Dạng 8: Bài tập hợp kim của sắt
Bài 1: Thép là hợp kim Fe – C và một số nguyên tố khác, trong đó C chiếm khoảng A. trên 2% B. 5% đến 10% C. 0,01% đến 2% D. Không chứa C
Bài 2: Thép là hợp kim của sắt với cacbon và một số nguyên tố khác trong đó hàm lượng cacbon chiếm: A. Trên 2% B. Từ 0,01 - 2% C. Từ 2% đến 5% D. Trên 5%
Bài 3: Thép là hợp kim của sắt với cacbon và một số nguyên tố khác trong đó hàm lượng cacbon chiếm: A. Dưới 2% B. Trên 2% C. Từ 2-5% D. Trên 5%
Bài 4: Gang và thép là hợp kim của Fe. Tìm phát biểu đúng.
A. Gang là hợp kim Fe – C (5% đến 10%).
B. Nguyên tắc sản suất gang là khử Fe trong oxit bằng CO, H2 hay Al ở nhiệt độ cao.
C. Nguyên tắc sản xuất thép là oxi hoá các tạp chất trong gang (C, Si, Mn, S,
P) thành oxit nhằm giảm hàm lượng của chúng.
D. Thép là hợp kim Fe – C (2% đến 5%).
Bài 5: Gang là hợp kim của sắt với cacbon và một lượng nhỏ các nguyên tố khác
như: Si, Mn, S,… trong đó hàm lượng cacbon chiếm: A. Từ 2% đến 6% B. Dưới 2% C. Từ 2% đến 5% D. Trên 6%
Bài 6: Trong sản xuất gang, người ta dùng một loại than vừa có vai trò là nhiêu liệu
cung cấp nhiệt cho lò cao, vừa tạo ra chất khử CO, vừa tạo thành phần từ 2-5% C
trong gang. Loại than đó là: A. than non B. than đá C. than gỗ D. than cốc
Bài 7: Nguyên tắc luyện thép từ gang là
A. tăng thêm hàm lượng cacbon trong gang để thu được thép.
B. dùng chất khử CO khử oxit sắt thành sắt ở nhiệt độ cao.
C. dùng CaO hoặc CaCO3 để khử tạp chất Si, P, S, Mn, … trong gang để thu được thép.
D. dùng O2 oxi hóa các tạp chất Si, P, S, Mn, … trong gang để thu được thép.
Bài 8: Quá trình sản xuất thép từ gang trắng, người ta cho thêm oxi của không khí vào. Vai trò của oxi là A. oxi hóa tạp chất B. oxi hóa cacbon C. oxi hóa một phần Fe
D. cả A, B, C đều xảy ra
Bài 9: Một loại quặng chứa sắt trong tự nhiên đã được loại bỏ tạp chất. Hòa tan
quặng này trong dung dịch HNO3 thấy có khí màu nâu bay ra, dung dịch thu được
cho tác dụng với dung dịch BaCl2 thấy có kết tủa (không tan trong axit mạnh). Loại quặng đó là A. xiđerit. B. hematit. C. manhetit. D. pirit sắt.
Bài 10: Cho các phát biểu sau:
(1) Gang là hợp kim của sắt chứa từ 1 - 3,1% là các nguyên tố C, Si, Mn, S và còn lại là Fe.
(2) Thép là hợp kim của sắt trong đó hàm lượng cacbon chiếm 0,01 - 2%.
(3) Thép được sử dụng trong ngành chế tạo máy và máy bay.
(4) Để luyện thép, người ta oxi hóa gang nóng chảy để loại phần lớn các nguyên tố C, P, Si, Mn, S.
(5) Thép đặc biệt là thép ngoài những nguyên tố có sẵn như thép thường còn
thêm các nguyên tố được đưa vào là Cr, Ni, Mo, W, Mn, … Số phát biểu đúng là A. 4 B. 2 C. 5 D. 3
Bài 11: Quặng nào sau đây có hàm lượng Fe cao nhất? A. Hematit đỏ (Fe2O3). B. Pirit (FeS2). C. Manhetit (Fe3O4). D. Xiđerit (FeCO3).
Bài 12: Quặng hemantit có công thức hóa học là: A. Fe3O4 B. Fe2O3 C. FeO D. Al2O3
Bài 13: Nung một mẫu thép thường có khối lượng 10 gam trong O2 dư thu được
0,1568 lít khí CO2 (đktc). Thành phần phần trăm theo khối lượng của cacbon trong mẫu thép đó là A. 0,82%. B. 0,84%. C. 0,85%. D. 0,86%.
