SỞ GIÁO DỤC VÀ ĐÀO TẠO
KỲ THI TUYỂN SINH LỚP 10 THPT
THÀNH PHỐ HỒ CHÍ MINH
Năm học: 2017 – 2018 ĐỀ CHÍNH THỨC MÔN: TOÁN
Thời gian làm bài: 120 phút Câu 1. (2 điểm) a) Giải phương trình: .
b) Một miếng đất hình chữ nhật có chu vi 100 m. Tính chiều dài và chiều rộng của
miếng đất biết rằng 5 lần chiều rộng hơn 2 lần chiều dài là 40 m. Câu 2. (1,5 điểm)
Trong mặt phẳng tọa độ : a) Vẽ đồ thị của hàm số . b) Cho đường thẳng : đi qua điểm
. Tìm tọa độ giao điểm của và . Câu 3. (1,5 điểm)
1) Thu gọn biểu thức sau: .
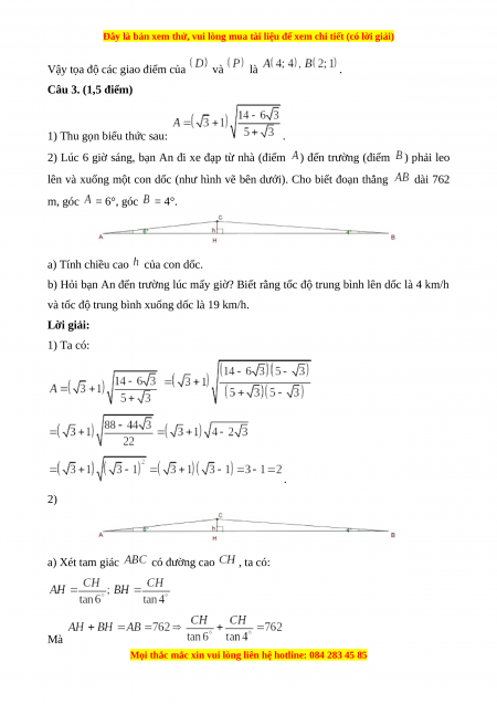
2) Lúc 6 giờ sáng, bạn An đi xe đạp từ nhà (điểm ) đến trường (điểm ) phải leo
lên và xuống một con dốc (như hình vẽ bên dưới). Cho biết đoạn thẳng dài 762 m, góc = 6°, góc = 4°.
a) Tính chiều cao của con dốc.
b) Hỏi bạn An đến trường lúc mấy giờ? Biết rằng tốc độ trung bình lên dốc là 4 km/h
và tốc độ trung bình xuống dốc là 19 km/h. Câu 4. (1,5 điểm)
Cho phương trình (1) ( là ẩn số).
a) Tìm điều kiện của để phương trình (1) có 2 nghiệm phân biệt. b) Định để hai nghiệm
của phương trình (1) thỏa mãn: . Câu 5. (3,5 điểm) Cho tam giác
vuông tại . Đường tròn tâm đường kính cắt các đoạn và
lần lượt tại và . Gọi là hình chiếu của lên ; cắt tại a) Chứng minh: Tứ giác nội tiếp và .
b) Chứng minh: Hai tam giác và
đồng dạng với nhau và là tia phân giác của góc . c) Gọi là trung điểm . Chứng minh: và . d) Gọi là giao điểm và ; là giao điểm và ( khác ) . Chứng minh hai đường thẳng và
cắt nhau tại một điểm nằm trên . -----HẾT-----
ĐÁP ÁN VÀ HƯỚNG DẪN GIẢI Câu 1. (2 điểm) a) Giải phương trình: .
b) Một miếng đất hình chữ nhật có chu vi 100 m. Tính chiều dài và chiều rộng của
miếng đất biết rằng 5 lần chiều rộng hơn 2 lần chiều dài là 40 m. Lời giải: a) Ta có . Tính .
Phương trình có hai nghiệm .
Tập nghiệm của phương trình: . b) Gọi
(m) lần lượt là chiều dài và chiều rộng của miếng đất.
Nửa chu vi miếng đất là 100 : 2 = 50 (m). Khi đó: . Và . Ta có hệ phương trình .
Vậy chiều dài của miếng đất là 30 (m) và chiều rộng là 20 (m). Câu 2. (1,5 điểm)
Trong mặt phẳng tọa độ : a) Vẽ đồ thị của hàm số . b) Cho đường thẳng : đi qua điểm
. Tìm tọa độ giao điểm của và .
Lời giải: a) Vẽ đồ thị hàm số . Tập xác định . Bảng giá trị 0 1 2 1 0 1 Đồ thị b) Đường thẳng : đi qua điểm nên ta có: . Vậy đường thẳng có phương trình .
Phương trình hoành độ giao điểm của và là Ta có:
. Phương trình có hai nghiệm Khi đó, .
Đề chính thức Toán vào 10 TP Hồ Chí Minh năm 2017 - 2018
0.9 K
471 lượt tải
MUA NGAY ĐỂ XEM TOÀN BỘ TÀI LIỆU
CÁCH MUA:
- B1: Gửi phí vào TK:
1053587071
- NGUYEN VAN DOAN - Ngân hàng Vietcombank (QR) - B2: Nhắn tin tới Zalo VietJack Official ( nhấn vào đây ) để xác nhận thanh toán và tải tài liệu - giáo án
Liên hệ ngay Hotline hỗ trợ: 084 283 45 85
Đề thi được cập nhật liên tục trong gói này từ nay đến hết tháng 6/2023. Chúng tôi đảm bảo đủ số lượng đề đã cam kết hoặc có thể nhiều hơn, tất cả có BẢN WORD, LỜI GIẢI CHI TIẾT và tải về dễ dàng.
Để tải tài liệu gốc về máy bạn click vào nút Tải Xuống ở trên!
Thuộc bộ (mua theo bộ để tiết kiệm hơn):
- Tailieugiaovien.com.vn giới thiệu tuyển tập đề thi môn Toán vào 10 TP Hồ Chí Minh mới nhất qua các năm 2022 - 2023 nhằm giúp Giáo viên có thêm tài liệu tham khảo ra đề thi Toán vào 10.
- File word có lời giải chi tiết 100%.
- Mua trọn bộ sẽ tiết kiệm hơn tải lẻ 50%.
Đánh giá
4.6 / 5(942 )5
4
3
2
1

