SỞ GIÁO DỤC VÀ ĐÀO TẠO
ĐỀ KIỂM TRA CUỐI HỌC KÌ 1 BẮC NINH
NĂM HỌC 2023 – 2024 MÔN: Toán – Lớp 8
Thời gian làm bài: 90 phút (không kể thời gian giao đề)
I. PHẦN TRẮC NGHIỆM (3,0 điểm) Câu 1. Đa thức   có bao nhiêu hạng tử? A. . B. . C. . D. . Câu 2. Đơn thức   có: A. Hệ số  , bậc . B. Hệ số  , bậc . C. Hệ số  , bậc . D. Hệ số  , bậc . 
Câu 3. Để biểu thức 
 là bình phương của một hiệu thì giá trị của là: A. . B.  . C. . D.  .
Câu 4. Với câu hỏi: Trong đợt thi đua chào mừng 20/11 bạn được bao nhiêu hoa điểm tốt? Kết quả 
. Dãy dữ liệu trên thuộc loại nào?
A. Dữ liệu là số liệu rời rạc.
B. Dữ liệu là số liệu liên tục.
C. Dữ liệu không là số, không thể sắp thứ tự.
D. Dữ liệu không là số, có thể sắp thứ tự. Câu 5. Cho tam giác   có   là tia phân giác của   thì: A.  . B.  . C.  . D.  .
Câu 6. Trong hình vẽ bên, giá trị của là: A A.  . 5 D E B.  . C. . 2x-1 B C D.  .
II. PHẦN TỰ LUẬN (7,0 điểm)
Câu 7. (2,0 điểm)
a) Khai triển hằng đẳng thức:  . b) Rút gọn biểu thức:  .
c) Tính nhanh giá trị biểu thức   tại  . d) Tìm , biết  .
Câu 8. (1,5 điểm) Phân tích đa thức thành nhân tử: a)  . b)  . c)  .
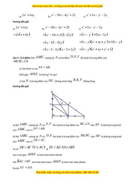
Câu 9. (3,0 điểm) Cho   vuông tại có ba điểm 
 lần lượt là trung điểm của  a) Giải thích vì sao    b)Tứ giác   là hình gì? Vì sao? c) Gọi   là trung điểm của  . Chứng minh rằng   thẳng hàng.
Câu 10. (0,5 điểm) Bạn Hải làm một khung tranh gỗ để trang trí góc học tập có  M
dạng như hình vẽ, biết thanh   và   song song với nhau, thanh   dài   thanh   dài   Đầu của thanh   đặt trên thanh    cách điểm một khoảng 
 Hỏi bạn Hải phải cắt thanh   dài bao  nhiêu cm? A C B D
  HẾT 
SỞ GIÁO DỤC VÀ ĐÀO TẠO
HƯỚNG DẪN GIẢI ĐỀ KIỂM TRA CUỐI HỌC KÌ 1 BẮC NINH
NĂM HỌC 2023 – 2024 MÔN: Toán – Lớp 8
I. PHẦN TRẮC NGHIỆM (3,0 điểm) Câu 1 2 3 4 5 6 Đáp án B C D A C A
II. PHẦN TỰ LUẬN (7,0 điểm)
Câu 7. (2,0 điểm)
a) Khai triển hằng đẳng thức:  . b) Rút gọn biểu thức:  .
c) Tính nhanh giá trị biểu thức   tại  . d) Tìm , biết  . Hướng dẫn giải a)  . b)  . c) Ta có:  Thay 
 vào biểu thức trên ta được:  . d)  Suy ra   hoặc  Do đó   hoặc  Vậy  .
Câu 8. (1,5 điểm) Phân tích đa thức thành nhân tử:
 
Đề thi cuối kì 1 Toán 8 Kết nối tri thức Sở GD&ĐT Tỉnh Bắc Ninh
                                                                
                                    
                                    
                                        
                                        
                                        
                                        
                                        
                                    
                                    695 
                                
                                
                                 348 lượt tải
                            
                            
                            
                        
                            MUA NGAY ĐỂ XEM TOÀN BỘ TÀI LIỆU
                        
                        CÁCH MUA:
- B1: Gửi phí vào TK: 1053587071- NGUYEN VAN DOAN - Ngân hàng Vietcombank (QR)
- B2: Nhắn tin tới Zalo VietJack Official ( nhấn vào đây ) để xác nhận thanh toán và tải tài liệu - giáo án
Liên hệ ngay Hotline hỗ trợ: 084 283 45 85
Chúng tôi đảm bảo đủ số lượng đề đã cam kết hoặc có thể nhiều hơn, tất cả có BẢN WORD, LỜI GIẢI CHI TIẾT và tải về dễ dàng.
Để tải tài liệu gốc về máy bạn click vào nút Tải Xuống ở trên!
Thuộc bộ (mua theo bộ để tiết kiệm hơn):
- Tailieugiaovien.com.vn giới thiệu bộ đề cuối kì 1 gồm đầy đủ ma trận và lời giải chi tiết môn Toán 8 Kết nối tri thức mới nhất năm 2024 nhằm giúp Giáo viên có thêm tài liệu tham khảo ra đề thi Toán lớp 8.
- File word có lời giải chi tiết 100%.
- Mua trọn bộ sẽ tiết kiệm hơn tải lẻ 50%.
Đánh giá
4.6 / 5(695 )5
                                            4
                                            3
                                            2
                                            1
                                             
                                        Trọng Bình
                                                
                                                
                                                
                                                
                                                
                                                Tài liệu hay
                                            
                                            
                                            Giúp ích cho tôi rất nhiều
 
                                        Duy Trần
                                                
                                                
                                                
                                                
                                                
                                                Tài liệu chuẩn
                                            
                                            
                                            Rất thích tài liệu bên VJ soạn (bám sát chương trình dạy)
 
                                             
                                             
                                             
                                             
                                            
 
                        
 Nhắn tin Zalo
 Nhắn tin Zalo