thảo luận:
l)Hm`A01"%;
F*A"*"@G""""K_"Jn*0Z%;
Kết quả [ :
Bài 1.
icH`aX]bcY""C/"!["5"!1]bcZ5"/
I;
!ZC2Z5""%/I;
8&4/&L"CZ5""%/I;
""C/""!["Z5/I;
""C/""!["Z5/I;
O0*8E"5"$/I
Bài 2.
$Y]jXHeY/]j`e
>$5o]jXHeYp]jHeHeqo]jHeHer]j`epso]jXHeYr]j`e
Ym]aHb/m]aHe;;;
>$5oO1]aHbr]aHe
⇒
om]aHbsm]aHe
]
Mọi thắc mắc vui lòng xin liên hệ hotline: 084 283 45 85

Đây là bản xem thử, vui lòng mua tài liệu để xem chi tiết (có lời giải)
Yo /
tcrdZ "$ar ;
turar Z ;
Bài 4.
$Y pi`;cpiH`;
Y p i`;uc pH`iH`pu;
Y puH;dv pudvHap`;
Y pXiuHY;H`ui piH`ibpiHd;
Bài 5.
$Y
Jp`bc
Y`
pudb
Jpubc`b
Y
p`]vuc
pa
Jv]pj
Jpb
Bài 6.
$Y
udb;JpXiaY;d
udb;Jpi`H
JpXi`HYudb
Jpi`e Y iub` J p
b
Mọi thắc mắc vui lòng xin liên hệ hotline: 084 283 45 85