giải) SỞ GIÁO D C Ụ VÀ ĐÀO T O Ạ KỲ THI CH N Ọ H C Ọ SINH GI I Ỏ THÀNH PHỐ H I Ả PHÒNG CẤP THCS, NĂM H C Ọ 2022 - 2023 Đ Ề CHÍNH TH C Ứ Đ Ề THI MÔN: TOÁN
Thời gian: 150 phút (không kể th i ờ gian giao đ ) ề (Đ ề thi gồm 01 trang) Ngày thi: 28/03/2023
Bài 1. (2,0 điểm) 2 2 2 2 4 2 2 a a b a a b 4 a a b A : 2 2 2 2 2
a a b
a a b b a b 0 a) Rút g n ọ bi u ể th c ứ (v i ớ ). 3 6 6 6 ... 6 1 5 6 27 3 6 6 ... 6 b) Ch ng ứ minh r ng ằ (trong đó bi u ể th c ứ ch a ứ căn có 2023 dấu căn ở t ử s
ố và 2022 dấu căn ở m u ẫ s ) ố . Bài 2. (2,0 đi m ể ) 2
x m 2 4
1 x 4m 1 0 a) Cho phư ng ơ trình (v i ớ m là tham s ố ). x ,x x 0 x x . Tìm m đ ể phư ng ơ trình có hai nghi m ệ 1 2 thoả mãn đi u ề ki n ệ 1 và 1 2 1 2 x 1 3 x y . 1 2 y 1 1 x y b) Giải h ệ phư ng ơ trình Bài 3. (2,0 đi m ể )
a) Tìm x nguyên dư ng ơ đ ể 3 2
4x 14x 9x 6 là số chính phư ng. ơ , x , y z b) Cho là các s ố th c ự dư ng ơ th a ỏ mãn x . z Ch ng ứ minh rằng: 2 x 2z xz y 5 2
y yz xz yz x z 2. Bài 4. (3,0 đi m ể ) M i
ọ thắc mắc vui lòng xin liên hệ hotline: 084 283 45 85
giải) O Cho A BC nh n ọ không cân t i ạ đ n ỉ h , A n i ộ ti p ế đư n ờ . g tròn Kẻ đư n ờ g cao A BC H BC AH . P,Q c a ủ G i ọ l n ầ lư t ợ là chân đư n ờ g vuông góc k ẻ từ H đ n ế các AB , AC. đư n ờ g th n ẳ g a) Ch ng ứ minh t ứ giác BCQP n i ộ ti p ế . O b) Hai đư ng ờ th ng
ẳ PQ và BC cắt nhau t i ạ M, đư ng
ờ thẳng AM cắt đư ng ờ tròn 2 MH M K .M . A tại đi m
ể thứ hai là K (K khác A ). Ch ng ứ minh r ng ằ I ,H,K c) G i ọ I là tâm đư ng ờ tròn ngo i ạ ti p
ế tứ giác BCQP. Ch ng ứ minh ba đi m ể thẳng hàng. Bài 5. (1,0 điểm) Tìm độ dài nhỏ nh t ấ c a ủ c nh ạ m t
ộ hình vuông sao cho có th ể đ t ặ vào trong nó 5
hình tròn có bán kính b ng ằ 1, bi t ế r ng
ằ các hình tròn này đôi m t ộ không có quá m t ộ đi m ể chung. ---------H t- ế -------- (Cán b ộ coi thi không gi i ả thích gì thêm) H
ọ và tên thí sinh:..............................................Số báo danh:.............................................. Cán b
ộ coi thi 1:.................................................Cán b
ộ coi thi 2:......................................... M i
ọ thắc mắc vui lòng xin liên hệ hotline: 084 283 45 85
