Đây là bản xem th , vu ử i lòng mua tài li u ệ đ xe ể m chi ti t ế (có l i ờ gi i ả ) Ôn t p ch ậ ư ng 1 ơ a
Câu 1. Cho a, b , b ≠ 0, x = b . N u ế a, b khác dâu thi: A. x = 0; B. x > 0; C. x < 0; D. C B a , C đ u s ê ai. 3 Câu 2. Số h u t ữ ỉ 4 đư c ợ bi u di ể n b ễ i ở : A. Bốn đi m ể trên tr c s ụ ố; B. Ba đi m ể trên tr c ụ s ; ố C. Hai đi m ể trên tr c s ụ ; ố D. M t ộ đi m ể duy nh t â trên tr c s ụ . ố Câu 3. Kh ng ẳ đ nh nào t ị rong các kh ng đ ẳ nh s ị au là đúng? A. Số 0 không ph i a là số h u t ữ ỉ; B. Số 0 là số h u ữ tỉ nh ng ư không ph i a là số h u ữ tỉ dư ng ơ cũng không ph i a là số h u t ữ ỉ âm; C. Số 0 là số h u ữ t âm ỉ ; D. Số 0 là số h u t ữ ỉ dư ng. ơ 7 Câu 4. Số đối c a ủ các số h u t
ữ ỉ sau: 0,5; −2; 9; 9 lần lư t ợ là: 7 A. −0,5; 2; 9; 9 ; 7 B. −0,5; 2; −9; 9 ; M i ọ thắc m c
ắ vui lòng xin liên h h
ệ otline: 084 283 45 85
Đây là bản xem th , vu ử i lòng mua tài li u ệ đ xe ể m chi ti t ế (có l i ờ gi i ả ) 7 C. −0,5; 2; −9; 9 ;
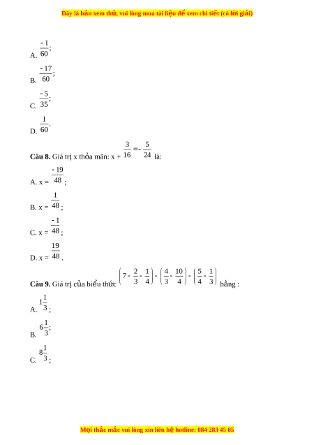
D. Tât ca các đáp án trên đ u s ê ai. 1 3 4 ; ; ; 0 Câu 5. S p ắ x p các s ế ố h u ữ t ỉ 4 2 5 theo th t ứ ự tăng dần? 1 3 4 ; ; ; 0 4 2 5 ; A. 3 1 4 ; ; 0; B. 2 4 5 ; 1 3 4 0; ; ; C. 4 2 5 ; 1 3 4 ; 0; ; D. 4 2 5 . x 1 x 1 Câu 6. Số h u t ữ ỉ 6 không th a m ỏ ãn đi u ki ê n s ệ au 2 6 2 là: 1 A. 6 ; 1 B. 6 ; 1 C. 3 ; 2 D. 3 ; 3 2 ? Câu 7. K t ế qua c a phép ủ tính: 20 15 M i ọ thắc m c
ắ vui lòng xin liên h h
ệ otline: 084 283 45 85
Đây là bản xem th , vu ử i lòng mua tài li u ệ đ xe ể m chi ti t ế (có l i ờ gi i ả ) 1; A. 60 17 ; B. 60 5 ; C. 35 1 . D. 60 3 5 Câu 8. Giá tr x t ị h a m ỏ ãn: x + 16 24 là: 19 A. x = 48 ; 1 B. x = 48 ; 1 C. x = 48 ; 19 D. x = 48 . 2 1 4 10 5 1 7 Câu 9. Giá tr c ị a bi ủ u t ể h c ứ 3 4 3 4 4 3 b ng ằ : 1 1 A. 3 ; 1 6 ; B. 3 1 8 C. 3 ; M i ọ thắc m c
ắ vui lòng xin liên h h
ệ otline: 084 283 45 85
Đây là bản xem th , vu ử i lòng mua tài li u ệ đ xe ể m chi ti t ế (có l i ờ gi i ả ) 1 10 . 3 D. 26 3 : 2 ? Câu 10. K t ế qua c a phép ủ tính: 15 5 A. −6; 3 B. 2 ; 2 C. 3 ; 3 D. 4 . 3 1 12 . Câu 11. K t
ế qua phép tính: 4 4 20 là : 12 A. 20 ; 3 B. 5 ; 3 C. 5 ; 9 D. 84 . 1 3 x : 1 Câu 12. Giá tr x t ị h a m ỏ ãn 12 4 là: 1 A. 4 ; M i ọ thắc m c
ắ vui lòng xin liên h h
ệ otline: 084 283 45 85
Trắc nghiệm tổng hợp Chương 1 Toán 7 Chân trời sáng tạo
345
173 lượt tải
MUA NGAY ĐỂ XEM TOÀN BỘ TÀI LIỆU
CÁCH MUA:
- B1: Gửi phí vào TK:
1053587071
- NGUYEN VAN DOAN - Ngân hàng Vietcombank (QR) - B2: Nhắn tin tới Zalo VietJack Official ( nhấn vào đây ) để xác nhận thanh toán và tải tài liệu - giáo án
Liên hệ ngay Hotline hỗ trợ: 084 283 45 85
Tài liệu được cập nhật liên tục trong gói này từ nay đến hết tháng 3/2024. Chúng tôi đảm bảo đủ số lượng đề đã cam kết hoặc có thể nhiều hơn, tất cả có BẢN WORD, LỜI GIẢI CHI TIẾT và tải về dễ dàng.
Để tải tài liệu gốc về máy bạn click vào nút Tải Xuống ở trên!
Thuộc bộ (mua theo bộ để tiết kiệm hơn):
- Tailieugiaovien.com.vn giới thiệu Bộ câu hỏi trắc nghiệm Toán lớp 7 Tập 1 mới nhất nhằm giúp Giáo viên có thêm tài liệu tham khảo Trắc nghiệm môn Toán lớp 7.
- File word có lời giải chi tiết 100%.
- Mua trọn bộ sẽ tiết kiệm hơn tải lẻ 50%.
Đánh giá
4.6 / 5(345 )5
4
3
2
1

