Bộ sách: Chân trời sáng tạo
Chương 1: SỐ HỮU TỈ
Bài 1: TẬP HỢP CÁC SỐ HỮU TỈ
Câu 1. Số đối của số hữu tỉ 0 là số: A. 0; B. −1; 0 C. ; 1000
D. Đáp án A và C đều đúng. a
Câu 2. Số hữu tỉ là số được viết dưới dạng phân số với: b A. a = 0; b ≠ 0; B. a, b , b ≠ 0; C. a, b ; D. a, b , b ≠ 0. a Câu 3. Cho a, b
, b ≠ 0, x = . Nếu a, b khác dấu thì: b A. x = 0; B. x > 0; C. x < 0; D. Cả B, C đều sai.
Câu 4. Số hữu tỉ x nhỏ hơn số hữu tỉ y nếu trên trục số:
A. Điểm x ở bên trái điểm y;
B. Điểm x ở bên phải điểm y;
C. Điểm x và điểm y khác phía đối với điểm 0;
D. Cả 3 đáp án đều sai.
Câu 5. Số hữu tỉ 3 được biểu diễn bởi: 4
A. Bốn điểm trên trục số;
B. Ba điểm trên trục số;
C. Hai điểm trên trục số;
D. Một điểm duy nhất trên trục số.
Câu 6. Khẳng định nào trong các khẳng định sau là đúng?
A. Số 0 không phải là số hữu tỉ;
B. Số 0 là số hữu tỉ nhưng không phải là số hữu tỉ dương cũng không phải là số hữu tỉ âm;
C. Số 0 là số hữu tỉ âm;
D. Số 0 là số hữu tỉ dương.
Câu 7. Chọn câu sai trong các câu sau: 1
A. Số 2 là số hữu tỉ; 3
B. Mọi số nguyên đều là số hữu tỉ; 1, 2 C. Số là số hữu tỉ; 1,3 a
D. Số hữu tỉ là các số được viết dưới dạng với a, b , b ≠ 0. b
Câu 8. Trong các trường hợp sau trường hợp nào có các số cùng biểu thị một số − hữu tỉ 2 ? 3 −4 A. ; 6 4 B. ; 6 6 C. ; −9
D. Cả A và C đều đúng.
Câu 9. Trong các trường hợp sau, trường hợp nào có các số cùng biểu thị một số hữu tỉ 1 − ? 2
A. – 0,5; B. 0,5; C. 0,35; D. 0,45.
Câu 10. Cách nào đúng trong các cách viết sau: A. − ; B. 0 *; −3 C. ; 7 D. −5 .
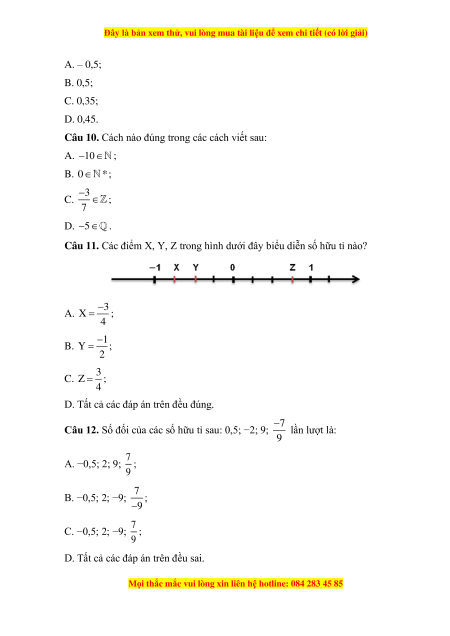
Câu 11. Các điểm X, Y, Z trong hình dưới đây biểu diễn số hữu tỉ nào? 3 − A. X = ; 4 1 − B. Y = ; 2 3 C. Z = ; 4
D. Tất cả các đáp án trên đều đúng. 7 −
Câu 12. Số đối của các số hữu tỉ sau: 0,5; −2; 9; lần lượt là: 9 7 A. −0,5; 2; 9; ; 9 7 B. −0,5; 2; −9; ; − 9 7 C. −0,5; 2; −9; ; 9
D. Tất cả các đáp án trên đều sai.
Câu 13. Điểm A trong hình dưới đây biểu diễn số hữu tỉ nào? 2 A. ; 3 −2 B. ; 3 1 − C. ; 3 D. – 1. − −
Câu 14. Sắp xếp các số hữu tỉ 1 3 4 ; ;
; 0 theo thứ tự tăng dần? 4 2 5 − − A. 1 3 4 ; ; ; 0 ; 4 2 5 3 − 1 − 4 B. ; ; 0; ; 2 4 5 1 − 3 − 4 C. 0; ; ; ; 4 2 5 1 − 3 − 4 D. ; 0; ; . 4 2 5 x −
Câu 15. Số hữu tỉ
không thỏa mãn điều kiện sau 1 x 1 là: 6 2 6 2 1 − A. ; 6 1 B. ; 6 1 C. ; 3 −2 D. ; 3
Bộ trắc nghiệm Toán 7 (Học kì 1) Chân trời sáng tạo
839
420 lượt tải
MUA NGAY ĐỂ XEM TOÀN BỘ TÀI LIỆU
CÁCH MUA:
- B1: Gửi phí vào TK:
1053587071
- NGUYEN VAN DOAN - Ngân hàng Vietcombank (QR) - B2: Nhắn tin tới Zalo VietJack Official ( nhấn vào đây ) để xác nhận thanh toán và tải tài liệu - giáo án
Liên hệ ngay Hotline hỗ trợ: 084 283 45 85
Tài liệu được cập nhật liên tục trong gói này từ nay đến hết tháng 3/2024. Chúng tôi đảm bảo đủ số lượng đề đã cam kết hoặc có thể nhiều hơn, tất cả có BẢN WORD, LỜI GIẢI CHI TIẾT và tải về dễ dàng.
Để tải tài liệu gốc về máy bạn click vào nút Tải Xuống ở trên!
Bộ tài liệu bao gồm: 23 tài liệu lẻ (mua theo bộ tiết kiệm đến 50%)
Thuộc bộ (mua theo bộ để tiết kiệm hơn):
- Tailieugiaovien.com.vn giới thiệu Bộ câu hỏi trắc nghiệm Toán lớp 7 Tập 1 mới nhất nhằm giúp Giáo viên có thêm tài liệu tham khảo Trắc nghiệm môn Toán lớp 7.
- File word có lời giải chi tiết 100%.
- Mua trọn bộ sẽ tiết kiệm hơn tải lẻ 50%.
Đánh giá
4.6 / 5(839 )5
4
3
2
1

