Chương VI: PHÂN THỨC ĐẠI SỐ
Chủ đề 21. PHÂN THỨC ĐẠI SỐ
Dạng 1: HAI PHÂN THỨC BẰNG NHAU A. PHƯƠNG PHÁP
1. Định nghĩa phân thức đại số
Một phân thức đại số ( hay còn gọi là phân thức) là một biểu thức có dạng A , trong đó A, B là B
những đa thức, và B khác 0.
+ A được gọi là tử thức ( hay tử).
+ B được gọi là mẫu thức ( hay mẫu).
- Mỗi đa thức cũng được coi như một phân thức với mẫu thức bằng 1.
2. Cách chứng minh hai phân thức bằng nhau
Để chứng minh hai phân thức đại số bằng nhau ra dùng định nghĩa để đưa về chứng minh đẳng thức bằng nhau. Ta có:
+ Với hai phân thức A C A C và ta nói =
nếu A.D = B.C B D B D
Việc chứng minh hai đằng thức bằng nhau, tác giả đã trình bày ở phần I của trọn bộ sách này.
Những phương pháp và cách thức hiện chứng minh đẳng thức, tác giả đã thực hiện các kỹ năng đầy dủ ở chương trước.
+ Việc chứng minh một đẳng thức ta áp dụng quy tắc để chứng minh. Có ba trường hợp cần chứng
minh một đẳng thức đúng là: Chứng minh vế trái bằng vế phải, vế phải bằng vế trái, hoặc cả hai vế
cùng bằng một vế nào đó.
+ Tuy nhiên trong kinh nghiệm giải toán của tác giả. Để chứng minh một đẳng thức đúng ta cần
chứng minh vế nào phức tạp rồi dùng các quy tắc tính toán để rút gọn ta đưa đến vế đơn giản hơn. B. BÀI TẬP MẪU
Bài tập mẫu 1: Dùng định nghĩa hai phân thức bằng nhau chứng tỏ rằng: a. 3 x 3 x 27 x 1
1 x 2x 3x 9 1 x 2
x 3x 9x 3 x 3 2
x 3x 91 x
x 3 2
x 3x 91 x 3
x 271 x
3x 27x 1 x x x 1 b. 2 x 2 x x 2 Hướng dẫn giải
a. Ta cần chứng minh: x 2
x x x 2 2 2 x
Cách 1: VT = x 2 x x 3 2 2 x 2x VP = x 2 3 2
2 x x 2x Vậy: x 2
x x x 2 2 2 x
Do đó theo định nghĩa thì: 2 x x 2 x 2 x 2x
Cách 2: VT = x 2 x 2x = .
x x x 2 = 2
x x 2 = x 2 2 x Vậy: 2 x x 2 x 2 x 2x
b. Ta cần chứng minh : x 2
x x 2 x x 2 x 1
Cách 1: VT = x 2 x x 3 2
2 x x 2x
VP = x x x 2
x x x 3 2 2 1 2
1 x x 2x Vậy x 2
x x 2 x x 2 x 1 . x x x 1 Do đó 2 x 2 x x 2
Cách 2: VP = x x x x x x x 2 2 1 2 1
x x 2 = VT x x x 1 Vậy 2 x 2 x x . 2
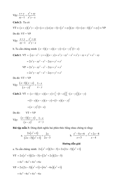
Bài tập mẫu 2: Dùng định nghĩa hai phân thức bằng nhau chứng tỏ rằng: 2 x y x xy x 1 y x 1 x a. b. 2 xy 1 x y x x y2 x y Hướng dẫn giải
a. Cần chứng minh : x y 2
x y x xy 2 1 x xy
Cách 1: VT = 2 x y x y x = 3 2 2 2
x y x x y xy
VP = xy 2 x xy 3 2 2 2 3 2 2 2 1
x y x y x xy x y x x y xy Do đó: VT = VP 2 x y x xy Vậy: 2 xy 1 x y x
Cách 2: Ta có:
VT = x y 2
x y x x y x xy 2
x xy xy xy 2 1 1
1 x xy = VP Do đó: VT = VP 2 x y x xy Vậy: 2 xy 1 x y x 2
b. Ta cần chứng minh: x
1 y x x y x y 1 x Cách 1: VT 2 2 2 3 2 2 2 xy x y x x
y x y xy x x y xy y x xy 2 2 3 2 2
2x y xy x 2xy y x VP 2 2 3 2 2
2x y xy x 2xy y x 2 2 3 2 2
2x y xy x 2xy y x Do đó: VT = VP x 1 y x 1 x Vậy: x y2 x y