giải) SỞ GIÁO D C Ụ VÀ ĐÀO T O Ạ KỲ THI CH N Ọ H C Ọ SINH GI I Ỏ THÀNH PHỐ H I Ả PHÒNG CẤP THCS NĂM H C Ọ 2022 - 2023 Đ Ề CHÍNH TH C Ứ HƯ NG Ớ D N Ẫ CH M Ấ MÔN TOÁN Ngày thi: 28/03/2023 (Hư ng ớ
dẫn chấm gồm 05 trang) Bài Đáp án Điể m Bài 1 1a. (1,0 đi m ể ) (2 điểm) a b 0 Với ta có 2 2 2 2 4 2 2 a a b a a b 4 a a b A : 2 2 2 2 2
a a b
a a b b
a a b 2 a a b 2 2 2 2 2 2 b . 0,25 2 2
a a b 2 2
a a b 4 2 2 4 a a b 2 2 2 4a a b b . . 2 0,25 2 2 b 4a a b a 0,25 a 1 khi a 0 0,25 1 khi a 0 1b. (1,0 đi m ể ) 3 6 6 6 ... 6 A 3 6 6 ... 6 Đặt 0,25
và a 6 6 ... 6 (v i ớ 2023 dấu căn). 2
suy ra a 6 6 6 ... 6 (v i ớ 2022 dấu căn) 3 a 1 A 1 2 3 a 6 3 a 0,25 Và
có a 6 6 ... 6 3 (v i ớ 2023 dấu căn) Ta M i
ọ thắc mắc vui lòng xin liên hệ hotline: 084 283 45 85
giải) Bài Đáp án Điể m 1 1 a 3 2 0,25 6 3 a 1 1 5 2,4 6 a 3 Ta có 3 a 3 2,4 27 1 5 0,25 3 A . Từ 2 và suy ra 6 27 Bài 2 2 a. (1,0 đi m ể ) (2 điểm) x ,x
Giả sử 1 2 là các nghi m ệ c a ủ phư ng ơ trình đã cho. x 0 x 0 x x x 0 0,25 1 1 2 1 2 x x x x x x x 0 Ta có 1 2 2 1 2 1 2 1 2 2 4 1 0 m m 4 0,25 4m 1 0 1 m 4 1 1 m 2 2 1 m 0,25 4 1 1 m . 4 2 0,25 1 1 m . Vậy 4 2 b. ( 1,0 đi m ể ) Giải h ệ phư ng ơ trình 1 2 x 1 3 x y I 1 2 y 1 1 x y
x 0,y 0, x y 0 . ĐKXĐ: I V i
ớ x 0, y 0 không thoả mãn hệ phư ng ơ trình 0,25
x 0, y 0 M i
ọ thắc mắc vui lòng xin liên hệ hotline: 084 283 45 85
Đề thi HSG Toán 9 cấp tỉnh - Hải Phòng năm học 2022 - 2023 có đáp án
651
326 lượt tải
MUA NGAY ĐỂ XEM TOÀN BỘ TÀI LIỆU
CÁCH MUA:
- B1: Gửi phí vào TK:
1053587071
- NGUYEN VAN DOAN - Ngân hàng Vietcombank (QR) - B2: Nhắn tin tới Zalo VietJack Official ( nhấn vào đây ) để xác nhận thanh toán và tải tài liệu - giáo án
Liên hệ ngay Hotline hỗ trợ: 084 283 45 85
Tài liệu được cập nhật liên tục trong gói này từ nay đến hết tháng 3/2024. Chúng tôi đảm bảo đủ số lượng đề đã cam kết hoặc có thể nhiều hơn, tất cả có BẢN WORD, LỜI GIẢI CHI TIẾT và tải về dễ dàng.
Để tải tài liệu gốc về máy bạn click vào nút Tải Xuống ở trên!
Thuộc bộ (mua theo bộ để tiết kiệm hơn):
- Tailieugiaovien.com.vn giới thiệu Đề thi HSG Toán 9 cấp tỉnh - Hải Phòng năm học 2022 - 2023 có đáp án.
- File word có lời giải chi tiết 100%.
- Mua trọn bộ sẽ tiết kiệm hơn tải lẻ 50%.
Đánh giá
4.6 / 5(651 )5
4
3
2
1

