Đề 1
PHẦN I. Câu trắc nhiệm nhiều phương án lựa chọn (4,5 điểm).
Thí sinh trả lời từ câu 1 đến câu 18. Mỗi câu hỏi thí sinh chỉ chọn một phương án.
Câu 1: Trong dao động điều hòa của một vật thì tập hợp ba đại lượng nào sau đây là không
thay đổi theo thời gian
A. vận tốc, lực, năng lượng toàn phần.
B. biên độ, tần số, gia tốc.
C. biên độ, tần số, năng lượng toàn phần.
D. gia tốc, chu kỳ, lực.
Câu 2: Trong dao động điều hòa
A. khi gia tốc cực đại thì động năng cực tiểu.
B. khi cơ năng cực tiểu thì thế năng cực đại.
C. khi động năng cực đại thì thế năng cũng cực đại.
D. khi vận tốc cực đại thì pha dao động cũng cực đại.
Câu 3: Một vật dao động điều hoà với chu kỳ T, động năng của vật biến đổi theo thời gian
A. tuần hoàn với chu kỳ T.
B. tuần hoàn với chu kỳ 2T.
C. với một hàm sin hoặc cosin.
D. tuần hoàn với chu kỳ T/2.
Câu 4: Phát biểu nào sau đây về động năng và thế năng trong dao động điều hoà là sai?
A. Thế năng đạt giá trị cực tiểu khi độ lớn gia tốc của vật đạt giá trị cực tiểu.
B. Động năng đạt giá trị cực đại khi vật chuyển động qua vị trí cân bằng.
C. Thế năng đạt giá trị cực đại khi tốc độ của vật đạt giá trị cực đại.
D. Động năng đạt giá trị cực tiểu khi vật ở một trong hai vị trí biên.
Câu 5: Một vật có khối lượng m dao động điều hòa với biên độ A. Khi chu kì tăng 3 lần thì
năng lượng của vật sẽ A. tăng 3 lần. B. giảm 9 lần. C. tăng 9 lần. D. giảm 3 lần.
Câu 6: Trong dao động điều hoà khi động năng giảm đi 2 lần so với động năng cực đại thì
A. thế năng đối với vị trí cân bằng tăng hai lần. B. li độ dao động tăng 2 lần.
C. vận tốc dao động giảm 2 lần.
D. gia tốc dao động tăng 2 lần.
Câu 7: Công thức tính chu kì dao động của con lắc lò xo là A. T = 2π k . B. T = 2π m. C. T = 2 k . D. T = k . m k m 2 m
Câu 8: Một con lắc đơn dao động điều hòa với tần số f. Nếu tăng khối lượng của con lắc lên
4 lần thì tần số dao động của nó sẽ là A. 2f. B. 2f. C. f . D. f. 2
Câu 9: Một vật dao động điều hòa, đồ thị biểu diễn mối quan
hệ giữa thế năng Wt và động năng W có dạng đường nào? đ A. Đường IV. C. Đường III. B. Đường I. D. Đường II.
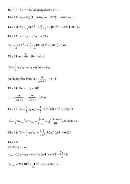
Câu 10: Một con lắc đơn có độ dài dây ℓà 2m, treo quả nặng 1 kg, kéo con ℓắc ℓệch khỏi vị
trí cân bằng góc 600 rồi buông tay. Thế năng cực đại của con ℓắc đơn bằng A. 1 J B. 5 J . C. 10 J . D. 15 J.
Câu 11: Một con lắc lò xo gồm lò xo có độ cứng 40 N/m gắn với quả cầu có khối lượng m.
Cho quả cầu dao động với biên độ 5 cm. Động năng của quả cầu ở vị trí ứng li độ 3 cm bằng A. 0,032 J. B. 320 J. C. 0,018 J. D. 0,5 J.
Câu 12: Một con lắc lò xo gồm viên bi nhỏ và lò xo nhẹ có độ cứng 100 N/m, dao động điều
hòa với biên độ 0,1 m. Mốc thế năng ở vị trí cân bằng. Khi viên bi cách biên 6 cm thì động năng của con lắc bằng A. 0,64 J. B. 4,2 mJ. C. 6,4 mJ. D. 0,42 J.
Câu 13: Vật nhỏ của một con lắc lò xo có khối lượng 100 g dao động điều hòa với chu kì
0,2s, cơ năng là 0,18J (mốc thế năng tại vị trí cân bằng), lấy 2 = 10. Tại li độ 3 2 cm, tỉ số
động năng và thế năng bằng A. 3. B. 4. C. 2 D. 1.
Câu 14: Con lắc lò xo dao động với biên độ 6 cm. Li độ của vật để thế năng của lò xo bằng 1/3 động năng là A. 3 2cm . B. 3 cm . C. 2 2cm . D. 2cm .
Câu 15: Một con lắc đơn có khối lượng m = 10 kg và chiều dài dây treo l = 2 m. Góc lệch
cực đại so với đường thẳng đứng là 0
10 0,175 rad . Lấy 2
g 10 m / s . Cơ năng của con
lắc và vận tốc vật nặng khi nó ở vị trí thấp nhất là
A. W = 0,1525J; V = 0,055 m/s.
B. W = 1,525J; V 0,55 m/s. max max
C. W = 30,45J; V = 7,8 m/s.
D. W = 3,063J; V 0,78 m/s. max max
Câu 16: Một vật nhỏ có khối lượng 2/π2 g dao động điều hòa với tần số 5 Hz, và biên độ 5
cm. Cơ năng dao động bằng A. 2,5 J. B. 250 J. C. 0,25 J. D. 0,5 J.
