C. ĐỀ KIỂM TRA GIỮA HỌC KÌ 1 – TOÁN 9
PHÒNG GIÁO DỤC & ĐÀO TẠO …
ĐỀ KIỂM TRA GIỮA HỌC KÌ 1 TRƯỜNG … MÔN: TOÁN – LỚP 9 MÃ ĐỀ MT204 NĂM HỌC: … – … Thời gian: 90 phút
(không kể thời gian giao đề)
PHẦN I. TRẮC NGHIỆM KHÁCH QUAN (3,0 điểm)
Hãy viết chữ cái in hoa đứng trước phương án đúng duy nhất trong mỗi câu sau vào bài  làm.
Câu 1. Điều kiện xác định của phương trình   là A.   và    B.   và  C.   và    D.   và 
Câu 2. Phương trình   có nghiệm là A.  . B.  . C.  . D. 
Câu 3. Phương trình nào sau đây không là phương trình bậc nhất hai ẩn? A.  . B.  . C.  D. 
Câu 4. Hệ phương trình nào có cùng cặp nghiệm với hệ phương trình  ? A.  . B.  . C.  . D.  Câu 5. Nếu   là ba số mà   và   thì là A. số âm. B. số dương. C. số 0. D. số tùy ý. Câu 6. Với 
, chọn khẳng định sai trong các khẳng định dưới đây ? A.  B.  C.  D.
Câu 7. Nghiệm của bất phương trình   là A.  B.  C.  D. 
Câu 8. Bất phương trình nào dưới đây có nghiệm  ? A.  B.  C.  D.  Câu 9. Cho tam giác 
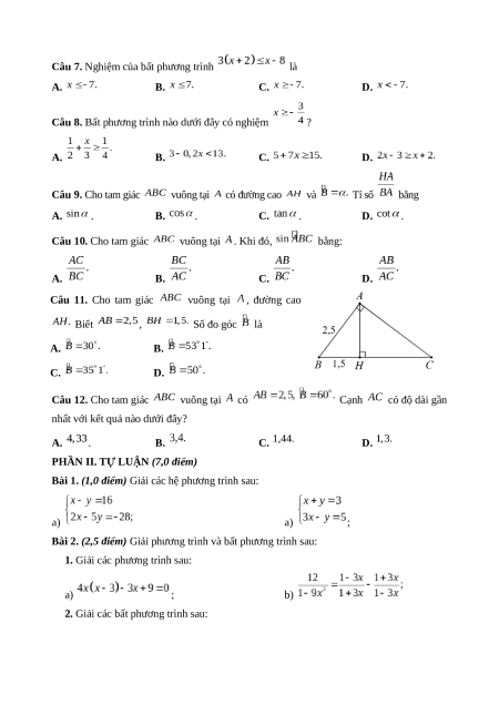
 vuông tại có đường cao   và   Tỉ số   bằng A.  . B.  . C.  . D.  . Câu 10. Cho tam giác   vuông tại . Khi đó,   bằng: A.  B.  C.  D.  Câu 11. Cho tam giác   vuông tại , đường cao   Biết  ,   Số đo góc là A.  B.  C.  D. 
Câu 12. Cho tam giác 
 vuông tại có   Cạnh   có độ dài gần 
nhất với kết quả nào dưới đây? A.  . B.  C.  D. 
PHẦN II. TỰ LUẬN (7,0 điểm)
Bài 1. (1,0 điểm) Giải các hệ phương trình sau: a)  a)  ;
Bài 2. (2,5 điểm) Giải phương trình và bất phương trình sau:
1. Giải các phương trình sau: a)  ; b) 
2. Giải các bất phương trình sau: a)  b)  e) 
Bài 3. (1 điểm) Trong kì thi vào THPT, hai trường A và B có tổng cộng   học sinh dự thi. 
Kết quả hai trường đó có 
 học sinh trúng tuyển. Trường A có   học sinh trúng tuyển,  trường B có 
 học sinh trúng tuyển. Hỏi mỗi trường có bao nhiêu học sinh trúng tuyển.
Bài 4. (2,0 điểm) 
1. Cho hình vẽ bên. Tính số đo góc và các độ  dài 
 (góc làm tròn đến độ, độ dài làm tròn đến  hàng phần trăm).
2) Để ước lượng chiều cao trong trường, bạn An đứng ở sân trường (theo phương thẳng 
đứng), mắt bạn An đặt tại vị trí điểm cách mặt đất một khoảng  và  cách cây một khoảng  . Tính chiều cao 
 của cây (làm tròn kết quả đến 
hàng phần trăm của mét), biết góc nhìn   bằng 
 được minh họa ở hình bên.
Bài 5. (0,5 điểm) Giải bất phương trình ẩn sau:   với  . -----HẾT-----
D. ĐÁP ÁN & HƯỚNG DẪN ĐỀ KIỂM TRA GIỮA HỌC KÌ 1 – TOÁN 9
PHÒNG GIÁO DỤC & ĐÀO TẠO …
ĐÁP ÁN & HƯỚNG DẪN GIẢI TRƯỜNG …
KIỂM TRA GIỮA HỌC KÌ 1 MÃ ĐỀ MT204 MÔN: TOÁN – LỚP 9 NĂM HỌC: … – …
PHẦN I. TRẮC NGHIỆM KHÁCH QUAN (3,0 điểm)
Bảng đáp án trắc nghiệm: Câu 1 2 3 4 5 6 7 8 9 10 11 12 Đáp án D B D A A B A A A A B A
Hướng dẫn giải phần trắc nghiệm
Câu 1 Điều kiện xác định của phương trình   là A.   và    B.   và  C.   và    D.   và  Hướng dẫn giải Đáp án đúng là: D
Điều kiện xác định của phương trình   là   và   hay   và  .
Câu 2. Phương trình   có nghiệm là A.  . B.  . C.  . D.  Hướng dẫn giải Đáp án đúng là: B Ta có:   hoặc   hoặc  . 
Đề thi giữa kì 1 Toán 9 Chân trời sáng tạo (Đề 4)
                                                                