Cách 2: VT x
1 y x x y 1 x x y
x y
x x y x y x x y2 1 1 2
x y 1 x Do đó: VT = VP x 1 y x Vậy: 1 x x y2 x y
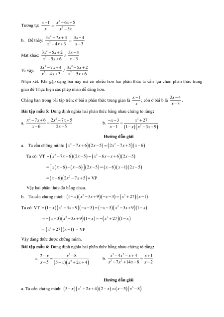
Bài tập mẫu 3: Dùng định nghĩa hai phân thức bằng nhau chứng tỏ rằng: 2x 2 x 1 2x 2 2 x 5x 6 x 2x 8 a. b. 2x 3 2 x 1 2x 3 x 3 x 4 Hướng dẫn giải
a. Ta cần chứng minh: x 2
x x x x 2 2 1 2 3 2 2 3 x 1 VT x 2
x x 3 2 1 2 3
2x 2x2x 3 4 3 2
4x 6x 4x 6x
VP x x 2 x 2 x x 2 2 2 3 1 4 6 x 1 4 3 2
4x 6x 4x 6x Do đó: VT = VP 2x 2 x 1 2x Nên: 2x 3 2 x 1 2x 3
b. Ta cần chứng minh: 2
x x x x 2 5 6 4 3
x 2x 8 Cách 1: VT 2
x x x 3 2 2 5 6
4 x 4x 5x 20x 6x 24 3 2
x x 14x 24
VP x 2 x x 3 2 2 3 2
8 x 2x 8x 3 x 6x 24 3 2
x x 14x 24 Do đó: VT = VP 2 2 x 5x 6 x 2x 8 Nên: x 3 x 4 Cách 2: VT 2
x 5x 6 x 4 x x 3 2 x 3 x 4
x 3 x 2 x 4 x 3 x 2 x 4 x 2 3
x 2x 8 = VP Do đó: VT = VP 2 2 x 5x 6 x 2x 8 Nên: x 3 x 4 A C
Nhận xét: Để chứng tỏ hai phân thức và
bằng nhau, ta có thể dùng một trong hai cách sau: B D
Cách 1: Tính A.D và B.C để thấy rằng cách tích này đều cho ta cùng một kết quả.
Cách 2: Từ một trong hai tích A.D hoặc B.C ( cần có sự lựa chọn sao cho thuận lợi trong các biến
đổi), bằng cachs sử dụng các phép tính của đa thức như: phép nhân, phân tích đa thức thành nhân tử
... để biến đổi tích này thành tích kia.
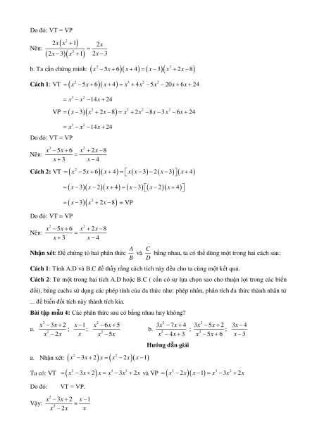
Bài tập mẫu 4: Các phân thức sau có bằng nhau hay không? 2 x 3x 2 x 1 2 x 6x 5 2 3x 7x 4 2 3x 5x 2 3x 4 a. ; ; 2 x ; 2x x 2 x b. 5x 2 x 4x ; 3 2 x 5x 6 x 3 Hướng dẫn giải a. Nhận xét: 2
x x x 2 3 2
x 2x x 1 Ta có: VT 2 x x 3 2 3
2 x x 3x 2x và VP 2
x x x 3 2 2
1 x 3x 2x Do đó: VT = VP. 2 x 3x 2 x 1 Vậy: 2 x = 2x x
Chuyên đề Phân thức đại số lớp 8 (các dạng bài tập)
90
45 lượt tải
MUA NGAY ĐỂ XEM TOÀN BỘ TÀI LIỆU
CÁCH MUA:
- B1: Gửi phí vào TK:
1053587071
- NGUYEN VAN DOAN - Ngân hàng Vietcombank (QR) - B2: Nhắn tin tới Zalo VietJack Official ( nhấn vào đây ) để xác nhận thanh toán và tải tài liệu - giáo án
Liên hệ ngay Hotline hỗ trợ: 084 283 45 85
Chúng tôi đảm bảo đủ số lượng đề đã cam kết hoặc có thể nhiều hơn, tất cả có BẢN WORD, LỜI GIẢI CHI TIẾT và tải về dễ dàng.
Để tải tài liệu gốc về máy bạn click vào nút Tải Xuống ở trên!
Thuộc bộ (mua theo bộ để tiết kiệm hơn):
- Tailieugiaovien.com.vn giới thiệu Chuyên đề Phân thức đại số Toán 8 từ cơ bản đến nâng cao gồm các dạng bài tập với phương pháp giải chi tiết nhằm giúp Giáo viên có thêm tài liệu tham khảo.
- File word có lời giải chi tiết 100%.
- Mua trọn bộ sẽ tiết kiệm hơn tải lẻ 50%.
Đánh giá
4.6 / 5(90 )5
4
3
2
1

Trọng Bình
Tài liệu hay
Giúp ích cho tôi rất nhiều

Duy Trần
Tài liệu chuẩn
Rất thích tài liệu bên VJ soạn (bám sát chương trình dạy)