Trọng Bình
Tài liệu hay
Giúp ích cho tôi rất nhiều

Duy Trần
Tài liệu chuẩn
Rất thích tài liệu bên VJ soạn (bám sát chương trình dạy)
TÀI LIỆU BỘ BÁN CHẠY MÔN Toán Học
Xem thêmTÀI LIỆU BỘ BÁN CHẠY Lớp 9
Xem thêmTài liệu bộ mới nhất

Đây là bản xem thử, vui lòng mua tài liệu để xem chi tiết (có lời
giải)
S GIÁO D C VÀ ĐÀO T OỞ Ụ Ạ
H I PHÒNGẢ
(Đ thi g m ề ồ 01 trang)
KỲ THI CH N H C SINH GI I THÀNH PHỌ Ọ Ỏ Ố
C P THCS, Ấ NĂM H C 2022 - 2023Ọ
Đ THI MÔN: Ề TOÁN
Th i gian: ờ 150 phút (không kể th i gianờ giao đ )ề
Ngày thi: 28/03/2023
Bài 1. (2,0 đi m)ể
a) Rút g n bi u th c ọ ể ứ
2 2 2 2 4 2 2
2
2 2 2 2
4
:
a a b a a b a a b
A
b
a a b a a b
(v i ớ
0a b
).
b) Ch ng minh r ng ứ ằ
3 6 6 6 ... 6
1 5
6 27
3 6 6 ... 6
(trong đó bi u th c ch a cănể ứ ứ
có
2023
d u căn t s và ấ ở ử ố
2022
d u căn m u s ).ấ ở ẫ ố
Bài 2. (2,0 đi m)ể
a) Cho ph ng trình ươ
2 2
4 1 4 1 0x m x m
(v i ớ
m
là tham s ). ố
Tìm
m
đ ph ng trình có hai nghi m ể ươ ệ
1 2
,x x
tho mãn đi u ki n ả ề ệ
1
0x
và
1 2
.x x
b) Gi i h ph ng trình ả ệ ươ
1
2 1 3
.
1
2 1 1
x
x y
y
x y
Bài 3. (2,0 đi m)ể
a) Tìm
x
nguyên d ng đ ươ ể
3 2
4 14 9 6x x x
là s chính ph ng.ố ươ
b) Cho
, ,x y z
là các s th c d ng th a mãn ố ự ươ ỏ
.x z
Ch ng minh r ng:ứ ằ
2
2
2
5
2
x z
xz y
xz yz x z
y yz
.
Bài 4. (3,0 đi m)ể
M iọ th c m c vui lòng xin liên hắ ắ ệ hotline: 084 283 45 85
Đ CHÍNH TH CỀ Ứ

Đây là bản xem thử, vui lòng mua tài liệu để xem chi tiết (có lời
giải)
Cho
ABC
nh n không cân t i đ nh ọ ạ ỉ
,A
n i ti p đ ng tròn ộ ế ườ
.O
K đ ng caoẻ ườ
AH
c a ủ
.ABC H BC
G i ọ
,P Q
l n l t là chân đ ng vuông góc k t ầ ượ ườ ẻ ừ
H
đ n cácế
đ ng th ng ườ ẳ
, .AB AC
a) Ch ng minh t giác ứ ứ
BCQP
n i ti p.ộ ế
b) Hai đ ng th ng ườ ẳ
PQ
và
BC
c t nhau t i ắ ạ
,M
đ ng th ng ườ ẳ
AM
c t đ ng tròn ắ ườ
O
t i đi m th hai là ạ ể ứ
K
(
K
khác
A
). Ch ng minh r ng ứ ằ
2
. .MH MK MA
c) G i ọ
I
là tâm đ ng tròn ngo i ti p t giác ườ ạ ế ứ
.BCQP
Ch ng minh ba đi m ứ ể
, ,I H K
th ng hàng.ẳ
Bài 5. (1,0 đi m) ể
Tìm đ dài nh nh t c a c nh m t hình vuông sao cho có th đ t vào trong nó ộ ỏ ấ ủ ạ ộ ể ặ
5
hình tròn có bán kính b ng ằ
1,
bi t r ng các hình tròn này đôi m t không có quá m t đi mế ằ ộ ộ ể
chung.
---------H t---------ế
(Cán b coi thi không gi i thích gì thêmộ ả )
H và tên thí sinh:ọ ..............................................S báo danh:ố ..............................................
Cán b coi thi 1:ộ .................................................Cán b coi thi 2:ộ .........................................
M iọ th c m c vui lòng xin liên hắ ắ ệ hotline: 084 283 45 85

Đây là bản xem thử, vui lòng mua tài liệu để xem chi tiết (có lời
giải)
S GIÁO D C VÀ ĐÀO T OỞ Ụ Ạ
H I PHÒNGẢ
(H ng d n ch m g m 05 trang)ướ ẫ ấ ồ
KỲ THI CH N H C SINH GI I THÀNH PHỌ Ọ Ỏ Ố
C P THCS Ấ NĂM H C 2022 - 2023Ọ
H NG D N CH MƯỚ Ẫ Ấ MÔN TOÁN
Ngày thi: 28/03/2023
Bài Đáp án Điể
m
Bài 1
(2 đi m)ể
1a. (1,0 đi m)ể
Với
0a b
ta có
2 2 2 2 4 2 2
2
2 2 2 2
4
:
a a b a a b a a b
A
b
a a b a a b
2 2
2 2 2 2
2
4 2 2
2 2 2 2
.
4
a a b a a b
b
a a b
a a b a a b
0,25
2 2 2
2
2 2
4
. .
4
a a b b
b
a a b
0,25
a
a
0,25
1 khi 0
1 khi 0
a
a
0,25
1b. (1,0 đi m)ể
Đ t ặ
3 6 6 6 ... 6
3 6 6 ... 6
A
và
6 6 ... 6a
(v i ớ
2023
d u căn).ấ
0,25
suy ra
2
6 6 6 ... 6a
(v i ớ
2022
d u căn)ấ
Và
2
3 1
1
3
3 6
a
A
a
a
0,25
Ta
có
6 6 ... 6 3a
(v i ớ
2023
d u căn)ấ
M iọ th c m c vui lòng xin liên hắ ắ ệ hotline: 084 283 45 85
Đ CHÍNH TH CỀ Ứ