                                    
                                    
                                        
                                        
                                        
                                        
                                        
                                    
                                    404 
                                
                                
                                 202 lượt tải
                            
                            
                            
                        
                            MUA NGAY ĐỂ XEM TOÀN BỘ TÀI LIỆU
                        
                        CÁCH MUA:
- B1: Gửi phí vào TK: 1053587071- NGUYEN VAN DOAN - Ngân hàng Vietcombank (QR)
- B2: Nhắn tin tới Zalo VietJack Official ( nhấn vào đây ) để xác nhận thanh toán và tải tài liệu - giáo án
Liên hệ ngay Hotline hỗ trợ: 084 283 45 85
Chúng tôi đảm bảo đủ số lượng đề đã cam kết hoặc có thể nhiều hơn, tất cả có BẢN WORD, LỜI GIẢI CHI TIẾT và tải về dễ dàng.
Để tải tài liệu gốc về máy bạn click vào nút Tải Xuống ở trên!
Thuộc bộ (mua theo bộ để tiết kiệm hơn):
- Tailieugiaovien.com.vn giới thiệu bộ đề giữa kì 1 gồm đầy đủ ma trận và lời giải chi tiết môn Toán 9 Chân trời sáng tạo mới nhất năm 2024 nhằm giúp Giáo viên có thêm tài liệu tham khảo ra đề thi Toán 9.
- File word có lời giải chi tiết 100%.
- Mua trọn bộ sẽ tiết kiệm hơn tải lẻ 50%.
Đánh giá
4.6 / 5(404 )5
                                            4
                                            3
                                            2
                                            1
                                             
                                        Trọng Bình
                                                
                                                
                                                
                                                
                                                
                                                Tài liệu hay
                                            
                                            
                                            Giúp ích cho tôi rất nhiều
 
                                        Duy Trần
                                                
                                                
                                                
                                                
                                                
                                                Tài liệu chuẩn
                                            
                                            
                                            Rất thích tài liệu bên VJ soạn (bám sát chương trình dạy)
 
                                             
                                             
                                             
                                             
                                            
 
                        
 Nhắn tin Zalo
 Nhắn tin Zalo