Bài 14: Một loại quặng chứa 82% Fe2O3. Thành phần phần trăm của Fe trong quặng theo khối lượng là: A. 57,4% B. 57,0 % C. 54,7% D. 56,4 %
Bài 15: A là quặng hematit chứa 60% Fe2O3. B là quặng manhetit chứa 69,6%
Fe3O4. Trộn m1 tấn A với m2 tấn B thu được 1 tấn quặng C. Từ 1 tấn quặng C điều
chế được 0,5 tấn gang chứa 4% cacbon. Tỉ lệ m1 : m2 là A. 5:2 B. 4:3 C. 3:4 D. 2:5
Bài 16: Để luyện được 800 tấn gang có hàm lượng sắt 95% cần dùng x tấn quặng
manhetit chứa 80% Fe3O4 (còn lại là tạp chất không chứa sắt). Biết rằng lượng sắt
hao hụt trong quá trình sản xuất là 1%. Giá trị của x là A. 1235. B. 1325. C. 1324. D. 1650.
Bài 17: Khử một lượng quặng hemantit chứa 80% (Fe2O3) thu được 1,68 tấn sắt,
khối lượng quặng cần lấy là: A. 2,4 tấn B. 2,6 tấn C. 2,8 tấn D. 3,0 tấn
LỜI GIẢI CHI TIẾT Bài 1:
Thép là hợp kim Fe – C và một số nguyên tố khác, trong đó C chiếm khoảng 0,01% đến 2% Đáp án: C Bài 2: Đáp án B Bài 3:
Thép là hợp kim của sắt với cacbon và một số nguyên tố khác trong đó hàm lượng cacbon chiếm: Dưới 2% Đáp án: A Bài 4:
A sai vì: Gang là hợp kim của sắt với cacbon, trong đó hàm lượng cacbon chiếm từ 2-5%
B sai vì : Nguyên tắc sản xuất gang: dùng CO khử oxit sắt ở nhiệt độ cao trong lò luyện kim.
D sai vì : Thép là hợp kim của sắt với cacbon và một số nguyên tố khác (C, Mn, S,
Si,…), trong đó hàm lượng cacbon chiếm dưới 2%. Đáp án: C Bài 5:
Từ 0,01 – 2% khối lượng C là thép và từ 2 – 5% khối lượng C là gang Đáp án: C Bài 6:
Trong sản xuất gang, người ta dùng một loại than vừa có vai trò là nhiêu liệu cung
cấp nhiệt cho lò cao, vừa tạo ra chất khử CO, vừa tạo thành phần từ 2-5% C trong
gang. Loại than đó là than cốc. Đáp án: D Bài 7:
Trắc nghiệm Bài tập hợp kim của sắt Hóa học 9
436
218 lượt tải
MUA NGAY ĐỂ XEM TOÀN BỘ TÀI LIỆU
CÁCH MUA:
- B1: Gửi phí vào TK:
1133836868- CT TNHH DAU TU VA DV GD VIETJACK - Ngân hàng MB (QR) - B2: Nhắn tin tới Zalo VietJack Official ( nhấn vào đây ) để xác nhận thanh toán và tải tài liệu - giáo án
Liên hệ ngay Hotline hỗ trợ: 084 283 45 85
Tài liệu được cập nhật liên tục trong gói này từ nay đến hết tháng 3/2024. Chúng tôi đảm bảo đủ số lượng đề đã cam kết hoặc có thể nhiều hơn, tất cả có BẢN WORD, LỜI GIẢI CHI TIẾT và tải về dễ dàng.
Để tải tài liệu gốc về máy bạn click vào nút Tải Xuống ở trên!
Thuộc bộ (mua theo bộ để tiết kiệm hơn):
- Tailieugiaovien.com.vn giới thiệu Bộ câu hỏi trắc nghiệm Hóa học 9 cả năm mới nhất nhằm giúp Giáo viên có thêm tài liệu tham khảo Trắc nghiệm Hóa học 9.
- File word có lời giải chi tiết 100%.
- Mua trọn bộ sẽ tiết kiệm hơn tải lẻ 50%.
Đánh giá
4.6 / 5(436 )5
4
3
2
1
Trọng Bình
Tài liệu hay
Giúp ích cho tôi rất nhiều
Duy Trần
Tài liệu chuẩn
Rất thích tài liệu bên VJ soạn (bám sát chương trình dạy)
TÀI LIỆU BỘ BÁN CHẠY MÔN Hóa Học
Xem thêmTÀI LIỆU BỘ BÁN CHẠY Lớp 9
Xem thêmTài liệu bộ mới nhất

Đây là bản xem thử, vui lòng mua tài liệu để xem chi tiết (có lời giải)
Dạng 8: Bài tập hợp kim của sắt
Bài 1: Thép là hợp kim Fe – C và một số nguyên tố khác, trong đó C chiếm khoảng
A. trên 2% B. 5% đến 10%
C. 0,01% đến 2% D. Không chứa C
Bài 2: Thép là hợp kim của sắt với cacbon và một số nguyên tố khác trong đó hàm
lượng cacbon chiếm:
A. Trên 2% B. Từ 0,01 - 2%
C. Từ 2% đến 5% D. Trên 5%
Bài 3: Thép là hợp kim của sắt với cacbon và một số nguyên tố khác trong đó hàm
lượng cacbon chiếm:
A. Dưới 2% B. Trên 2%
C. Từ 2-5% D. Trên 5%
Bài 4: Gang và thép là hợp kim của Fe. Tìm phát biểu đúng.
