ĐỀ KIỂM TRA HỌC KÌ I
UBND QUẬN BẮC TỪ LIÊM
NĂM HỌC 2022 – 2023
PHÒNG GIÁO DỤC VÀ ĐÀO TẠO MÔN: TOÁN 7 ĐỀ CHÍNH THỨC
Thời gian làm bài: 90 phút
I. TRẮC NGHIỆM (3,0 điểm)
Hãy chọn chữ cái đứng trước phương án trả lời đúng nhất viết vào bài làm của em.
Câu 1. Chọn khẳng định đúng trong các khẳng định sau. A. . B. . C. . D. .
Câu 2. Số đối của số là A. . B. . C. . D. .
Câu 3. Trong các số sau, số vô tỉ là A. . B. . C. 0. D. .
Câu 4. Phân số biểu diễn số hữu tỉ là A. . B. . C. . D. .
Câu 5. Trong các số sau, số thập phân vô hạn tuần hoàn là A. . B. . C. . D. .
Câu 6. Trong các cách viết dưới đây, cách viết đúng là
A. . B. . C. hoặc . D. .
Câu 7. Kết quả của bằng A. . B. 81. C. 3. D. .
Câu 8. Độ dài đường chéo của một mặt bàn hình chữ nhật là 2,7454 . Khi làm tròn đến
chữ số thập phân thứ hai thì được kết quả là A. 2,75. B. 2,74. C. 2,76. D. 2,745.
Câu 9. Góc đối đỉnh với góc là A. . B. . C. . D. .
Câu 10. Hình vẽ nào dưới đây cho biết đường thẳng d là đường trung trực của đoạn thẳng ? A. Hình 1. B. Hình 2. C. Hình 3. D. Hình 4.
Câu 11. Trong các dữ liệu sau, dữ liệu không phải là dữ liệu số là
A. Số dân của các nước Đông Nam Á.
B. Nhiệt độ trung bình (đơn vị: độ C) trong một tuần của thành phố Hà Nội.
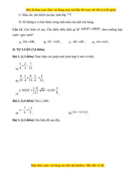
C. Màu sắc yêu thích của học sinh lớp .
D. Số lượng ti vi bán được trong một tuần của một cửa hàng.
Câu 12. Cho hình vẽ sau. Cần thêm điều kiện gì để theo trường hợp cạnh - góc cạnh? A. . B. . C. . D. .
II. TỰ LUẬN (7,0 điểm)
Bài 1. (1,5 điểm) Thực hiện các phép tính (tính hợp lí nếu có thể): a) . b) . c) .
Bài 2. (1,0 điểm) Tìm x, biết: a) . b) .
Bài 3. (1,5 điểm) Cho biểu đồ sau đây.
a) Chỉ ra các thành phần của biểu đồ trên.
b) Hãy lập bảng thống kê tỉ lệ các môn thể thao yêu thích của học sinh lớp 7A.
c) Có bao nhiêu học sinh yêu thích môn bóng đá?
Bài 4. (2,5 điểm) Cho tam giác có . Gọi là trung điểm của . a) Chứng minh . b) Trên tia đối của tia lấy điểm sao cho . Chứng minh . c) Kẻ vuông góc với ( thuộc ), vuông góc với ( thuộc ). Chứng minh rằng: là trung điểm của .
Bài 5. (0,5 điểm) Bác An đi taxi của hãng Mai Linh từ hồ Hoàn Kiếm - Hà Nội đến
thành phố Thái Bình trên quãng đường dài 100 km. Tiền cước xe được tính trên bảng báo giá như sau:
Hãy tính số tiền taxi mà bác An phải trả trên quãng đường 100 km. ........Hết........
Đề thi cuối kì 1 Toán 7 Kết nối tri thức quận Bắc Từ Liêm - Hà Nội
1.3 K
652 lượt tải
MUA NGAY ĐỂ XEM TOÀN BỘ TÀI LIỆU
CÁCH MUA:
- B1: Gửi phí vào TK:
1053587071
- NGUYEN VAN DOAN - Ngân hàng Vietcombank (QR) - B2: Nhắn tin tới Zalo VietJack Official ( nhấn vào đây ) để xác nhận thanh toán và tải tài liệu - giáo án
Liên hệ ngay Hotline hỗ trợ: 084 283 45 85
Đề thi được cập nhật liên tục trong gói này từ nay đến hết tháng 6/2023. Chúng tôi đảm bảo đủ số lượng đề đã cam kết hoặc có thể nhiều hơn, tất cả có BẢN WORD, LỜI GIẢI CHI TIẾT và tải về dễ dàng.
Để tải tài liệu gốc về máy bạn click vào nút Tải Xuống ở trên!
Thuộc bộ (mua theo bộ để tiết kiệm hơn):
- Tailieugiaovien.com.vn giới thiệu bộ đề cuối kì 1 môn Toán 7 Kết nối tri thức mới nhất năm 2023 nhằm giúp Giáo viên có thêm tài liệu tham khảo ra đề thi Toán lớp 7.
- File word có lời giải chi tiết 100%.
- Mua trọn bộ sẽ tiết kiệm hơn tải lẻ 50%.
Đánh giá
4.6 / 5(1304 )5
4
3
2
1

