ĐỀ KIỂM TRA GIỮA HỌC KỲ II
MÔN TOÁN LỚP 11 – BỘ SÁCH CÁNH DIỀU ĐỀ SỐ 3
I. Trắc nghiệm (7 điểm)
Câu 1. Điều tra về chiều cao của 100 học sinh lớp 10 trường THPT Lý Thường Kiệt, ta được kết quả:
Số học sinh có chiều cao trong khoảng là A. 40. B. 18. C. 5. D. 8.
Câu 2. Tìm hiểu thời gian hoàn thành một bài tập (đơn vị: phút) của một số học sinh thu được kết quả sau:
Thời gian trung bình (phút) để hoàn thành bài tập của các em học sinh là A. . B. . C. . D. .
Câu 3. Cho mẫu số liệu ghép nhóm về chiều cao của cây dừa giống như sau:
Mốt của mẫu số liệu ghép nhóm này là A. . B. . C. . D. .
Câu 4. Cho hai biến cố và , biến cố hợp của hai biến cố và kí hiệu là A. . B. . C. . D. .
Câu 5. Cho hai biến cố và , biến cố giao của hai biến cố và kí hiệu là A. . B. . C. . D. .
Câu 6. Cho hai biến cố và . Nếu
thì và gọi là hai biến cố
A. xung khắc. B. không độc lập. C. không xung khắc. D. độc lập.
Câu 7. Tung một đồng xu cân đối và đồng chất hai lần liên tiếp. Xét các biến cố:
: “Đồng xu xuất hiện mặt ở lần gieo thứ nhất”;
: “Đồng xu xuất hiện mặt
ở lần gieo thứ nhất”. Chọn khẳng định đúng.
A. và là hai biến cố xung khắc.
B. và là hai biến cố không xung khắc.
C. và là hai biến cố độc lập.
D. và là hai biến cố không độc lập.
Câu 8. Một hộp có 12 chiếc thẻ cùng loại, mỗi thẻ được ghi một trong các số
; hai thẻ khác nhau thì ghi hai số khác nhau. Rút ngẫu nhiên một chiếc
thẻ trong hộp. Xét biến cố : “Số xuất hiện trên thẻ được rút ra là số chia hết cho 3”
và biến cố : “Số xuất hiện trên thẻ được rút ra là số chia hết cho 5”. Tính . A. . B. . C. . D. .
Câu 9. Hai bạn Trung và Dũng của lớp 11A tham gia giải bóng bàn đơn nam do nhà
trường tổ chức. Hai bạn đó không cùng thuộc một bảng đấu loại và chỉ chọn một
người vào vòng chung kết. Xác suất lọt qua vòng loại để vào chung kết của Trung và Dũng lần lượt là và
. Tính xác suất của biến cố : “Cả hai bạn lọt vào chung kết”. A. . B. . C. . D. .
Câu 10. Cho số thực dương. Với mọi số thực , bất kỳ, khẳng định nào dưới đây đúng? A. . B. . C. . D. .
Câu 11. Với các số thực , bất kỳ, mệnh đề nào dưới đây luôn đúng?
A. . B. . C. . D. .
Câu 12. Chọn đáp án đúng. A. . B. . C. . D. . Câu 13. Cho
với là một số thực dương. Đặt . Biểu diễn theo ta được A. . B. . C. . D. .
Câu 14. Rút gọn biểu thức với . A. . B. . C. . D. .
Câu 15. Chọn đáp án đúng:
xác định khi và chỉ khi A. . B. . C. . D. .
Câu 16. Với các số thực dương
bất kì. Mệnh đề nào dưới đây đúng? A. B. C. D.
Câu 17. Cho là số thực dương bất kỳ. Mệnh đề nào dưới đây đúng? A. . B. . C. . D. .
Câu 18. Với là số thực dương khác , bằng A. . B. . C. . D. .
Câu 19. Xét các số thực thỏa mãn
. Mệnh đề nào là đúng? A. . B. . C. . D. .
Câu 20. Trong các hàm số sau, hàm số nào là hàm số mũ? A. . B. . C. . D. . Câu 21. Hàm số
đồng biến trên khoảng nào dưới đây? A. . B. . C. . D. .
Câu 22. Đồ thị hàm số
cắt trục tung tại điểm có tung độ bằng A. 0. B. 1. C. 2. D. 3.
Câu 23. Tập xác định của hàm số là A. . B. . C. . D. .
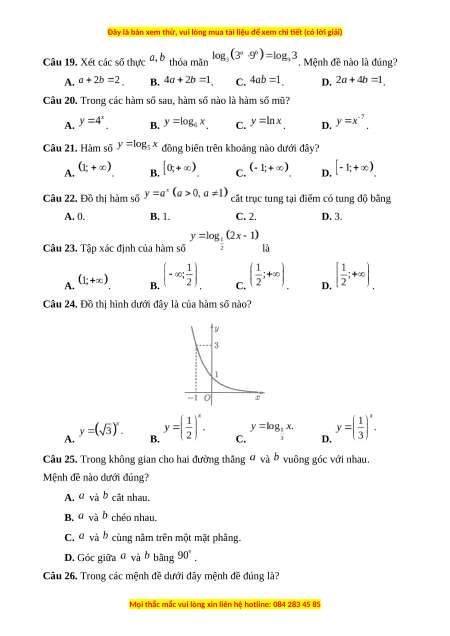
Câu 24. Đồ thị hình dưới đây là của hàm số nào? A. B. C. D.
Câu 25. Trong không gian cho hai đường thẳng và vuông góc với nhau.
Mệnh đề nào dưới đúng? A. và cắt nhau. B. và chéo nhau.
C. và cùng nằm trên một mặt phẳng.
D. Góc giữa và bằng .
Câu 26. Trong các mệnh đề dưới đây mệnh đề đúng là?
Đề thi giữa kì 2 Toán 11 Cánh diều (Đề 3)
440
220 lượt tải
MUA NGAY ĐỂ XEM TOÀN BỘ TÀI LIỆU
CÁCH MUA:
- B1: Gửi phí vào TK:
1053587071
- NGUYEN VAN DOAN - Ngân hàng Vietcombank (QR) - B2: Nhắn tin tới Zalo VietJack Official ( nhấn vào đây ) để xác nhận thanh toán và tải tài liệu - giáo án
Liên hệ ngay Hotline hỗ trợ: 084 283 45 85
Chúng tôi đảm bảo đủ số lượng đề đã cam kết hoặc có thể nhiều hơn, tất cả có BẢN WORD, LỜI GIẢI CHI TIẾT và tải về dễ dàng.
Để tải tài liệu gốc về máy bạn click vào nút Tải Xuống ở trên!
Thuộc bộ (mua theo bộ để tiết kiệm hơn):
- Tailieugiaovien.com.vn giới thiệu bộ 10 đề giữa kì 2 môn Toán 11 Cánh diều mới nhất năm 2023 - 2024 nhằm giúp Giáo viên có thêm tài liệu tham khảo ra đề thi Toán lớp 11.
- File word có lời giải chi tiết 100%.
- Mua trọn bộ sẽ tiết kiệm hơn tải lẻ 50%.
Đánh giá
4.6 / 5(440 )5
4
3
2
1

Trọng Bình
Tài liệu hay
Giúp ích cho tôi rất nhiều

Duy Trần
Tài liệu chuẩn
Rất thích tài liệu bên VJ soạn (bám sát chương trình dạy)