ĐỀ KIỂM TRA HỌC KÌ I Môn Toán Lớp 8 Năm học 2023 – 2024
TRƯỜNG THCS & THPT LƯƠNG THẾ VINH
Thời gian làm bài: 90 phút
I. PHẦN TRẮC NGHIỆM (2,0 điểm)
Em hãy ghi lại chữ cái đứng trước đáp án đúng vào bài làm.
Câu 1. Kết quả thu gọn của biểu thức là A. . B. . C. . D. .
Câu 2. Phân tích đa thức
thành nhân tử được kết quả là A. . B. . C. . D. .
Câu 3. Giá trị nhỏ nhất của biểu thức là A. . B. . C. . D. .
Câu 4. Có bao nhiêu giá trị của thỏa mãn ? A. . B. . C. . D. .
Câu 5. Biểu đồ bên biểu diễn kết quả khảo sát nơi học sinh lớp muốn đến vào dịp
nghỉ hè. Biết rằng mỗi học sinh đều tham gia khảo sát và mỗi bạn chỉ chọn một địa
điểm. Khẳng định nào sau đây là đúng?
Vườn bách Công viên Nhà sách thú Vùng quê A. Lớp có nhiều hơn học sinh.
B. Số học sinh thích đi vườn bách thú và số học sinh thích đi vùng quê là bằng nhau. C. Học sinh lớp
thích đi công viên hơn đi nhà sách. D. Có
học sinh thích đi nhà sách.
Câu 6. Chọn khẳng định đúng:
A. Hình chữ nhật có hai đường chéo bằng nhau là hình vuông.
B. Hình bình hành có hai cạnh kề bằng nhau là hình vuông.
C. Hình thoi có hai đường chéo bằng nhau là hình vuông.
D. Tứ giác có bốn cạnh bằng nhau là hình vuông.
Câu 7. Cho hình vẽ. Biết
Khẳng định P nào sau đây là đúng? F E A. . B. . C. . D. . M N
Câu 8. Cho hình vẽ. Biết là tia phân giác của A , , , , . Khi đó 4 giá trị của là 3 A. . B. . B 2 x D C C. . D. .
II. PHẦN TỰ LUẬN (8,0 điểm)
Bài 1. (2,0 điểm) Phân tích các đa thức sau thành nhân tử: a) . b) .
c) .
Bài 2. (1,0 điểm) Tìm , biết a) ; b) .
Bài 3. (1,0 điểm) Biểu đồ bên
biểu diễn điểm kiểm tra giữa học
kì I các môn của bạn Tiến và Mai. Lập bảng thống kê. a)
b) Vẽ biểu đồ đoạn thẳng
biểu diễn điểm kiểm tra
giữa học kì I các môn của bạn Mai.
Bài 4. (3,5 điểm)
1) Để đo chiều cao
của một tòa nhà, người ta lấy các điểm như hình 1. Biết
Tính chiều cao của tòa nhà đó. 2) Cho vuông tại có , đường cao Gọi là trung điểm Kẻ và với . a) Chứng minh . b) Gọi là giao điểm của và . Tia phân giác của cắt tại Chứng minh: và vuông tại . c) Đường thẳng qua vuông góc với cắt tại , cắt tại . Chứng minh .
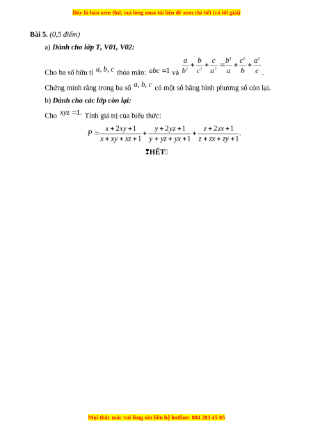
Bài 5. (0,5 điểm)
a) Dành cho lớp T, V01, V02: Cho ba số hữu tỉ thỏa mãn: và .
Chứng minh rằng trong ba số
có một số bằng bình phương số còn lại.
b) Dành cho các lớp còn lại: Cho
Tính giá trị của biểu thức: HẾT
Đề thi cuối kì 1 Toán 8 Hà Nội trường THCS Lương Thế Vinh
0.9 K
473 lượt tải
MUA NGAY ĐỂ XEM TOÀN BỘ TÀI LIỆU
CÁCH MUA:
- B1: Gửi phí vào TK:
1053587071
- NGUYEN VAN DOAN - Ngân hàng Vietcombank (QR) - B2: Nhắn tin tới Zalo VietJack Official ( nhấn vào đây ) để xác nhận thanh toán và tải tài liệu - giáo án
Liên hệ ngay Hotline hỗ trợ: 084 283 45 85
Chúng tôi đảm bảo đủ số lượng đề đã cam kết hoặc có thể nhiều hơn, tất cả có BẢN WORD, LỜI GIẢI CHI TIẾT và tải về dễ dàng.
Để tải tài liệu gốc về máy bạn click vào nút Tải Xuống ở trên!
Thuộc bộ (mua theo bộ để tiết kiệm hơn):
- Tailieugiaovien.com.vn giới thiệu bộ 10 đề cuối kì 1 gồm đầy đủ lời giải chi tiết Toán 8 Hà Nội mới nhất năm 2023-2024 nhằm giúp Giáo viên có thêm tài liệu tham khảo ra đề thi Toán lớp 8.
- File word có lời giải chi tiết 100%.
- Mua trọn bộ sẽ tiết kiệm hơn tải lẻ 50%.
Đánh giá
4.6 / 5(946 )5
4
3
2
1

Trọng Bình
Tài liệu hay
Giúp ích cho tôi rất nhiều

Duy Trần
Tài liệu chuẩn
Rất thích tài liệu bên VJ soạn (bám sát chương trình dạy)