Trọng Bình
Tài liệu hay
Giúp ích cho tôi rất nhiều

Duy Trần
Tài liệu chuẩn
Rất thích tài liệu bên VJ soạn (bám sát chương trình dạy)
TÀI LIỆU BỘ BÁN CHẠY MÔN Toán Học
Xem thêmTÀI LIỆU BỘ BÁN CHẠY Lớp 7
Xem thêmTài liệu bộ mới nhất

Đây là bản xem thử, vui lòng mua tài liệu để xem chi tiết (có lời giải)
UBND QUẬN BẮC TỪ LIÊM
PHÒNG GIÁO DỤC VÀ ĐÀO TẠO
ĐỀ CHÍNH THỨC
ĐỀ KIỂM TRA HỌC KÌ I
NĂM HỌC 2022 – 2023
MÔN: TOÁN 7
Thời gian làm bài: 90 phút
I. TRẮC NGHIỆM (3,0 điểm)
Hãy chọn chữ cái đứng trước phương án trả lời đúng nhất viết vào bài làm của em.
Câu 1. Chọn khẳng định đúng trong các khẳng định sau.
A. . B. . C. . D. .
Câu 2. Số đối của số là
A. . B. . C. . D. .
Câu 3. Trong các số sau, số vô tỉ là
A. . B. . C. 0. D. .
Câu 4. Phân số biểu diễn số hữu tỉ là
A. . B. . C. . D. .
Câu 5. Trong các số sau, số thập phân vô hạn tuần hoàn là
A. . B. . C. . D. .
Câu 6. Trong các cách viết dưới đây, cách viết đúng là
Mọi thắc mắc vui lòng xin liên hệ hotline: 084 283 45 85

Đây là bản xem thử, vui lòng mua tài liệu để xem chi tiết (có lời giải)
A. . B. .
C. hoặc . D. .
Câu 7. Kết quả của bằng
A. . B. 81. C. 3. D. .
Câu 8. Độ dài đường chéo của một mặt bàn hình chữ nhật là 2,7454 . Khi làm tròn đến
chữ số thập phân thứ hai thì được kết quả là
A. 2,75. B. 2,74. C. 2,76. D. 2,745.
Câu 9. Góc đối đỉnh với góc là
A. . B. .
C. . D. .
Câu 10. Hình vẽ nào dưới đây cho biết đường thẳng d là đường trung trực của đoạn
thẳng ?
A. Hình 1. B. Hình 2. C. Hình 3. D. Hình 4.
Câu 11. Trong các dữ liệu sau, dữ liệu không phải là dữ liệu số là
A. Số dân của các nước Đông Nam Á.
B. Nhiệt độ trung bình (đơn vị: độ C) trong một tuần của thành phố Hà Nội.
Mọi thắc mắc vui lòng xin liên hệ hotline: 084 283 45 85

Đây là bản xem thử, vui lòng mua tài liệu để xem chi tiết (có lời giải)
C. Màu sắc yêu thích của học sinh lớp .
D. Số lượng ti vi bán được trong một tuần của một cửa hàng.
Câu 12. Cho hình vẽ sau. Cần thêm điều kiện gì để theo trường hợp
cạnh - góc cạnh?
A. . B. . C. . D. .
II. TỰ LUẬN (7,0 điểm)
Bài 1. (1,5 điểm) Thực hiện các phép tính (tính hợp lí nếu có thể):
a) .
b) .
c) .
Bài 2. (1,0 điểm) Tìm x, biết:
a) . b) .
Bài 3. (1,5 điểm) Cho biểu đồ sau đây.
Mọi thắc mắc vui lòng xin liên hệ hotline: 084 283 45 85

Đây là bản xem thử, vui lòng mua tài liệu để xem chi tiết (có lời giải)
a) Chỉ ra các thành phần của biểu đồ trên.
b) Hãy lập bảng thống kê tỉ lệ các môn thể thao yêu thích của học sinh lớp 7A.
c) Có bao nhiêu học sinh yêu thích môn bóng đá?
Bài 4. (2,5 điểm) Cho tam giác có . Gọi là trung điểm của .
a) Chứng minh .
b) Trên tia đối của tia lấy điểm sao cho . Chứng minh .
c) Kẻ vuông góc với ( thuộc ), vuông góc với ( thuộc ).
Chứng minh rằng: là trung điểm của .
Bài 5. (0,5 điểm) Bác An đi taxi của hãng Mai Linh từ hồ Hoàn Kiếm - Hà Nội đến
thành phố Thái Bình trên quãng đường dài 100 km. Tiền cước xe được tính trên bảng
báo giá như sau:
Hãy tính số tiền taxi mà bác An phải trả trên quãng đường 100 km.
........Hết........
Mọi thắc mắc vui lòng xin liên hệ hotline: 084 283 45 85

Đây là bản xem thử, vui lòng mua tài liệu để xem chi tiết (có lời giải)
(Học sinh được sử dụng máy tính bỏ túi)
Cán bộ coi thi không cần giải thích gì thêm.
Mọi thắc mắc vui lòng xin liên hệ hotline: 084 283 45 85