Đây là bản xem thử, vui lòng mua tài liệu để xem chi tiết (có lời
giải)
Bài Đáp án Điể
m
1 1
3 2
6 3
a
a
0,25
Ta có
1 1 5
2,4 6 3
3 3 2,4 27
a
a
T ừ
2
và
3
suy ra
1 5
.
6 27
A
0,25
Bài 2
(2 đi m)ể
2 a. (1,0 đi m)ể
Gi s ả ử
1 2
,x x
là các nghi m c a ph ng trình đã cho.ệ ủ ươ
Ta có
1
1 2 1 2
2 1 2 1 2
1 2
0
0 0
0
x
x x x x
x x x x x
x x
0,25
2
2
1
4 1 0
4
1
4 1 0
4
m
m
m
m
0,25
1 1
2 2
1
4
m
m
0,25
1 1
.
4 2
m
V y ậ
1 1
.
4 2
m
0,25
b. ( 1,0 đi m)ể
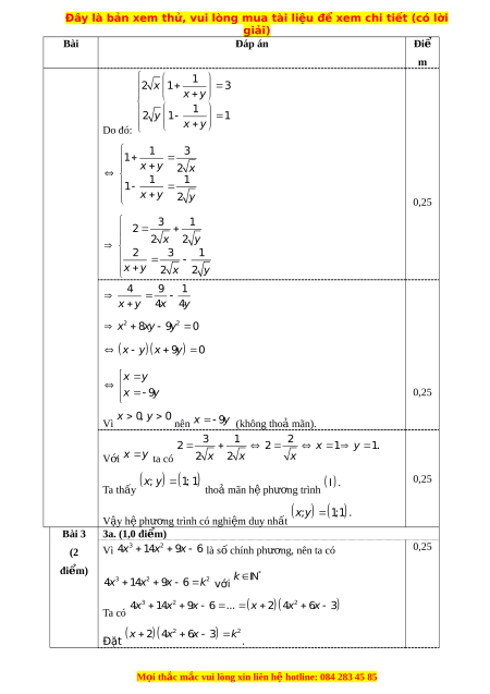
Gi i h ph ng trình ả ệ ươ
1
2 1 3
1
2 1 1
x
x y
I
y
x y
ĐKXĐ:
0, 0, 0.x y x y
V i ớ
0x
,
0y
không tho mãn h ph ng trình ả ệ ươ
I
0, 0x y
0,25
M iọ th c m c vui lòng xin liên hắ ắ ệ hotline: 084 283 45 85

Đây là bản xem thử, vui lòng mua tài liệu để xem chi tiết (có lời
giải)
Bài Đáp án Điể
m
Do đó:
1
2 1 3
1
2 1 1
x
x y
y
x y
1 3
1
2
1 1
1
2
x y
x
x y
y
3 1
2
2 2
2 3 1
2 2
x y
x y
x y
0,25
4 9 1
4 4x y x y
2 2
8 9 0x xy y
9 0x y x y
9
x y
x y
Vì
0, 0x y
nên
9x y
(không tho mãn).ả
0,25
V i ớ
x y
ta có
3 1 2
2 2 1 1.
2 2
x y
x x x
Ta th y ấ
; 1; 1x y
tho mãn h ph ng trình ả ệ ươ
I .
V y h ph ng trình có nghi m duy nh t ậ ệ ươ ệ ấ
; 1;1 .x y
0,25
Bài 3
(2
đi m)ể
3a. (1,0 đi m)ể
Vì
3 2
4 14 9 6x x x
là s chính ph ng, nên ta cóố ươ
3 2 2
4 14 9 6x x x k
với
*
k
Ta có
3 2 2
4 14 9 6 ... 2 4 6 3x x x x x x
Đặt
2 2
2 4 6 3x x x k
.
0,25
M iọ th c m c vui lòng xin liên hắ ắ ệ hotline: 084 283 45 85