TRƯỜNG THCS MARIE CURIE KIỂM TRA HỌC KÌ I
NĂM HỌC 2023 – 2024 MÔN: TOÁN 8
Thời gian làm bài: 90 phút
I. TRẮC NGHIỆM (2,0 điểm) Viết lại chữ cái in hoa đứng trước kết quả đúng.
Câu 1. Điều kiện để giá trị phân thức xác định là: A. . B. . C. . D. .
Câu 2. Giá trị của biểu thức tại là: A. . B. . C. . D. .
Câu 3. Kết quả của phép nhân bằng: A. . B. . C. . D. .
Câu 4. Rút gọn phân thức ta được phân thức: A. . B. . C. . D. . Câu 5. Cho hàm số . Tính . A. . B. . C. . D. .
Câu 6. Trong các hàm số sau, hàm số bậc nhất là: A. . B. . C. . D. . Câu 7. Tứ giác là hình bình hành nếu: A. . B. . C. . D. .
Câu 8. Hình nào sau đây là hình vuông?
A. Hình thang cân có một góc vuông.
B. Hình chữ nhật có hai cạnh kề bằng nhau.
C. Tứ giác có góc vuông.
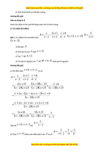
D. Hình bình hành có một góc vuông.
II. TỰ LUẬN (8,0 điểm)
Bài 1. (2,5 điểm) Cho hai biểu thức a) Rút gọn .
b) Tính giá trị của biết . c) Tìm để .
d) Tìm giá trị nguyên của để nhận giá trị nguyên.
Bài 2. (2,0 điểm) Tìm biết: a) c) b) d)
Bài 3. (3,0 điểm) Cho tam giác vuông tại , đường cao là trung điểm Vẽ song song với thuộc song song với thuộc a) Cho cm, cm, tính b) Chứng minh tứ giác là hình chữ nhật. c) Chứng minh rằng là hình bình hành. d) Trên tia đối lấy sao cho trên tia đối lấy sao cho Chứng minh ba điểm thẳng hàng.
Bài 4. (0,5 điểm)
a) Tìm giá trị nhỏ nhất của: . b) Cho ba số
đôi một khác nhau. Chứng minh rằng giá trị biểu thức không phụ thuộc vào . -----HẾT-----
TRƯỜNG THCS HƯỚNG DẪN GIẢI MARIE CURIE
KIỂM TRA HỌC KÌ I NĂM HỌC 2023 – 2024 MÔN: TOÁN 8
Thời gian làm bài: 90 phút
I. TRẮC NGHIỆM (2,0 điểm)
Bảng đáp án: Câu 1 2 3 4 5 6 7 8 Đáp án C B A D D B D B
Hướng dẫn giải chi tiết
Câu 1. Điều kiện để giá trị phân thức xác định là: A. . B. . C. . D. . Hướng dẫn giải Đáp án đúng là: C
Điều kiện xác định của biểu thức là , suy ra .
Câu 2. Giá trị của biểu thức tại là: A. . B. . C. . D. . Hướng dẫn giải Đáp án đúng là: B Ta có: . Thay
vào biểu thức trên, ta được: .
Câu 3. Kết quả của phép nhân bằng: A. . B. . C. . D. . Hướng dẫn giải Đáp án đúng là: A Ta có .
Câu 4. Rút gọn phân thức ta được phân thức:
A. . B. . C. . D. . Hướng dẫn giải Đáp án đúng là: D Ta có . Câu 5. Cho hàm số . Tính . A. . B. . C. . D. . Hướng dẫn giải Đáp án đúng là: D Ta có .
Câu 6. Trong các hàm số sau, hàm số bậc nhất là: A. . B. . C. . D. . Hướng dẫn giải Đáp án đúng là: B
Hàm số bậc nhất là hàm số có dạng . Hàm số có và
nên là hàm số bậc nhất. Câu 7. Tứ giác là hình bình hành nếu: A. . B. . C. . D. . Hướng dẫn giải Đáp án đúng là: D Tứ giác có
nên là hình bình hành (hai cặp cạnh đối song song).
Câu 8. Hình nào sau đây là hình vuông?
A. Hình thang cân có một góc vuông.
B. Hình chữ nhật có hai cạnh kề bằng nhau. C. Tứ giác có góc vuông.
Đề thi cuối kì 1 Toán 8 Cánh diều Trường THCS Marie Curie Hà Nội
452
226 lượt tải
MUA NGAY ĐỂ XEM TOÀN BỘ TÀI LIỆU
CÁCH MUA:
- B1: Gửi phí vào TK:
1053587071
- NGUYEN VAN DOAN - Ngân hàng Vietcombank (QR) - B2: Nhắn tin tới Zalo VietJack Official ( nhấn vào đây ) để xác nhận thanh toán và tải tài liệu - giáo án
Liên hệ ngay Hotline hỗ trợ: 084 283 45 85
Chúng tôi đảm bảo đủ số lượng đề đã cam kết hoặc có thể nhiều hơn, tất cả có BẢN WORD, LỜI GIẢI CHI TIẾT và tải về dễ dàng.
Để tải tài liệu gốc về máy bạn click vào nút Tải Xuống ở trên!
Thuộc bộ (mua theo bộ để tiết kiệm hơn):
- Tailieugiaovien.com.vn giới thiệu bộ đề cuối kì 1 gồm đầy đủ ma trận và lời giải chi tiết môn Toán 8 Cánh diều mới nhất năm 2024 nhằm giúp Giáo viên có thêm tài liệu tham khảo ra đề thi Toán lớp 8.
- File word có lời giải chi tiết 100%.
- Mua trọn bộ sẽ tiết kiệm hơn tải lẻ 50%.
Đánh giá
4.6 / 5(452 )5
4
3
2
1

Trọng Bình
Tài liệu hay
Giúp ích cho tôi rất nhiều

Duy Trần
Tài liệu chuẩn
Rất thích tài liệu bên VJ soạn (bám sát chương trình dạy)