TRẮC NGHIỆM DẠNG MỚI THEO BÀI HỌC – TOÁN 7 – CHÂN TRỜI SÁNG TẠO
Chương 1. Số hữu tỉ
Bài 1. Tập hợp các số hữu tỉ
Phần I. Trắc nghiệm nhiều phương án lựa chọn
(Gồm 10 câu hỏi, hãy chọn phương án đúng duy nhất)
Câu 1. Khẳng định nào sau đây là đúng? 1 A. 0,125 . B. −10 . C. 5 . D. 3 . 3 a
Câu 2. Số hữu tỉ là số viết được dưới dạng phân số với b
A. a, b ; a 0 .
B. a, b ; b 0 .
C. a, b ; b 0 .
D. a = 0; b 0 . 2 −
Câu 3. Trong các số sau đây, số nào biểu diễn số hữu tỉ ? 3 4 6 − 4 − 4 − A. . B. . C. . D. . 6 9 9 6 − 3 − 1 5
Câu 4. Cho các số hữu tỉ sau: 2 − ; ; 0;
; 2 ; − 0, 41; 0,18. Các số hữu tỉ dương là 2 − 3 − 7 5 5 3 − 3 − A. 0; 2 ; 0,18. B. 2 ; 0,18. C. 2 − ; ; − 0, 41. D. ; − 0, 41. 7 7 2 − 2 −
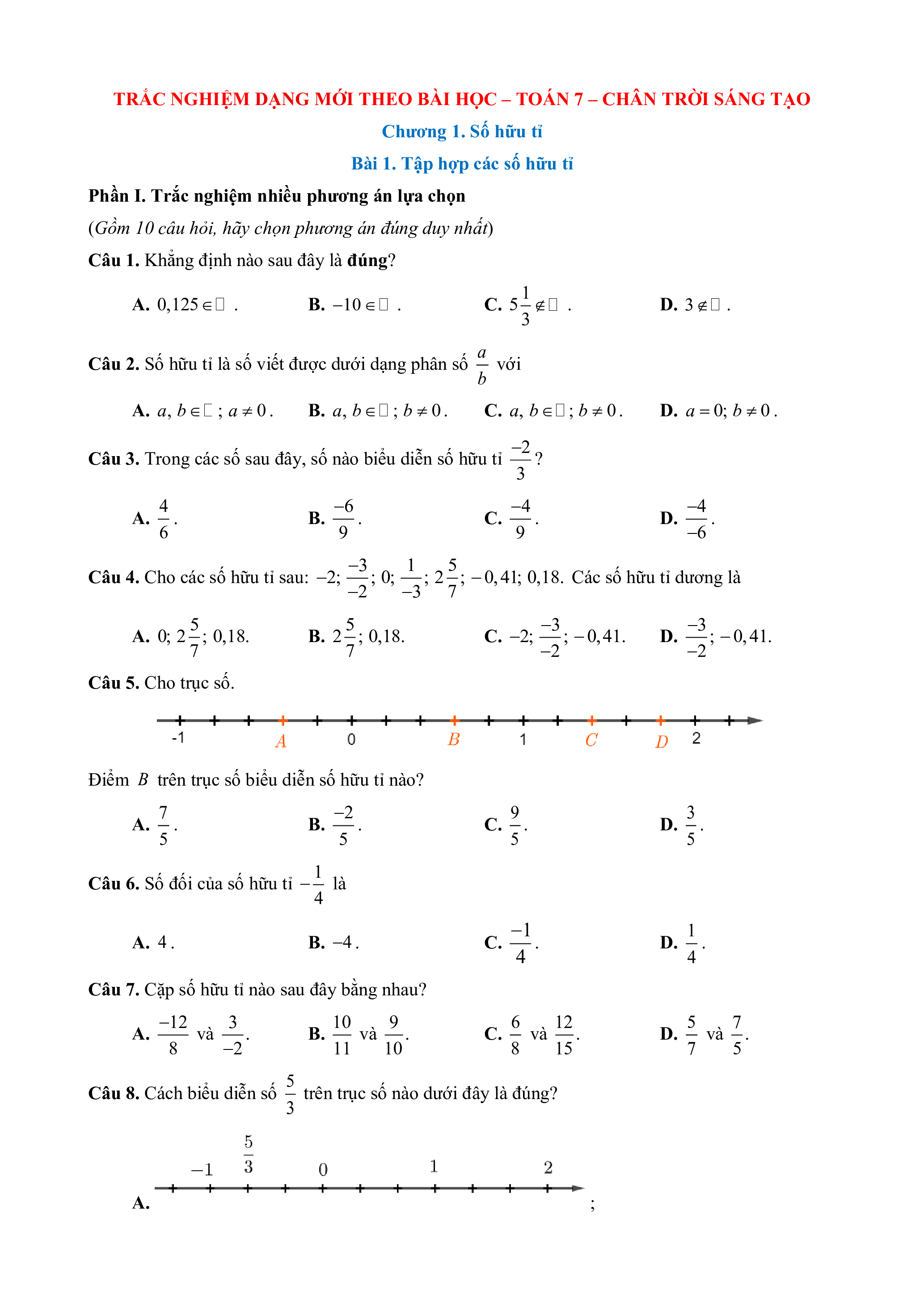
Câu 5. Cho trục số.
