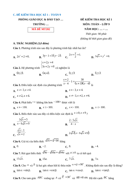
C. ĐỀ KIỂM TRA HỌC KÌ 1 – TOÁN 9
PHÒNG GIÁO DỤC & ĐÀO TẠO …
ĐỀ KIỂM TRA HỌC KÌ 1 TRƯỜNG …
MÔN: TOÁN – LỚP 9 MÃ ĐỀ MT202 NĂM HỌC: … – … Thời gian: 90 phút
(không kể thời gian giao đề)
A. TRẮC NGHIỆM (3,0 điểm)
Câu 1. Phương trình nào sau đây là phương trình bậc nhất hai ẩn? A. B. C. D.
Câu 2. Hệ phương trình có nghiệm là A. B. C. D.
Câu 3. Điều kiện xác định của phương trình là A. B. C. D.
Câu 4. Phát biểu “ không lớn hơn ” được viết là A. B. C. D.
Câu 5. Biểu thức nào sau đây có điều kiện xác định là ? A. B. C. D.
Câu 6. Giá trị của biểu thức bằng A. B. C. D.
Câu 7. Rút gọn biểu thức với ta có kết quả A. B. C. D.
Câu 8. Cho và là hai góc nhọn bất kì thỏa mãn
. Khẳng định nào sau đây là đúng? A. B. C. D. Câu 9. Cho tam giác vuông tại có và Độ dài cạnh bằng A. B. C. D.
Câu 10. Đường thẳng cách tâm của đường tròn một khoảng Khi đó vị trí
tương đối của và đường tròn là A. Cắt nhau. B. Không giao nhau. C. Tiếp xúc nhau.
D. Không kết luận được.
Câu 11. Cho hai đường tròn và thỏa mãn . Số điểm chung của hai đường tròn là A. B. C. D. Câu 12. Cung tròn
của một đường tròn có độ dài là
Bán kính của đường tròn đó là A. B. C. D.
B. PHẦN TỰ LUẬN (7,0 điểm)
Bài 1. (1,5 điểm) Cho hai biểu thức và với
a) Tính giá trị của tại
b) Rút gọn biểu thức . c) Biết . Tìm số nguyên để
Bài 2. (2,0 điểm)
1. Giải các phương trình, bất phương trình sau. a) b)
2. Giải bài toán sau bằng cách lập hệ phương trình.
Để chuẩn bị cho chuyến đi dã ngoại của gia đình, cô Linh đi siêu thị mua 1 thùng nước ngọt và 4
túi bánh mì sandwich với giá niêm yết tổng cộng là 340 000 đồng. Tuy nhiên khi đến siêu thị thì cô
Linh được biết giá mỗi thùng nước ngọt tăng
và giá mỗi túi bánh mì sandwich được giảm
so với giá niêm yết nên cô Mai đã trả tổng cộng 325 000 đồng. Tính giá niêm yết của một thùng
nước ngọt và giá niêm yết của một túi bánh mì sandwich.
Bài 3. (1,0 điểm) Hai người A và B đứng cùng bờ sông nhìn ra một cồn C nổi giữa sông. Người A
nhìn ra cồn với một góc
so với bờ sông, người B nhìn ra cồn với một góc so với bờ sông.
Hai người đứng cách nhau
Hỏi cồn cách bờ sông hai người đứng bao nhiêu mét (Kết quả
làm tròn đến hàng phần trăm)?
Bài 4. (2,0 điểm) Cho đường tròn , đường kính . Vẽ hai tiếp tuyến của đường tròn lần lượt tại
. Trên đường thẳng lấy điểm , từ kẻ đường thẳng vuông góc với cắt đường thẳng ở . a) Tứ giác là hình gì? b) Chứng minh và
là tiếp tuyến của đường tròn . c) Biết và
, tính diện tích hình được giới hạn bởi tứ giác và đường tròn
(kết quả làm tròn đến hàng phần mười).
Bài 5. (0,5 điểm) Một cửa hàng bán sản phẩm với giá
đồng mỗi chiếc. Để tăng doanh
số bán hàng, cửa hàng quyết định giảm giá sản phẩm. Với mỗi lần giảm giá đồng, cửa hàng
sẽ bán thêm được 20 sản phẩm. Biết rằng khi cửa hàng không giảm giá, họ bán được 100 sản phẩm.
Hãy tính mức giảm giá sao cho cửa hàng thu được doanh thu lớn nhất. -----HẾT-----
D. ĐÁP ÁN & HƯỚNG DẪN ĐỀ KIỂM TRA HỌC KÌ 1 – TOÁN 9
PHÒNG GIÁO DỤC & ĐÀO TẠO …
ĐÁP ÁN & HƯỚNG DẪN GIẢI TRƯỜNG … KIỂM TRA HỌC KÌ 1 MÃ ĐỀ MT202
MÔN: TOÁN – LỚP 9 NĂM HỌC: … – …
PHẦN I. TRẮC NGHIỆM KHÁCH QUAN (2,0 điểm)
Bảng đáp án trắc nghiệm: Câu 1 2 3 4 5 6 7 8 9 10 11 12 Đáp án C D A D A A C B D A C C
Hướng dẫn giải phần trắc nghiệm
Câu 1. Phương trình nào sau đây là phương trình bậc nhất hai ẩn? A. B. C. D. Hướng dẫn giải Đáp án đúng là: C
Phương trình bậc nhất hai ẩn có dạng với hoặc . Viết phương trình thành
ta được phương trình bậc nhất hai ẩn với
Câu 2. Hệ phương trình có nghiệm là A. B. C. D. Hướng dẫn giải Đáp án đúng là: D
Cách 1: Sử dụng MTCT để tìm nghiệm của hệ hai phương trình
Với MTCT phù hợp, ta bấm lần lượt các phím:
Trên màn hình cho kết quả ta bấm tiếp phím màn hình cho kết quả Vậy cặp số
là nghiệm của hệ phương trình
Đề thi Cuối kì 1 Toán 9 Kết nối tri thức 2024 (Đề 4)
563
282 lượt tải
MUA NGAY ĐỂ XEM TOÀN BỘ TÀI LIỆU
CÁCH MUA:
- B1: Gửi phí vào TK:
1053587071
- NGUYEN VAN DOAN - Ngân hàng Vietcombank (QR) - B2: Nhắn tin tới Zalo VietJack Official ( nhấn vào đây ) để xác nhận thanh toán và tải tài liệu - giáo án
Liên hệ ngay Hotline hỗ trợ: 084 283 45 85
Chúng tôi đảm bảo đủ số lượng đề đã cam kết hoặc có thể nhiều hơn, tất cả có BẢN WORD, LỜI GIẢI CHI TIẾT và tải về dễ dàng.
Để tải tài liệu gốc về máy bạn click vào nút Tải Xuống ở trên!
Thuộc bộ (mua theo bộ để tiết kiệm hơn):
- Tailieugiaovien.com.vn giới thiệu bộ đề Cuối kì 1 gồm có đầy đủ các hình thức đề thi dành cho Giáo viên tham khảo.
- File word có lời giải chi tiết 100%.
- Mua trọn bộ sẽ tiết kiệm hơn tải lẻ 50%.
Đánh giá
4.6 / 5(563 )5
4
3
2
1

Trọng Bình
Tài liệu hay
Giúp ích cho tôi rất nhiều

Duy Trần
Tài liệu chuẩn
Rất thích tài liệu bên VJ soạn (bám sát chương trình dạy)