Trọng Bình
Tài liệu hay
Giúp ích cho tôi rất nhiều

Duy Trần
Tài liệu chuẩn
Rất thích tài liệu bên VJ soạn (bám sát chương trình dạy)
TÀI LIỆU BỘ BÁN CHẠY MÔN Toán Học
Xem thêmTÀI LIỆU BỘ BÁN CHẠY Lớp 7
Xem thêmTài liệu bộ mới nhất

Đây là bản xem thử, vui lòng mua tài liệu để xem chi tiết (có lời giải)
Mọi thắc mắc vui lòng xin liên hệ hotline: 084 283 45 85
Bộ sách: Chân trời sáng tạo
Chương 1: SỐ HỮU TỈ
Bài 1: TẬP HỢP CÁC SỐ HỮU TỈ
Câu 1. Số đối của số hữu tỉ 0 là số:
A. 0;
B. −1;
C. ;
D. Đáp án A và C đều đúng.
Câu 2. Số hữu tỉ là số được viết dưới dạng phân số
a
b
với:
A. a = 0; b ≠ 0;
B. a, b
, b ≠ 0;
C. a, b
;
D. a, b
, b ≠ 0.
Câu 3. Cho a, b
, b ≠ 0, x =
a
b
. Nếu a, b khác du th:
A. x = 0;
B. x > 0;
C. x < 0;
D. C B, C đều sai.
Câu 4. Số hữu tỉ x nhỏ hơn số hữu tỉ y nếu trên trục số:
A. Điểm x ở bên trái điểm y;
B. Điểm x ở bên phi điểm y;
C. Điểm x và điểm y khác phía đối với điểm 0;
D. C 3 đáp án đều sai.
Câu 5. Số hữu tỉ
3
4
được biểu diễn bởi:
A. Bốn điểm trên trục số;
B. Ba điểm trên trục số;
0
1000

