PHÒNG GD&ĐT BÌNH GIANG
ĐỀ KIỂM TRA GIỮA HỌC KÌ I NĂM HỌC 2022 - 2023 ĐỀ CHÍNH THỨC MÔN: TOÁN - LỚP 7
Thời gian làm bài: 90 phút (Đề bài gồm 01 trang)
Câu 1 (2 điểm). Thực hiện phép tính: 1) 2) 3) 4)
Câu 2 (3 điểm). Tìm , biết: 1) 2) 3) 4) Câu
3 (1,0 điểm). Lớp
có 42 bạn thực hiện thu gom giấy vụn làm kế hoạch nhỏ 2,5
kg/ học sinh. Nhưng khi thực hiện, lớp
đã thu gom vượt chỉ tiêu là . Hỏi lớp
đã thu gom được tổng cộng bao nhiêu kilôgam giấy vụn.
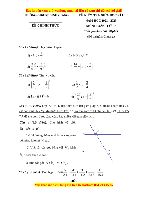
Câu 4 (3,0 điểm). Cho hình vẽ biết: c . M a 1
1) Hai đường thẳng a và b có song song 4 3 2 với nhau không? Vì sao?
2) Viết tên các góc bằng với khác A b 2 1 ? Giải thích vì sao? 3 4 3) Tính các góc ; ; ; ?
Câu 5 (1,0 điểm). Tính hợp lí: .
-------------- HẾT --------------
PHÒNG GD&ĐT BÌNH GIANG
HƯỚNG DẪN CHẤM KIỂM TRA GIỮA KỲ I NĂM HỌC 2022 - 2023 ĐỀ 1 MÔN: TOÁN - LỚP 7
(Hướng dẫn chấm gồm 03 trang) Câu Đáp án Điểm 1) 0,25 0,25 2) = (-0,25.4)4 0,25 = (-1)4 = 1 0,25 Câu 1 3) 0,25 (2 điểm) 0,25 4) 0,25 0,25 Câu 2 1) (3 điểm) 0,25 0,25 0,25 2) 0,25
0,25 0,25 3) hoặc 0,25 hoặc 0,25 hoặc 0,25 4) 0,25 0,25 0,25
Số kg giấy vụn theo kế hoạch lớp 7A phải thu gom là: 0,25 (kg) Câu 3
Số kg giấy vụn mà lớp 7A thu gom vượt mức so với kế hoạch là: 0,25 (1 điểm) (kg)
Số kg giấy vụn theo thực tế lớp 7A thu gom được là: 0,5 (kg) c M a 4 1 3 2 Câu 4 A b (3 điểm) 2 1 3 4 1) Vì = ( ) 0,25 Mà ; ở vị trí so le trong 0,25
Đề thi giữa kì 1 Toán 7 Kết nối tri thức Phòng GD&ĐT Bình Giang - HD
384
192 lượt tải
MUA NGAY ĐỂ XEM TOÀN BỘ TÀI LIỆU
CÁCH MUA:
- B1: Gửi phí vào TK:
1133836868- CT TNHH DAU TU VA DV GD VIETJACK - Ngân hàng MB (QR) - B2: Nhắn tin tới Zalo VietJack Official ( nhấn vào đây ) để xác nhận thanh toán và tải tài liệu - giáo án
Liên hệ ngay Hotline hỗ trợ: 084 283 45 85
Chúng tôi đảm bảo đủ số lượng đề đã cam kết hoặc có thể nhiều hơn, tất cả có BẢN WORD, LỜI GIẢI CHI TIẾT và tải về dễ dàng.
Để tải tài liệu gốc về máy bạn click vào nút Tải Xuống ở trên!
Thuộc bộ (mua theo bộ để tiết kiệm hơn):
- Tailieugiaovien.com.vn giới thiệu bộ đề giữa kì 1 Toán 7 Kết nối tri thức mới nhất nhằm giúp Giáo viên có thêm tài liệu tham khảo ra đề thi Toán lớp 7.
- File word có lời giải chi tiết 100%.
- Mua trọn bộ sẽ tiết kiệm hơn tải lẻ 50%.
Đánh giá
4.6 / 5(384 )5
4
3
2
1
Trọng Bình
Tài liệu hay
Giúp ích cho tôi rất nhiều
Duy Trần
Tài liệu chuẩn
Rất thích tài liệu bên VJ soạn (bám sát chương trình dạy)