Trọng Bình
Tài liệu hay
Giúp ích cho tôi rất nhiều

Duy Trần
Tài liệu chuẩn
Rất thích tài liệu bên VJ soạn (bám sát chương trình dạy)
TÀI LIỆU BỘ BÁN CHẠY MÔN Toán Học
Xem thêmTÀI LIỆU BỘ BÁN CHẠY Ôn vào 10
Xem thêmTài liệu bộ mới nhất

Đây là bản xem thử, vui lòng mua tài liệu để xem chi tiết (có lời giải)
SỞ GIÁO DỤC VÀ ĐÀO TẠO
THÀNH PHỐ HỒ CHÍ MINH
ĐỀ CHÍNH THỨC
KỲ THI TUYỂN SINH LỚP 10 THPT
Năm học: 2017 – 2018
MÔN: TOÁN
Thời gian làm bài: 120 phút
Câu 1. (2 điểm)
a) Giải phương trình: .
b) Một miếng đất hình chữ nhật có chu vi 100 m. Tính chiều dài và chiều rộng của
miếng đất biết rằng 5 lần chiều rộng hơn 2 lần chiều dài là 40 m.
Câu 2. (1,5 điểm)
Trong mặt phẳng tọa độ :
a) Vẽ đồ thị của hàm số .
b) Cho đường thẳng : đi qua điểm . Tìm tọa độ giao điểm
của và .
Câu 3. (1,5 điểm)
1) Thu gọn biểu thức sau: .
2) Lúc 6 giờ sáng, bạn An đi xe đạp từ nhà (điểm ) đến trường (điểm ) phải leo
lên và xuống một con dốc (như hình vẽ bên dưới). Cho biết đoạn thẳng dài 762
m, góc = 6°, góc = 4°.
a) Tính chiều cao của con dốc.
b) Hỏi bạn An đến trường lúc mấy giờ? Biết rằng tốc độ trung bình lên dốc là 4 km/h
và tốc độ trung bình xuống dốc là 19 km/h.
Câu 4. (1,5 điểm)
Mọi thắc mắc xin vui lòng liên hệ hotline: 084 283 45 85