Đây là bản xem thử, vui lòng mua tài liệu để xem chi tiết (có lời giải)
Mọi thắc mắc vui lòng xin liên hệ hotline: 084 283 45 85
C. Hai điểm trên trục số;
D. Một điểm duy nht trên trục số.
Câu 6. Khẳng định nào trong các khẳng định sau là đúng?
A. Số 0 không phi là số hữu tỉ;
B. Số 0 là số hữu tỉ nhưng không phi là số hữu tỉ dương cũng không phi là số
hữu tỉ âm;
C. Số 0 là số hữu tỉ âm;
D. Số 0 là số hữu tỉ dương.
Câu 7. Chọn câu sai trong các câu sau:
A. Số
1
2
3
là số hữu tỉ;
B. Mọi số nguyên đều là số hữu tỉ;
C. Số
1,2
1,3
là số hữu tỉ;
D. Số hữu tỉ là các số được viết dưới dạng
a
b
với a, b
, b ≠ 0.
Câu 8. Trong các trường hợp sau trường hợp nào có các số cùng biểu thị một số
hữu tỉ
2
3
−
?
A.
4
6
−
;
B.
4
6
;
C.
6
9−
;
D. C A và C đều đúng.
Câu 9. Trong các trường hợp sau, trường hợp nào có các số cùng biểu thị một số
hữu tỉ
1
2
−
?

Đây là bản xem thử, vui lòng mua tài liệu để xem chi tiết (có lời giải)
Mọi thắc mắc vui lòng xin liên hệ hotline: 084 283 45 85
A. – 0,5;
B. 0,5;
C. 0,35;
D. 0,45.
Câu 10. Cách nào đúng trong các cách viết sau:
A.
−
;
B.
0*
;
C.
3
7
−
;
D.
5−
.
Câu 11. Các điểm X, Y, Z trong hnh dưới đây biểu diễn số hữu tỉ nào?
A.
3
X
4
−
=
;
B.
1
Y
2
−
=
;
C.
3
Z
4
=
;
D. Tt c các đáp án trên đều đúng.
Câu 12. Số đối của các số hữu tỉ sau: 0,5; −2; 9;
7
9
−
lần lượt là:
A. −0,5; 2; 9;
7
9
;
B. −0,5; 2; −9;
7
9−
;
C. −0,5; 2; −9;
7
9
;
D. Tt c các đáp án trên đều sai.

Đây là bản xem thử, vui lòng mua tài liệu để xem chi tiết (có lời giải)
Mọi thắc mắc vui lòng xin liên hệ hotline: 084 283 45 85
Câu 13. Điểm A trong hnh dưới đây biểu diễn số hữu tỉ nào?
A.
2
3
;
B.
2
3
−
;
C.
1
3
−
;
D. – 1.
Câu 14. Sắp xếp các số hữu tỉ
1 3 4
; ; ; 0
4 2 5
−−
theo thứ tự tăng dần?
A.
1 3 4
; ; ; 0
4 2 5
−−
;
B.
3 1 4
; ; 0;
2 4 5
−−
;
C.
1 3 4
0; ; ;
4 2 5
−−
;
D.
1 3 4
; 0; ;
4 2 5
−−
.
Câu 15. Số hữu tỉ
x
6
không thỏa mãn điều kiện sau
1 x 1
2 6 2
−
là:
A.
1
6
−
;
B.
1
6
;
C.
1
3
;
D.
2
3
−
;

Đây là bản xem thử, vui lòng mua tài liệu để xem chi tiết (có lời giải)
Mọi thắc mắc vui lòng xin liên hệ hotline: 084 283 45 85
LỜI GIẢI CHI TIẾT
Câu 1.
Đáp án đúng là: D
+ Số đối của số hữu tỉ 0 là số 0.
Do đó, đáp án A đúng.
+ Ta có
0
0
1000
=
.
Do đó, đáp án C đúng.
Vậy chọn đáp án D.
Câu 2.
Đáp án đúng là: B
Số hữu tỉ là số được viết dưới dạng phân số
a
b
với a, b
, b ≠ 0.
Câu 3.
Đáp án đúng là: C
Ta có x =
a
b
; a, b
, b ≠ 0; a, b khác du th x < 0.
V số hữu tỉ
a
b
là phép chia số a cho số b mà hai số nguyên a, b khác du nên
khi chia cho nhau luôn ra số âm suy ra x < 0).
Câu 4.
Đáp án đúng là: A
Với hai số hữu tỉ x, y bt k, số hữu tỉ x nhỏ hơn số hữu tỉ y nếu trên trục số
điểm x ở bên trái điểm y.
Câu 5.
Đáp án đúng là: D