Điểm B trên trục số biểu diễn số hữu tỉ nào? 7 2 − 9 3 A. . B. . C. . D. . 5 5 5 5 1
Câu 6. Số đối của số hữu tỉ − là 4 1 − 1 A. 4 . B. −4 . C. . D. . 4 4
Câu 7. Cặp số hữu tỉ nào sau đây bằng nhau? 12 − 3 10 9 6 12 5 7 A. và . B. và . C. và . D. và . 8 2 − 11 10 8 15 7 5 5
Câu 8. Cách biểu diễn số trên trục số nào dưới đây là đúng? 3 A. ; B. ; C. ; D. . 3 −
Câu 9. Số đối của số − là 5 5 5 3 3 A. . B. − . C. − . D. . 3 3 5 5 5 1 Câu 10. Các số 2
− ,15; ; − 3 ; 2; 0 được sắp xếp theo thứ tự giảm dần là 4 5 5 1 5 1
A. 2; ; 0; − 2,15; − 3 .
B. 0; ; 2; − 2,15; − 3 . 4 5 4 5 1 5 1 5 C. 3 − ; − 2,15; 0; ; 2 . D. 3 − ; − 2,15; 0; 2; . 5 4 5 4
Phần II. Trắc nghiệm đúng, sai
(Gồm 5 câu hỏi, hãy chọn đúng hoặc sai cho mỗi ý a), b), c) , d)) 1 − 3 4 − 1 − 7 1 9
Câu 1. Cho các số hữu tỉ: ; ; ; ; 0; . Trong đó: 12 5 15 5 4 1 − 3 4 − 1 − 7
a) Các số hữu tỉ âm là ; ; . 12 5 15
b) Có ba số hữu tỉ dương. 9
c) Số hữu tỉ lớn nhất là . 4 1 − 7 1 − 3 4 − 1 9
d) Sắp xếp các số hữu tỉ theo thứ tự tăng dần ta được: ; ; ; 0; ; . 15 12 5 5 4
Câu 2. Trong cuộc điều tra số học sinh yêu thích các môn học của lớp 7A, bạn Hưng lớp trưởng đã 2 3
ghi được kết quả như sau: số học sinh trong lớp yêu thích môn Toán, số học sinh yêu thích môn 3 7
Ngữ Văn và 56% số học sinh yêu thích môn Tiếng Anh. Biết rằng một học sinh có thể thích nhiều môn học. Khi đó: 14
a) Phân số biểu thị số học sinh thích môn Tiếng Anh là . 25
b) Số học sinh yêu thích môn Toán nhiều hơn số học sinh yêu thích môn Ngữ Văn.
c) Môn học ít được học sinh yêu thích nhất là môn Tiếng Anh.