A. Gang là hợp kim Fe – C (5% đến 10%).
B. Nguyên tắc sản suất gang là khử Fe trong oxit bằng CO, H
2
hay Al ở nhiệt
độ cao.
C. Nguyên tắc sản xuất thép là oxi hoá các tạp chất trong gang (C, Si, Mn, S,
P) thành oxit nhằm giảm hàm lượng của chúng.
D. Thép là hợp kim Fe – C (2% đến 5%).
Bài 5: Gang là hợp kim của sắt với cacbon và một lượng nhỏ các nguyên tố khác
như: Si, Mn, S,… trong đó hàm lượng cacbon chiếm:
A. Từ 2% đến 6% B. Dưới 2%
C. Từ 2% đến 5% D. Trên 6%
Bài 6: Trong sản xuất gang, người ta dùng một loại than vừa có vai trò là nhiêu liệu
cung cấp nhiệt cho lò cao, vừa tạo ra chất khử CO, vừa tạo thành phần từ 2-5% C
trong gang. Loại than đó là:
A. than non B. than đá
C. than gỗ D. than cốc
Bài 7: Nguyên tắc luyện thép từ gang là
Mọi thắc mắc vui lòng xin vui lòng: 084 283 45 85

Đây là bản xem thử, vui lòng mua tài liệu để xem chi tiết (có lời giải)
A. tăng thêm hàm lượng cacbon trong gang để thu được thép.
B. dùng chất khử CO khử oxit sắt thành sắt ở nhiệt độ cao.
C. dùng CaO hoặc CaCO
3
để khử tạp chất Si, P, S, Mn, … trong gang để thu
được thép.
D. dùng O
2
oxi hóa các tạp chất Si, P, S, Mn, … trong gang để thu được thép.
Bài 8: Quá trình sản xuất thép từ gang trắng, người ta cho thêm oxi của không khí
vào. Vai trò của oxi là
A. oxi hóa tạp chất B. oxi hóa cacbon
C. oxi hóa một phần Fe D. cả A, B, C đều xảy ra
Bài 9: Một loại quặng chứa sắt trong tự nhiên đã được loại bỏ tạp chất. Hòa tan
quặng này trong dung dịch HNO
3
thấy có khí màu nâu bay ra, dung dịch thu được
cho tác dụng với dung dịch BaCl
2
thấy có kết tủa (không tan trong axit mạnh). Loại
quặng đó là
A. xiđerit. B. hematit.
C. manhetit. D. pirit sắt.
Bài 10: Cho các phát biểu sau:
(1) Gang là hợp kim của sắt chứa từ 1 - 3,1% là các nguyên tố C, Si, Mn, S và
còn lại là Fe.
(2) Thép là hợp kim của sắt trong đó hàm lượng cacbon chiếm 0,01 - 2%.
(3) Thép được sử dụng trong ngành chế tạo máy và máy bay.
(4) Để luyện thép, người ta oxi hóa gang nóng chảy để loại phần lớn các
nguyên tố C, P, Si, Mn, S.
(5) Thép đặc biệt là thép ngoài những nguyên tố có sẵn như thép thường còn
thêm các nguyên tố được đưa vào là Cr, Ni, Mo, W, Mn, …
Số phát biểu đúng là
A. 4 B. 2
C. 5 D. 3
Bài 11: Quặng nào sau đây có hàm lượng Fe cao nhất?
A. Hematit đỏ (Fe
2
O
3
). B. Pirit (FeS
2
).
C. Manhetit (Fe
3
O
4
). D. Xiđerit (FeCO
3
).
