Bộ sách: Chân trời sáng tạo
Chương 1: SỐ HỮU TỈ
Bài 1: TẬP HỢP CÁC SỐ HỮU TỈ
Câu 1. Số đối của số hữu tỉ 0 là số: A. 0; B. −1; 0 C. ; 1000
D. Đáp án A và C đều đúng. a
Câu 2. Số hữu tỉ là số được viết dưới dạng phân số với: b A. a = 0; b ≠ 0; B. a, b , b ≠ 0; C. a, b ; D. a, b , b ≠ 0. a Câu 3. Cho a, b
, b ≠ 0, x = . Nếu a, b khác dấu thì: b A. x = 0; B. x > 0; C. x < 0; D. Cả B, C đều sai.
Câu 4. Số hữu tỉ x nhỏ hơn số hữu tỉ y nếu trên trục số:
A. Điểm x ở bên trái điểm y;
B. Điểm x ở bên phải điểm y;
C. Điểm x và điểm y khác phía đối với điểm 0;
D. Cả 3 đáp án đều sai.
Câu 5. Số hữu tỉ 3 được biểu diễn bởi: 4
A. Bốn điểm trên trục số;
B. Ba điểm trên trục số;
C. Hai điểm trên trục số;
D. Một điểm duy nhất trên trục số.
Câu 6. Khẳng định nào trong các khẳng định sau là đúng?
A. Số 0 không phải là số hữu tỉ;
B. Số 0 là số hữu tỉ nhưng không phải là số hữu tỉ dương cũng không phải là số hữu tỉ âm;
C. Số 0 là số hữu tỉ âm;
D. Số 0 là số hữu tỉ dương.
Câu 7. Chọn câu sai trong các câu sau: 1
A. Số 2 là số hữu tỉ; 3
B. Mọi số nguyên đều là số hữu tỉ; 1,2 C. Số là số hữu tỉ; 1,3 a
D. Số hữu tỉ là các số được viết dưới dạng với a, b , b ≠ 0. b
Câu 8. Trong các trường hợp sau trường hợp nào có các số cùng biểu thị một số −2 hữu tỉ ? 3 −4 A. ; 6 4 B. ; 6 6 C. ; −9
D. Cả A và C đều đúng.
Câu 9. Trong các trường hợp sau, trường hợp nào có các số cùng biểu thị một số hữu tỉ 1 − ? 2
A. – 0,5; B. 0,5; C. 0,35; D. 0,45.
Câu 10. Cách nào đúng trong các cách viết sau: A. − ; B. 0 *; 3 − C. ; 7 D. 5 − .
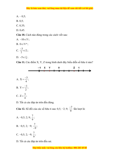
Câu 11. Các điểm X, Y, Z trong hình dưới đây biểu diễn số hữu tỉ nào? 3 − A. X = ; 4 1 − B. Y = ; 2 3 C. Z = ; 4
D. Tất cả các đáp án trên đều đúng. −7
Câu 12. Số đối của các số hữu tỉ sau: 0,5; −2; 9; lần lượt là: 9 7 A. −0,5; 2; 9; ; 9 7 B. −0,5; 2; −9; ; − 9 7 C. −0,5; 2; −9; ; 9
D. Tất cả các đáp án trên đều sai.
Câu 13. Điểm A trong hình dưới đây biểu diễn số hữu tỉ nào? A. 2 ; 3 −2 B. ; 3 −1 C. ; 3 D. – 1. 1 − 3 − 4
Câu 14. Sắp xếp các số hữu tỉ ; ;
; 0 theo thứ tự tăng dần? 4 2 5 1 − 3 − 4 A. ; ; ; 0 ; 4 2 5 3 − 1 − 4 B. ; ; 0; ; 2 4 5 1 − 3 − 4 C. 0; ; ; ; 4 2 5 1 − 3 − 4 D. ; 0; ; . 4 2 5 x 1 − x 1
Câu 15. Số hữu tỉ
không thỏa mãn điều kiện sau là: 6 2 6 2 −1 A. ; 6 1 B. ; 6 1 C. ; 3 −2 D. ; 3
Bộ trắc nghiệm Toán 7 Chân trời sáng tạo (cả năm) có đáp án
15.4 K
7.7 K lượt tải
200.000 ₫
MUA NGAY ĐỂ XEM TOÀN BỘ TÀI LIỆU
CÁCH MUA:
- B1: Gửi phí vào TK:
1053587071
- NGUYEN VAN DOAN - Ngân hàng Vietcombank (QR) - B2: Nhắn tin tới Zalo VietJack Official ( nhấn vào đây ) để xác nhận thanh toán và tải tài liệu - giáo án
Liên hệ ngay Hotline hỗ trợ: 084 283 45 85
Tài liệu được cập nhật liên tục trong gói này từ nay đến hết tháng 6/2023. Chúng tôi đảm bảo đủ số lượng đề đã cam kết hoặc có thể nhiều hơn, tất cả có BẢN WORD, LỜI GIẢI CHI TIẾT và tải về dễ dàng.
Để tải tài liệu gốc về máy bạn click vào nút Tải Xuống ở trên!
Bộ tài liệu bao gồm: 2 tài liệu lẻ (mua theo bộ tiết kiệm đến 50%)
- Tailieugiaovien.com.vn giới thiệu Bộ câu hỏi trắc nghiệm Toán lớp 7 mới nhất năm 2022 - 2023 nhằm giúp Giáo viên có thêm tài liệu tham khảo Trắc nghiệm môn Toán lớp 7.
- File word có lời giải chi tiết 100%.
- Mua trọn bộ sẽ tiết kiệm hơn tải lẻ 50%.
Đánh giá
4.6 / 5(15426 )5
4
3
2
1

Trọng Bình
Tài liệu hay
Giúp ích cho tôi rất nhiều

Duy Trần
Tài liệu chuẩn
Rất thích tài liệu bên VJ soạn (bám sát chương trình dạy)