ĐỀ KIỂM TRA CUỐI HỌC KÌ 2 NĂM HỌC 2022 – 2023 MÔN: TOÁN LỚP 10
BỘ SÁCH: CÁNH DIỀU
I. PHẦN TRẮC NGHIỆM (7 ĐIỂM)
Câu 1. Trong mặt phẳng tọa độ , cho và . Tọa độ trung điểm của đoạn thẳng là A. ; B. ; C. ; D. .
Câu 2. Trong mặt phẳng tọa độ , cho hai vectơ và . Tích vô hướng bằng A. ; B. ; C. ; D. .
Câu 3. Trong mặt phẳng tọa độ , cho vectơ
. Tọa độ của vectơ là A. ; B. ; C. ; D. .
Câu 4. Trong mặt phẳng tọa độ , cho hai điểm và . Tọa độ của vectơ là A. ; B. ; C. ; D. .
Câu 5. Trong mặt phẳng tọa độ cho bốn điểm , , ,
. Khẳng định nào sau đây là đúng? A. Hai vectơ đối nhau; B. Hai vectơ
cùng phương, ngược hướng; C. Hai vectơ
cùng phương, cùng hướng; D. Hai vectơ không cùng phương.
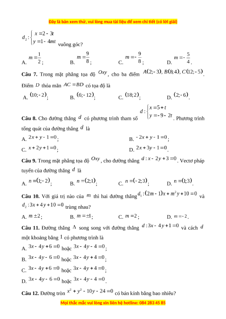
Câu 6. Với giá trị nào của thì hai đường thẳng và
vuông góc? A. ; B. ; C. ; D. .
Câu 7. Trong mặt phẳng tọa độ , cho ba điểm . Điểm thỏa mãn có tọa độ là A. ; B. ; C. ; D. .
Câu 8. Cho đường thẳng có phương trình tham số . Phương trình
tổng quát của đường thẳng là A. ; B. ; C. ; D. .
Câu 9. Trong mặt phẳng tọa độ , cho đường thẳng . Vectơ pháp
tuyến của đường thẳng là A. ; B. ; C. ; D. .
Câu 10. Với giá trị nào của thì hai đường thẳng và trùng nhau? A. ; B. ; C. ; D. .
Câu 11. Đường thẳng song song với đường thẳng và cách
một khoảng bằng có phương trình là A. hoặc ; B. hoặc ; C. hoặc ; D. hoặc .
Câu 12. Đường tròn
có bán kính bằng bao nhiêu?
A. ; B. ; C. ; D. .
Câu 13. Viết phương trình tiếp tuyến của đường tròn ,
biết tiếp tuyến vuông góc với đường thẳng . A. ; B. hoặc ; C. hoặc ; D. hoặc .
Câu 14. Phương trình đường tròn có tâm và bán kính là A. ; B. ; C. ; D. .
Câu 15. Minh cần mua một mảnh vật liệu hình đa giác nội tiếp elip tâm
có độ dài trục lớn và trục nhỏ lần lượt là và
. Đa giác có hai trục đối xứng là
các trục đối xứng của elip và góc
. Minh cần bao nhiêu tiền để mua biết giá của vật liệu đồng trên
(làm tròn đến hàng nghìn). A. ; B. ; C. ; D. .
Câu 16. Cho Elip có phương trình
. Hỏi diện tích hình chữ
nhật cơ sở ngoại tiếp (như hình vẽ) là A. ; B. ; C. ; D. .
Câu 17. Cho phương trình . Điều kiện của để là elip là A. ; B. ; C. ; D. .
Câu 18. Cho đa giác đều đỉnh, và
. Biết rằng đa giác đã cho có
đường chéo khi đó giá trị của là A. ; B. ; C. ; D. .
Câu 19. Từ các chữ số
lập được bao nhiêu số có ba chữ số đôi một
khác nhau, chia hết cho và ? A. ; B. ; C. ; D. .
Câu 20. Có kiểu mặt đồng hồ đeo tay và kiểu dây. Hỏi có bao nhiêu cách chọn
một chiếc đồng hồ gồm một mặt và một dây? A. ; B. ; C. ; D. .
Câu 21. Số hạng không chứa trong khai triển nhị thức Newton của là A. ; B. ; C. ; D. .
Câu 22. Gọi là số nguyên dương thỏa mãn . Hệ số của trong khai
triển nhị thức Niu-tơn của
thuộc khoảng nào dưới đây?
Đề thi cuối học kì 2 Toán 10 Cánh diều có đáp án (Đề 4)
1.3 K
641 lượt tải
MUA NGAY ĐỂ XEM TOÀN BỘ TÀI LIỆU
CÁCH MUA:
- B1: Gửi phí vào TK:
1133836868- CT TNHH DAU TU VA DV GD VIETJACK - Ngân hàng MB (QR) - B2: Nhắn tin tới Zalo VietJack Official ( nhấn vào đây ) để xác nhận thanh toán và tải tài liệu - giáo án
Liên hệ ngay Hotline hỗ trợ: 084 283 45 85
Chúng tôi đảm bảo đủ số lượng đề đã cam kết hoặc có thể nhiều hơn, tất cả có BẢN WORD, LỜI GIẢI CHI TIẾT và tải về dễ dàng.
Để tải tài liệu gốc về máy bạn click vào nút Tải Xuống ở trên!
Thuộc bộ (mua theo bộ để tiết kiệm hơn):
- Tailieugiaovien.com.vn giới thiệu bộ 10 đề cuối học kì 2 môn Toán 10 bộ Cánh diều mới nhất năm 2023 - 2024 nhằm giúp Giáo viên có thêm tài liệu tham khảo ra đề thi Toán lớp 10.
- File word có lời giải chi tiết 100%.
- Mua trọn bộ sẽ tiết kiệm hơn tải lẻ 50%
Đánh giá
4.6 / 5(1282 )5
4
3
2
1
Trọng Bình
Tài liệu hay
Giúp ích cho tôi rất nhiều
Duy Trần
Tài liệu chuẩn
Rất thích tài liệu bên VJ soạn (bám sát chương trình dạy)