Câu 17: Một con lắc lò xo dao động điều hòa với biên độ A =
10 cm. Đồ thị biểu diễn mối liên hệ giữa động năng và vận tốc
của vật dao động được cho như hình vẽ. Chu kì và độ cứng của lò xo lần lượt là A. 1 s và 4 N/m. B. 2π s và 40 N/m. C. 2π s và 4 N/m. D. 1 s và 40 N/m.
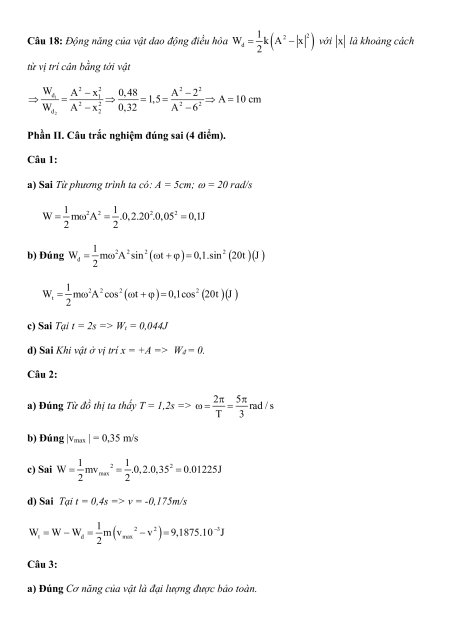
Câu 18: Một vật nhỏ dao động điều hòa dọc theo trục Ox. Khi vật cách vị trí cân bằng một
đoạn 2 cm thì động năng của vật là 0,48 J. Khi vật cách vị trí cân bằng một đoạn 6 cm thì
động năng của vật là 0,32 J. Biên độ dao động của vật bằng A. 8 cm. B. 14 cm. C. 10 cm. D. 12 cm.
Phần II. Câu trắc nghiệm đúng sai (4 điểm).
Thí sinh trả lời từ câu 1 đến câu 4. Trong mỗi ý a), b), c), d) ở mỗi câu, thí sinh chọn đúng hoặc sai.
Câu 1: Biết phương trình li độ của một vật có khối lượng 0,2 kg dao động điều hòa là: x 5cos(20t)cm. Phát biểu Đúng Sai
Ta có: A = 0,05cm; ꞷ = 20 rad/s a Cơ năng W 40J
Biểu thức động năng và thế năng lần lượt là: b 2 W 0,1sin (20t)(J); 2 W 0,1cos (20t)(J) đ t c
Thế năng của con lắc tại thời điểm 2 giây là: W 17,79J t d
Khi vật ở vị trí +A, ta có Wđmax = W: v 20 10 cm/s max
Câu 2: Cho đồ thị vận tốc – thời gian của một con lắc đơn dao động như Hình 3.3. Biết rằng
khối lượng của vật treo vào sợi dây là 0,2 kg.
Hình 3.3. Đồ thị vận tốc – thời gian Phát biểu Đúng Sai a Từ đồ thị ta có: 5 (rad / s) 3 5 b
Phương trình vận tốc: v 0,35cos t m / s 3 c Cơ năng của vật: W = 3 4,9.10 J d
Tại thời điểm 0,4s thế năng của vật: 3 W 9,1875.10 J t
Câu 3: Một vật có khối lượng m = 1 kg, dao động điều hoà với chu kì T = 0,2π s, biên độ dao động bằng 2 cm.
Bài tập ôn tập + Đề kiểm tra Vật Lí 11 Kết nối tri thức theo chương
86
43 lượt tải
200.000 ₫
MUA NGAY ĐỂ XEM TOÀN BỘ TÀI LIỆU
CÁCH MUA:
- B1: Gửi phí vào TK:
1053587071
- NGUYEN VAN DOAN - Ngân hàng Vietcombank (QR) - B2: Nhắn tin tới Zalo VietJack Official ( nhấn vào đây ) để xác nhận thanh toán và tải tài liệu - giáo án
Liên hệ ngay Hotline hỗ trợ: 084 283 45 85
Chúng tôi đảm bảo đủ số lượng đề đã cam kết hoặc có thể nhiều hơn, tất cả có BẢN WORD, LỜI GIẢI CHI TIẾT và tải về dễ dàng.
Để tải tài liệu gốc về máy bạn click vào nút Tải Xuống ở trên!
Bộ tài liệu bao gồm: 4 tài liệu lẻ (mua theo bộ tiết kiệm đến 50%)
- Tailieugiaovien.com.vn giới thiệu Bài tập ôn tập + Đề kiểm tra Vật Lí 11 Kết nối tri thức theo chương mới nhất gồm bộ câu hỏi & bài tập ôn tập + Đề kiểm tra Vật Lí 11 theo từng Chương/ Chủ đề với bài tập đa dạng đầy đủ các mức độ, các dạng thức có lời giải.
- File word có lời giải chi tiết 100%.
- Mua trọn bộ sẽ tiết kiệm hơn tải lẻ 50%.
Đánh giá
4.6 / 5(86 )5
4
3
2
1

Trọng Bình
Tài liệu hay
Giúp ích cho tôi rất nhiều

Duy Trần
Tài liệu chuẩn
Rất thích tài liệu bên VJ soạn (bám sát chương trình dạy)