Đây là bản xem thử, vui lòng mua tài liệu để xem chi tiết (có lời giải)
Cho phương trình (1) ( là ẩn số).
a) Tìm điều kiện của để phương trình (1) có 2 nghiệm phân biệt.
b) Định để hai nghiệm của phương trình (1) thỏa mãn:
.
Câu 5. (3,5 điểm)
Cho tam giác vuông tại . Đường tròn tâm đường kính cắt các đoạn
và lần lượt tại và . Gọi là hình chiếu của lên ; cắt
tại
a) Chứng minh: Tứ giác nội tiếp và .
b) Chứng minh: Hai tam giác và đồng dạng với nhau và là tia phân
giác của góc .
c) Gọi là trung điểm . Chứng minh: và .
d) Gọi là giao điểm và ; là giao điểm và ( khác ) . Chứng
minh hai đường thẳng và cắt nhau tại một điểm nằm trên .
-----HẾT-----
Mọi thắc mắc xin vui lòng liên hệ hotline: 084 283 45 85

Đây là bản xem thử, vui lòng mua tài liệu để xem chi tiết (có lời giải)
ĐÁP ÁN VÀ HƯỚNG DẪN GIẢI
Câu 1. (2 điểm)
a) Giải phương trình: .
b) Một miếng đất hình chữ nhật có chu vi 100 m. Tính chiều dài và chiều rộng của
miếng đất biết rằng 5 lần chiều rộng hơn 2 lần chiều dài là 40 m.
Lời giải:
a) Ta có .
Tính .
Phương trình có hai nghiệm .
Tập nghiệm của phương trình: .
b) Gọi (m) lần lượt là chiều dài và chiều rộng của miếng đất.
Nửa chu vi miếng đất là 100 : 2 = 50 (m).
Khi đó: .
Và . Ta có hệ phương trình
.
Vậy chiều dài của miếng đất là 30 (m) và chiều rộng là 20 (m).
Câu 2. (1,5 điểm)
Trong mặt phẳng tọa độ :
a) Vẽ đồ thị của hàm số .
b) Cho đường thẳng : đi qua điểm . Tìm tọa độ giao điểm
của và .
Mọi thắc mắc xin vui lòng liên hệ hotline: 084 283 45 85

Đây là bản xem thử, vui lòng mua tài liệu để xem chi tiết (có lời giải)
Lời giải:
a) Vẽ đồ thị hàm số .
Tập xác định .
Bảng giá trị
0 1 2
1 0 1
Đồ thị
b) Đường thẳng : đi qua điểm nên ta có:
.
Vậy đường thẳng có phương trình .
Phương trình hoành độ giao điểm của và là
Ta có: . Phương trình có hai nghiệm
Khi đó, .
Mọi thắc mắc xin vui lòng liên hệ hotline: 084 283 45 85

Đây là bản xem thử, vui lòng mua tài liệu để xem chi tiết (có lời giải)
Vậy tọa độ các giao điểm của và là .
Câu 3. (1,5 điểm)
1) Thu gọn biểu thức sau: .
2) Lúc 6 giờ sáng, bạn An đi xe đạp từ nhà (điểm ) đến trường (điểm ) phải leo
lên và xuống một con dốc (như hình vẽ bên dưới). Cho biết đoạn thẳng dài 762
m, góc = 6°, góc = 4°.
a) Tính chiều cao của con dốc.
b) Hỏi bạn An đến trường lúc mấy giờ? Biết rằng tốc độ trung bình lên dốc là 4 km/h
và tốc độ trung bình xuống dốc là 19 km/h.
Lời giải:
1) Ta có:
.
2)
a) Xét tam giác có đường cao , ta có:
Mà
Mọi thắc mắc xin vui lòng liên hệ hotline: 084 283 45 85