MỤC LỤC
CHỦ ĐỀ ❹. VECTO. . . . . . . . . . . . . . . . . . . . . . . . . . . . . . . . . . . . . . . . . . . . . . . . . . . . . . . . . . . . . . . . 2
⬩PHẦN ❶. TỰ LUẬN. . . . . . . . . . . . . . . . . . . . . . . . . . . . . . . . . . . . . . . . . . . . . . . . . .2
⬩PHẦN ❷. TRẮC NGHIỆM. . . . . . . . . . . . . . . . . . . . . . . . . . . . . . . . . . . . . . . . . . 25
⬩PHẦN ❸. CÂU HỎI TRẮC NGHIỆM ĐÚNG; SAI. . . . . . . . . . . . . . . . . . . . 42
⬩PHẦN ❹. CÂU HỎI TRẢ LỜI NGẮN. . . . . . . . . . . . . . . . . . . . . . . . . . . . . . . . 92 1 CHỦ ĐỀ ❹. VECTO
⬩PHẦN ❶. TỰ LUẬN
Câu 1: Trong mặt phẳng Oxy , cho tam giác OBC vuông tại O , biết rằng trung điểm của cạnh BC là
M 3;4 . Tính độ dài BC . Lời giải
Vì tam giác OBC vuông tại O nên trung tuyến OM có độ dài bằng một nửa độ dài cạnh BC . Mà OM 2 2
3;4 OM 3 4 5 BC 2OM 10 . Đáp số: 10.
Câu 2: Trong mặt phẳng Oxy , cho hình bình hành ABCD biết A2; 1 , B6;
1 , D0;3 . Tính BAC . Lời giải
Gọi I là giao điểm của AC và BD . Suy ra I là trung điểm AC và BD . Do đó I 3;2 và A . cos cos cos , B AI BAC BAI AB AI . A . B AI
Mà AB 4;0 AB 4 , AI 1;
1 AI 2 và A . B AI 4 nên 4 2 cos BAC . 4 2 2 Vậy BAC 45 .
Đáp số: BAC 45
Câu 3: Người ta muốn làm một khung cửa hình chữ nhật ABCD có AB rộng 3 mét, BC dài 4 mét (như hình vẽ).
Biết rằng đoạn BE dài 1 mét và EFGH là hình chữ nhật và BF FC , hỏi độ dài đoạn EF là
bao nhiêu mét? (Làm tròn đến hàng phần trăm.) Lời giải
Đặt hệ trục tọa độ Oxy vào hình chữ nhật ABCD như hình vẽ.
Ta có B0;0 , A0;3 , C4;0 , E 0; 1 . 2
Điểm F thuộc trục Ox , nằm giữa B và C sao cho BF FC nên F x;0 với 2 x 4 .
Điểm G thuộc cạnh CD Ox nằm giữa C và D nên G 4; y với 0 y 3.
Gọi I là giao của EG và FH thì I là trung điểm EG và FH . Do đó 1 OI
OE OG y1 2;
OH 2OI OF 4 x; y
1 hay H 4 x; y 1 . 2 2
Mà H thuộc cạnh AD Oy nên y 1 3 y 2 G 4;2 (thỏa mãn).
Khi đó GF x 4;2 và EF x;
1 . Mà GF EF nên
GF EF x x x 2 2 (t/m) 0
4 2 0 x 2 2 (không t/m). Do đó 2 2
EF BE BF 3,56 . Đáp số: 3,56 mét.
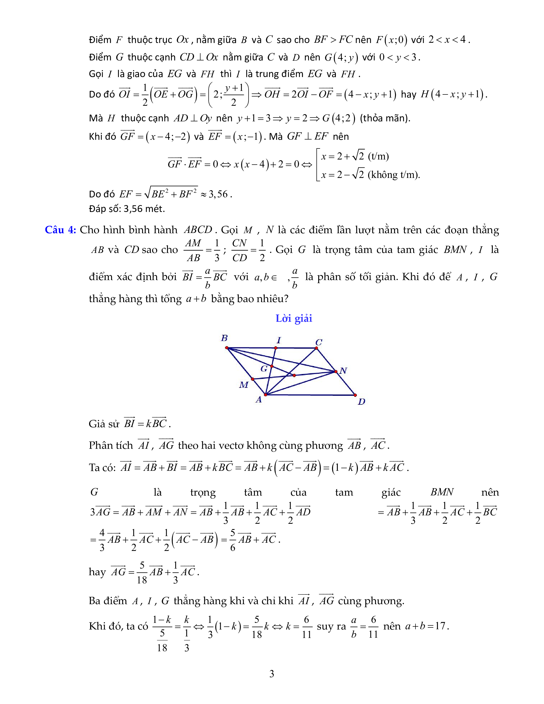
Câu 4: Cho hình bình hành ABCD . Gọi M , N là các điểm lần lượt nằm trên các đoạn thẳng AM CN
AB và CD sao cho 1 ; 1
. Gọi G là trọng tâm của tam giác BMN , I là AB 3 CD 2 điểm xác định bởi a
BI BC với , , a a b
là phân số tối giản. Khi đó để A , I , G b b
thẳng hàng thì tổng a b bằng bao nhiêu? Lời giải
Giả sử BI kBC .