Trọng Bình
Tài liệu hay
Giúp ích cho tôi rất nhiều

Duy Trần
Tài liệu chuẩn
Rất thích tài liệu bên VJ soạn (bám sát chương trình dạy)
TÀI LIỆU BỘ BÁN CHẠY MÔN Toán Học
Xem thêmTÀI LIỆU BỘ BÁN CHẠY Lớp 7
Xem thêmTài liệu bộ mới nhất

Đây là b n xem th , vui lòng mua tài li u đ xem chi ti t (có l i gi i)ả ử ệ ể ế ờ ả
Ôn t p ch ng 1ậ ươ
Câu 1.
ế â
a ê
Câu 2. ố ữ ỉ
!
" ượ ể ễ ở
" #$%"$ ố ể ụ ố
#$%"$ ể ụ ố
& #$%"$ ể ụ ố
' #(" $%"$ ộ ể â ụ ố
Câu 3. ) "* ""+$"* "* ",+-"*.ẳ ị ẳ ị
/"*0 ,+ ố a ố ữ ỉ
,+ " "*/"*0 ,+ "*1"*/"*0 ,+ố ố ữ ỉ ư a ố ữ ỉ ươ a ố
2#ữ ỉ
,+ 2#ố ố ữ ỉ
,+ "*ố ố ữ ỉ ươ
Câu 4. 3456ố ố ủ ố ữ ỉ
7
6
, ", ,+ầ ượ
4356
7
6
43546
7
6
M i th c m c vui lòng xin liên h hotline: 084 283 45 85ọ ắ ắ ệ

Đây là b n xem th , vui lòng mua tài li u đ xem chi ti t (có l i gi i)ả ử ệ ể ế ờ ả
43546
7
6
8 0"$%" â a ê
Câu 5. 0 0 ắ ế ố ữ ỉ
9 !
! 5 3
: ;"* ".ứ ự ầ
9 !
! 5 3
9 !
5 ! 3
9 !
! 5 3
9 !
! 5 3
Câu 6. ố ữ ỉ
<
/"* #=" "ỏ ê ệ
9 9
5 < 5
,+
9
<
9
<
9
5
Câu 7.) > 0?0@"ế a ủ
5
.
5 93
M i th c m c vui lòng xin liên h hotline: 084 283 45 85ọ ắ ắ ệ

Đây là b n xem th , vui lòng mua tài li u đ xem chi ti t (có l i gi i)ả ử ệ ể ế ờ ả
9
<
97
<
3
3
9
<
Câu 8.A$ #="Bị ỏ
3
9< 5!
,+
96
!C
9
!C
9
!C
96
!C
Câu 9.A$ ị ủ ể ứ
5 9 ! 9 3 9
7
! ! !
"*ằ
9
9
9
<
9
C
M i th c m c vui lòng xin liên h hotline: 084 283 45 85ọ ắ ắ ệ

Đây là b n xem th , vui lòng mua tài li u đ xem chi ti t (có l i gi i)ả ử ệ ể ế ờ ả
9
9
Câu 10.) > 0?0@"ế a ủ
5<
5 .
93 3
4<
5
5
!
Câu 11.) > 0?0@"ế a
9 95
! ! 5
,+
95
5
3
3
6
C!
Câu 12.A$ #="ị ỏ
9
9
95 !
,+
9
!
M i th c m c vui lòng xin liên h hotline: 084 283 45 85ọ ắ ắ ệ

Đây là b n xem th , vui lòng mua tài li u đ xem chi ti t (có l i gi i)ả ử ệ ể ế ờ ả
5
5
5
Câu 13.' DE" (D+# $"*C* ( FE (ộ ướ a ộ ể ờ ầ ể ứ a
95* ( & " DE " ($"* * D+DE ($"*ờ ầ ể ỏ ế ứ â a ờ ứ a
3* "%0 " .ờ ượ ầ ủ ể
C
3
95
97
5!
96
5!
Câu 14. ố ữ ỉ
#
(
#
GD ớ #
#HF (B(ậ .
#
#
M i th c m c vui lòng xin liên h hotline: 084 283 45 85ọ ắ ắ ệ