PHÒNG GD – ĐT QUẬN HOÀN KIẾM
ĐỀ KIỂM TRA HỌC KỲ I
TRƯỜNG THCS THANH QUAN MÔN: TOÁN 8 ĐỀ SỐ 2
Năm học: 2023 – 2024
Ngày: 27/12/2023 – Thời gian: 90 phút
(Không kể thời gian phát đề)
Bài 1. (1,5 điểm) Tìm biết: a) b) c)
Bài 2. (2,0 điểm) Thực hiện phép tính: a) b)
Bài 3. (2,0 điểm) Cho hai biểu thức: với
a) Tính giá trị biểu thức biết b) Chứng minh:
c) Tìm nguyên để biểu thức đạt giá trị nguyên.
Bài 4. (1,0 điểm) Hiện tại bạn An để dành được
đồng. Bạn An đang có ý
định mua một chiếc xe đạp trị giá
đồng. Để thực hiện được điều trên, bạn
An đã lên kế hoạch hằng ngày đều tiết kiệm
đồng. Gọi (đồng) là số tiền
bạn An tiết kiệm được sau ngày.
a) Viết công thức biểu thị theo
b) Hỏi sau bao nhiêu ngày kể từ ngày bắt đầu tiết kiệm thì bạn An mua được chiếc xe đạp đó?
Bài 5. (3,0 điểm) Cho vuông tại
với là trung điểm của Từ kẻ vuông góc với vuông góc với a) Chứng minh tứ giác là hình chữ nhật.
b) Lấy điểm thuộc tia đối tia sao cho Chứng minh: và tứ giác là hình bình hành. c) Gọi
lần lượt là giao điểm của với Tính
Bài 6. (0,5 điểm) Cho và
Tính giá trị của biểu thức -----HẾT-----
PHÒNG GD – ĐT QUẬN HOÀN KIẾM HƯỚNG DẪN GIẢI
TRƯỜNG THCS THANH QUAN
ĐỀ KIỂM TRA HỌC KỲ I ĐỀ SỐ 2 MÔN: TOÁN 8
Năm học: 2023 – 2024
Ngày: 27/12/2023
Bài 1. (1,5 điểm) Tìm biết: a) b) c) Hướng dẫn giải a) b) c) hoặc hoặc hoặc hoặc Vậy Vậy Vậy
Bài 2. (2,0 điểm) Thực hiện phép tính: a) b) Hướng dẫn giải a) b)
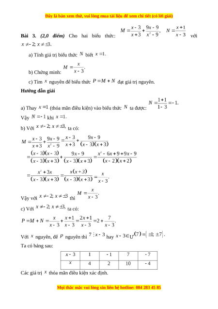
Bài 3. (2,0 điểm) Cho hai biểu thức: với
a) Tính giá trị biểu thức biết b) Chứng minh:
c) Tìm nguyên để biểu thức đạt giá trị nguyên. Hướng dẫn giải a) Thay
(thỏa mãn điều kiện) vào biểu thức ta được: Vậy khi b) Với ta có: Vậy với thì c) Với ta có:
Với nguyên, để nguyên thì hay Ư Ta có bảng sau:
Các giá trị thỏa mãn điều kiện xác định.
Đề thi cuối kì 1 Toán 8 Hà Nội trường THCS Thanh Quan Đề 2
380
190 lượt tải
MUA NGAY ĐỂ XEM TOÀN BỘ TÀI LIỆU
CÁCH MUA:
- B1: Gửi phí vào TK:
1053587071
- NGUYEN VAN DOAN - Ngân hàng Vietcombank (QR) - B2: Nhắn tin tới Zalo VietJack Official ( nhấn vào đây ) để xác nhận thanh toán và tải tài liệu - giáo án
Liên hệ ngay Hotline hỗ trợ: 084 283 45 85
Chúng tôi đảm bảo đủ số lượng đề đã cam kết hoặc có thể nhiều hơn, tất cả có BẢN WORD, LỜI GIẢI CHI TIẾT và tải về dễ dàng.
Để tải tài liệu gốc về máy bạn click vào nút Tải Xuống ở trên!
Thuộc bộ (mua theo bộ để tiết kiệm hơn):
- Tailieugiaovien.com.vn giới thiệu bộ 10 đề cuối kì 1 gồm đầy đủ lời giải chi tiết Toán 8 Hà Nội mới nhất năm 2023-2024 nhằm giúp Giáo viên có thêm tài liệu tham khảo ra đề thi Toán lớp 8.
- File word có lời giải chi tiết 100%.
- Mua trọn bộ sẽ tiết kiệm hơn tải lẻ 50%.
Đánh giá
4.6 / 5(380 )5
4
3
2
1

Trọng Bình
Tài liệu hay
Giúp ích cho tôi rất nhiều

Duy Trần
Tài liệu chuẩn
Rất thích tài liệu bên VJ soạn (bám sát chương trình dạy)