d) Sắp xếp các môn học theo độ yêu thích giảm dần ta được: Toán, Ngữ Văn, Tiếng Anh. 6 − 7 7 − 8 2
Câu 3. Cho các số hữu tỉ ; ; ; 0; ; . Trong đó, 7 5 4 13 3
a) Có ba số hữu tỉ âm. 7 8 2
b) Các số hữu tỉ dương là ; ; . 5 13 3
c) Không có số hữu tỉ nào lớn hơn 1. 7 2 8 6 − 7 −
d) Sắp xếp các số hữu tỉ theo thứ tự giảm dần được ; ; ; 0; ; . 5 3 13 7 4 1
Câu 4. Mai có thói quen đạp xe vào cuối tuần. Hôm thứ Bảy, Mai đạp được 20 km trong 2 tiếng. 2
Hôm Chủ nhật, Mai đạp được 30, 45 km trong ba tiếng. Khi đó:
a) Quãng đường Mai đạp xe ngày thứ Bảy nhỏ hơn quãng đường ngày Chủ nhật.
b) Vận tốc đạp xe của Mai ngày thứ Bảy là 10, 25 km/h.
c) Vận tốc đạp xe của Mai ngày Chủ nhật lớn hơn 10 km/h.
d) Ngày Chủ nhật bạn Mai đạp xe nhanh hơn nhanh hơn ngày thứ Bảy. x − 5 Câu 5. Cho A =
để x . Khi đó, 9 − x
a) Để A là một số hữu tỉ thì x 9 .
b) Để A không là số hữu tỉ dương, không là số hữu tỉ âm là x = 5.
c) Có ba giá trị nguyên của x để A là một số nguyên dương.
d) Để A là một số nguyên thì x 4 − ; − 2; −1; 1; 2; 4 .
Phần III. Trắc nghiệm trả lời ngắn
(Gồm 5 câu hỏi, hãy viết câu trả lời/đáp án vào bài làm mà không cần trình bày lời giải chi tiết) 8 − x 1 −
Câu 1. Hỏi có bao nhiêu số nguyên x thỏa mãn ? 15 15 3 1 y 1
Câu 2. Hỏi có bao nhiêu số nguyên y thỏa mãn ? 2 8 24 1 − 2 1 − 5 24 2 − 0 2 − 7
Câu 3. Cho các phân số sau: ; ; ; ;
. Hỏi có bao nhiêu phân số biểu diễn số 15 20 3 − 2 28 36 3 hữu tỉ ? 4 − m + 2 m − 5
Câu 4. Hỏi có bao nhiêu số nguyên m thỏa mãn để hai số và
đều là số hữu tỉ dương? 5 6 −
Trắc nghiệm Toán 7 Đúng-Sai, Trả lời ngắn Chân trời sáng tạo (form 2025)
356
178 lượt tải
300.000 ₫
MUA NGAY ĐỂ XEM TOÀN BỘ TÀI LIỆU
CÁCH MUA:
- B1: Gửi phí vào TK:
1133836868- CT TNHH DAU TU VA DV GD VIETJACK - Ngân hàng MB (QR) - B2: Nhắn tin tới Zalo VietJack Official ( nhấn vào đây ) để xác nhận thanh toán và tải tài liệu - giáo án
Liên hệ ngay Hotline hỗ trợ: 084 283 45 85
Chúng tôi đảm bảo đủ số lượng đề đã cam kết hoặc có thể nhiều hơn, tất cả có BẢN WORD, LỜI GIẢI CHI TIẾT và tải về dễ dàng.
Để tải tài liệu gốc về máy bạn click vào nút Tải Xuống ở trên!
Bộ tài liệu bao gồm: 2 tài liệu lẻ (mua theo bộ tiết kiệm đến 50%)
- Tailieugiaovien.com.vn giới thiệu bộ Trắc nghiệm Toán 7 Đúng-Sai, Trả lời ngắn (form 2025) Chân trời sáng tạo nhằm giúp Giáo viên có thêm tài liệu tham khảo ra đề thi Toán 7.
- Tiến độ cập nhật: Chương 1, 2, 3, 4, 6,7, 9
- File word có lời giải chi tiết 100%.
- Mua trọn bộ sẽ tiết kiệm hơn tải lẻ 50%.
Đánh giá
4.6 / 5(356 )5
4
3
2
1
Trọng Bình
Tài liệu hay
Giúp ích cho tôi rất nhiều
Duy Trần
Tài liệu chuẩn
Rất thích tài liệu bên VJ soạn (bám sát chương trình dạy)