Mọi thắc mắc vui lòng xin vui lòng: 084 283 45 85

Đây là bản xem thử, vui lòng mua tài liệu để xem chi tiết (có lời giải)
Bài 12: Quặng hemantit có công thức hóa học là:
A. Fe
3
O
4
B. Fe
2
O
3
C. FeO D. Al
2
O
3
Bài 13: Nung một mẫu thép thường có khối lượng 10 gam trong O2 dư thu được
0,1568 lít khí CO
2
(đktc). Thành phần phần trăm theo khối lượng của cacbon trong
mẫu thép đó là
A. 0,82%. B. 0,84%.
C. 0,85%. D. 0,86%.
Bài 14: Một loại quặng chứa 82% Fe
2
O
3
. Thành phần phần trăm của Fe trong quặng
theo khối lượng là:
A. 57,4% B. 57,0 %
C. 54,7% D. 56,4 %
Bài 15: A là quặng hematit chứa 60% Fe
2
O
3
. B là quặng manhetit chứa 69,6%
Fe
3
O
4
. Trộn m
1
tấn A với m
2
tấn B thu được 1 tấn quặng C. Từ 1 tấn quặng C điều
chế được 0,5 tấn gang chứa 4% cacbon. Tỉ lệ m1 : m2 là
A. 5:2 B. 4:3
C. 3:4 D. 2:5
Bài 16: Để luyện được 800 tấn gang có hàm lượng sắt 95% cần dùng x tấn quặng
manhetit chứa 80% Fe
3
O
4
(còn lại là tạp chất không chứa sắt). Biết rằng lượng sắt
hao hụt trong quá trình sản xuất là 1%. Giá trị của x là
A. 1235. B. 1325.
C. 1324. D. 1650.
Bài 17: Khử một lượng quặng hemantit chứa 80% (Fe
2
O
3
) thu được 1,68 tấn sắt,
khối lượng quặng cần lấy là:
A. 2,4 tấn B. 2,6 tấn
C. 2,8 tấn D. 3,0 tấn
Mọi thắc mắc vui lòng xin vui lòng: 084 283 45 85

Đây là bản xem thử, vui lòng mua tài liệu để xem chi tiết (có lời giải)
LỜI GIẢI CHI TIẾT
Bài 1:
Thép là hợp kim Fe – C và một số nguyên tố khác, trong đó C chiếm khoảng 0,01%
đến 2%
Đáp án: C
Bài 2:
Đáp án B
Bài 3:
Thép là hợp kim của sắt với cacbon và một số nguyên tố khác trong đó hàm lượng
cacbon chiếm: Dưới 2%
Đáp án: A
Bài 4:
A sai vì: Gang là hợp kim của sắt với cacbon, trong đó hàm lượng cacbon chiếm từ
2-5%
B sai vì : Nguyên tắc sản xuất gang: dùng CO khử oxit sắt ở nhiệt độ cao trong lò
luyện kim.
D sai vì : Thép là hợp kim của sắt với cacbon và một số nguyên tố khác (C, Mn, S,
Si,…), trong đó hàm lượng cacbon chiếm dưới 2%.
Đáp án: C
Bài 5:
Từ 0,01 – 2% khối lượng C là thép và từ 2 – 5% khối lượng C là gang
Đáp án: C
Bài 6:
Trong sản xuất gang, người ta dùng một loại than vừa có vai trò là nhiêu liệu cung
cấp nhiệt cho lò cao, vừa tạo ra chất khử CO, vừa tạo thành phần từ 2-5% C trong
gang. Loại than đó là than cốc.
Đáp án: D
Bài 7:
Mọi thắc mắc vui lòng xin vui lòng: 084 283 45 85

Đây là bản xem thử, vui lòng mua tài liệu để xem chi tiết (có lời giải)
Nguyên tắc luyện thép từ gang là : làm giảm hàm lượng các tạp chất (C, S, Si,
Mn,..) có trong gang bằng cách oxi hoá các tạp chất đó thành oxit rồi biến thành xỉ
và tách ra khỏi thép
Đáp án: D
Bài 8:
Vai trò của oxi là để oxi hóa các tạp chất (S, Si, Mn), C và oxi hóa 1 phần Fe để tạo
thành xỉ và tách ra khỏi gang
Đáp án: D
Bài 9:
Kết tủa không tan trong axit mạnh là BaSO
4
=> trong quặng sắt có chứa nguyên tố S
=> quặng đó là pirit sắt
Đáp án: D
Bài 10:
(1) sai vì trong gang hàm lượng C chiếm 2 – 5% nên các nguyên tố C, Si, Mn, S
chiếm ít nhất 2%
(3) sai vì thành phần của thép có chứa 18% W và 5% Cr nên rất cứng, ứng dụng để
chế tạo máy cắt gọt, phay,… không dùng để chế tạo máy bay.
Đáp án: D
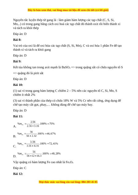
Bài 11:
A.
B.
C.
D.
Vậy quặng có hàm lượng Fe cao nhất là Fe
3
O
4
Đáp án: C
Bài 12:
Mọi thắc mắc vui lòng xin vui lòng: 084 283 45 85