Phân tích AI , AG theo hai vectơ không cùng phương AB , AC .
Ta có: AI AB BI AB kBC AB k AC AB 1k AB k AC . G là trọng tâm của tam giác BMN nên
1 1 1
3AG AB AM AN AB AB AC AD 1 1 1
AB AB AC BC 3 2 2 3 2 2
4 1 1
AB AC AC AB 5 AB AC . 3 2 2 6 hay 5 1 AG AB AC . 18 3
Ba điểm A , I , G thẳng hàng khi và chỉ khi AI , AG cùng phương.
Khi đó, ta có 1 k k 1 k 5 6 1 a a b 5 1 k k suy ra 6 nên 17. 3 18 11 b 11 18 3 3
Câu 5: Một vật đang ở vị trí O chịu hai lực tác dụng ngược chiều nhau là F và F , trong đó độ 1 2
lớn lực F lớn gấp đôi độ lớn lực F . Người ta muốn vật dừng lại nên cần tác dụng vào 2 1
vật hai lực F , F có phương hợp với lực F các góc 30 như hình vẽ, chúng có độ lớn 3 4 1
bằng nhau và bằng 50 3 N . Tìm độ lớn của lực F . 2 Lời giải Ta có: F 2
F . Để vật trở về trạng thái cân bằng thì hợp lực bằng 0 . 2 1
F F F F 0 F 2F F F 0 F F F . 1 2 3 4 1 1 3 4 3 4 1 Đặt F O ,
A F OB, F OC, F OD . 1 2 3 4
Ta có: F F F OC OD OA . Do đó OCAD là hình bình hành. 3 4 1
Mặt khác: OC OD 50 3
và COD 30 30 60 nên OCAD là thoi. Khi đó:
F OA 50 3. 3 150N nên F 2 F 300 N . 1 2 1
Câu 6: Để kéo đường dây điện băng qua một hồ hình chữ nhật ABCD với độ dài AB 200 m ,
AD 180 m , người ta dự định làm 4 cột điện liên tiếp cách đều, cột thứ nhất nằm trên
bờ AB và cách đỉnh A khoảng cách 20 m , cột thứ tư nằm trên bờ CD và cách đỉnh C
khoảng cách 30 m. Tính khoảng cách từ vị trí cột thứ hai đến bờ AB . Lời giải
Chọn hệ tọa độ Oxy sao cho (
A 0;0), B(200;0),C(200;180), D(0;180) . Gọi vị trí các cột
điện được trồng là C ,C ,C ,C . 1 2 3 4 4 x
Chuyên đề bồi dưỡng HSG Toán 10 Vecto (có lời giải)
61
31 lượt tải
MUA NGAY ĐỂ XEM TOÀN BỘ TÀI LIỆU
CÁCH MUA:
- B1: Gửi phí vào TK:
1133836868- CT TNHH DAU TU VA DV GD VIETJACK - Ngân hàng MB (QR) - B2: Nhắn tin tới Zalo VietJack Official ( nhấn vào đây ) để xác nhận thanh toán và tải tài liệu - giáo án
Liên hệ ngay Hotline hỗ trợ: 084 283 45 85
Chúng tôi đảm bảo đủ số lượng đề đã cam kết hoặc có thể nhiều hơn, tất cả có BẢN WORD, LỜI GIẢI CHI TIẾT và tải về dễ dàng.
Để tải tài liệu gốc về máy bạn click vào nút Tải Xuống ở trên!
Thuộc bộ (mua theo bộ để tiết kiệm hơn):
- Tailieugiaovien.com.vn giới thiệu Chuyên đề bài tập bồi dưỡng HSG Toán 10 (có lời giải) bao gồm: 8 Chủ đề với bài tập tự luận, câu hỏi trắc nghiệm đúng sai, câu hỏi trả lời ngắn có lời giải chi tiết nhằm giúp Giáo viên có thêm tài liệu tham khảo Toán lớp 10.
- File word có lời giải chi tiết 100%.
- Mua trọn bộ sẽ tiết kiệm hơn tải lẻ 50%.
Đánh giá
4.6 / 5(61 )5
4
3
2
1
Trọng Bình
Tài liệu hay
Giúp ích cho tôi rất nhiều
Duy Trần
Tài liệu chuẩn
Rất thích tài liệu bên VJ soạn (bám sát chương trình dạy)
