TRƯỜNG TH&THCS TÂY HÀ NỘI
ĐỀ KIỂM TRA GIỮA HỌC KÌ 1 Năm học 2022-2023 MÔN: TOÁN 7 ĐỀ CHÍNH THỨC
Thời gian làm bài: 90 phút Ngày thi: 19/10/ 2022 (Đề gồm 02 trang)
Họ và tên: ………………………………………………………………….. Lớp:……….
I. TRẮC NGHIỆM (3,0 điểm): Chọn đáp án đúng và viết vào giấy thi (Ví dụ 1A, 2B, 3C, …)
Câu 1. Kết quả của phép tính là A. B. C. D.
Câu 2. Phân số có thể viết dưới dạng số thập phân vô hạn tuần hoàn là A. B. C. . D.
Câu 3. Giá trị thoả mãn là A. B. C.
D. Không có giá trị thỏa mãn.
Câu 4. Khẳng định nào sau đây là sai?
A. Góc tạo bởi hai tia phân giác của hai góc kề bù là một góc vuông.
B. Hai góc bằng nhau thì đối đỉnh.
C. Hai đường thẳng phân biệt cùng vuông góc với đường thẳng thứ ba thì song song với nhau.
D. Hai đường thẳng song song là hai đường thẳng phân biệt không có điểm chung.
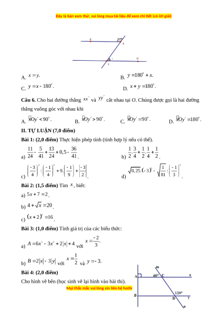
Câu 5. Cho hình vẽ biết
khi đó khẳng định nào sau đây là đúng?
A. B. C. D.
Câu 6. Cho hai đường thẳng và
cắt nhau tại O. Chúng được gọi là hai đường
thẳng vuông góc với nhau khi A. B. C. D.
II. TỰ LUẬN (7,0 điểm)
Bài 1: (2,0 điểm) Thực hiện phép tính (tính hợp lý nếu có thể). a) . b) . c) . d) .
Bài 2: (1,5 điểm) Tìm , biết: a) . b) . c) .
Bài 3: (1,0 điểm) Tính giá trị của các biểu thức: a) với b) với và Bài 4: (2,0 điểm)
Cho hình vẽ bên (học sinh vẽ lại hình vào bài thi).
a) Tính số đo góc . b) Chứng tỏ hai tia và song song. c) Chứng tỏ vuông góc với .
Bài 5: (0,5 điểm) Cho biết . Tính
--------------------------- Hết --------------------------
Cán bộ coi thi không giải thích gì thêm!
HƯỚNG DẪN CHẤM
I. PHẦN TRẮC NGHIỆM (2 điểm) (Mỗi câu 0,5 điểm) Câu 1 2 3 4 5 6 Đáp án C A D B D C
II. PHẦN TỰ LUẬN (8 điểm) Câu Nội dung Điểm a 0,5 . b 0,5 . Bài 1 (2đ) c 0,5 d 0,5 . Bài 2 a (1,5đ) 0,5 b 0,5
Đề thi giữa kì 1 Toán 7 Kết nối tri thức THCS Tây Hà Nội
1.6 K
788 lượt tải
MUA NGAY ĐỂ XEM TOÀN BỘ TÀI LIỆU
CÁCH MUA:
- B1: Gửi phí vào TK:
1133836868- CT TNHH DAU TU VA DV GD VIETJACK - Ngân hàng MB (QR) - B2: Nhắn tin tới Zalo VietJack Official ( nhấn vào đây ) để xác nhận thanh toán và tải tài liệu - giáo án
Liên hệ ngay Hotline hỗ trợ: 084 283 45 85
Chúng tôi đảm bảo đủ số lượng đề đã cam kết hoặc có thể nhiều hơn, tất cả có BẢN WORD, LỜI GIẢI CHI TIẾT và tải về dễ dàng.
Để tải tài liệu gốc về máy bạn click vào nút Tải Xuống ở trên!
Thuộc bộ (mua theo bộ để tiết kiệm hơn):
- Tailieugiaovien.com.vn giới thiệu bộ đề giữa kì 1 Toán 7 Kết nối tri thức mới nhất nhằm giúp Giáo viên có thêm tài liệu tham khảo ra đề thi Toán lớp 7.
- File word có lời giải chi tiết 100%.
- Mua trọn bộ sẽ tiết kiệm hơn tải lẻ 50%.
Đánh giá
4.6 / 5(1575 )5
4
3
2
1
Trọng Bình
Tài liệu hay
Giúp ích cho tôi rất nhiều
Duy Trần
Tài liệu chuẩn
Rất thích tài liệu bên VJ soạn (bám sát chương trình dạy)