Đây là bản xem thử, vui lòng mua tài liệu để xem chi tiết (có lời giải)
Mọi thắc mắc vui lòng xin liên hệ hotline: 084 283 45 85
Trên trục số mỗi số chỉ được biểu diễn bởi một điểm duy nht. Số hữu tỉ
3
4
được
biểu diễn trên trục số như hnh dưới đây:
Câu 6.
Đáp án đúng là: B
Số 0 là số hữu tỉ nhưng không phi là số hữu tỉ dương cũng không phi là số hữu
tỉ âm.
Câu 7.
Đáp án đúng là: C
+ Vì
17
2
33
=
nên
1
2
3
là số hữu tỉ. Do đó, đáp án A đúng.
+ Mọi số nguyên đều là số hữu tỉ. Vì A =
A
1
(Với
A
).
Do đó, đáp án B đúng.
+ Số 1,2 và 1,3 không thuộc tập hợp nên chúng không thỏa mãn điều kiện của
một số hữu tỉ.
Do đó, đáp án C sai.
+ Số hữu tỉ là các số được viết dưới dạng
a
b
với a, b
, b ≠ 0.
Do đó, đáp án D đúng.
Câu 8.
Đáp án đúng là: D
Vì
2 4 6
3 6 9
−−
==
−
nên đáp án A và C đều đúng.
Câu 9.
Đáp án đúng là: A

Đây là bản xem thử, vui lòng mua tài liệu để xem chi tiết (có lời giải)
Mọi thắc mắc vui lòng xin liên hệ hotline: 084 283 45 85
Ta có
15
0,5
2 10
− = − = −
.
Vậy chọn đáp án A.
Câu 10.
Đáp án đúng là: D
Ta có
={0; 1; 2; 3;…} Câu A sai.
*
={1; 2; 3;…} Câu B sai.
={…−3;−2;−1; 0; 1; 2; 3;…} Câu C sai.
Ta có:
5
5
1
−
− =
Câu D đúng.
Câu 11.
Đáp án đúng là: D
Hnh trên chia các đoạn thẳng đơn vị thành 4 phần bằng nhau, ly một đoạn làm
đơn vị mới th đơn vị mới bằng
1
4
đơn vị cũ.
+ Điểm X nằm bên trái điểm 0 và cách điểm 0 một đoạn bằng 3 đơn vị mới.
Do đó
3
X
4
−
=
+ Điểm Y nằm bên trái điểm 0 và cách điểm 0 một đoạn bằng 2 đơn vị mới (Vì
21
42
−−
=
).
Do đó
1
Y
2
−
=
.
+ Điểm Z nằm bên phi điểm 0 và cách điểm 0 một đoạn bằng 3 đơn vị mới.
Do đó
3
Z
4
=
.
Câu 12
Đáp án đúng là: C

Đây là bản xem thử, vui lòng mua tài liệu để xem chi tiết (có lời giải)
Mọi thắc mắc vui lòng xin liên hệ hotline: 084 283 45 85
Hai số hữu tỉ có điểm biểu diễn trên trục số cách đều và nằm về hai phía điểm
gốc O là hai số đối nhau. Số đối của số hữu tỉ x là –x.
Nên số đối của các số hữu tỉ sau: 0,5; −2; 9;
7
9
−
lần lượt là −0,5; 2; −9;
7
9
.
Câu 13.
Đáp án đúng là: B
Hnh trên chia các đoạn thẳng đơn vị thành 3 phần bằng nhau, ly một đoạn làm
đơn vị mới th đơn vị mới bằng
1
3
đơn vị cũ.
Điểm A nằm bên trái điểm 0 và cách điểm 0 một đoạn bằng 2 đơn vị mới.
Do đó điểm A biểu diễn số
2
3
−
.
Câu 14.
Đáp án đúng là: B
+ Ta có:
1
0;
4
−
3
0;
2
−
4
0.
5
+ So sánh
1
4
−
và
3
2
−
Ta có:
36
24
−−
=
Vì
61
44
−−
nên
31
24
−−
.
Do đó
3 1 4
0
2 4 5
−−
.
Vậy thứ tự sắp xếp tăng dần là
3 1 4
; ; 0;
2 4 5
−−
.
Câu 15.
Đáp án đúng là: D
Ta có:
1 x 1
2 6 2
−
nên
3 x 3
6 6 6
−
.

Đây là bản xem thử, vui lòng mua tài liệu để xem chi tiết (có lời giải)
Mọi thắc mắc vui lòng xin liên hệ hotline: 084 283 45 85
Suy ra
x 2 1 1 2
; ; 0; ;
6 6 6 6 6
−−
.
Mà
12
36
=
;
24
36
−−
=
.
Do đó
2
3
−
không thuộc tập hợp các số hữu tỉ
x
6
.
Vậy chọn đáp án D.

Đây là bản xem thử, vui lòng mua tài liệu để xem chi tiết (có lời giải)
Mọi thắc mắc vui lòng xin liên hệ hotline: 084 283 45 85

Đây là bản xem thử, vui lòng mua tài liệu để xem chi tiết (có lời giải)
Mọi thắc mắc vui lòng xin liên hệ hotline: 084 283 45 85